INTRODUCTION
Despite advances in neuroscience, the diagnosis of schizophrenia and schizoaffective disorder still relies primarily on clinical interviews and observation of the patient’s behavior. While valuable, this approach is limited by subjectivity and by reliance on the clinician’s expertise. In particular, in a landmark study by Beck et al. [1], the diagnostic agreement of two psychiatrists’ judgments in an independent assessment of 153 patients was only 54%. Similar results were reported by Copeland et al. [2]: 64% of American psychiatrists and 54% of British psychiatrists independently diagnosed schizophrenia in the same patient, highlighting the influence of the diagnosis on national and professional characteristics. The limited reproducibility is also confirmed by recent meta-analyses: in a comparison of structured and unstructured diagnostic interviews, the level of consistency estimated using the kappa coefficient of agreement (κ) was only 0.41, indicating moderate reliability [3]. These findings underscore the need to develop objective and standardized diagnostic tools based on biomarkers, including neurophysiological measures.
Many imaging and laboratory methods (such as magnetic resonance imaging, computed tomography, and positron emission tomography, as well as biochemical and genetic markers) lack sufficient sensitivity and specificity to serve as reliable diagnostic tools [4]. For example, a meta-analysis of genome-wide association studies of mental disorders identified numerous genetic loci associated with multiple psychiatric disorders. However, the sensitivity and specificity of individual genetic markers are often limited, as many show low predictive power and are not disorder-specific [5]. Although many studies of biochemical markers in mental disorders have been published, they often show considerable heterogeneity and limited statistical power. Reported sensitivity and specificity vary across populations and tools, and frequently remain unsatisfactory, preventing markers' translation into clinical practice [6].
With advances in artificial intelligence and statistical tools, interest in evoked potentials as an objective neurophysiological measure of sensory, cognitive, and emotional processing has been renewed in recent years [7, 8]. Given that disorders of social cognition, in particular facial expression recognition, are typical of schizophrenia and schizoaffective disorder [9, 10], using facial affect depicting different emotions during evoked potential recording represents a promising research approach. Despite a growing body of research, most studies in this area have focused on individual evoked potential components within highly controlled cognitive paradigms. These protocols often fail to capture the complexity of social information processing in real-world contexts, reducing their validity and limiting their clinical applicability [11, 12]. Most existing studies either restrict samples to patients with schizophrenia or analyze schizophrenia and schizoaffective disorder as identical conditions without dividing them into different groups in the analysis.
This study sought to address these limitations by analyzing the characteristics of four evoked potentials (P100, N170, P200, P300) in response to facial stimuli showing different emotions.
The aim was to identify neurophysiological correlates of impaired facial expression perception in patients with schizophrenia and schizoaffective disorder, and to develop a diagnostic model based on these markers.
METHODS
Study design
A cross-sectional, comparative study was conducted.
Setting
The study was conducted from 2019 to 2024 at the Moscow Research Institute of Psychiatry, a branch of the V. Serbsky National Medical Research Centre of Psychiatry and Narcology of the Ministry of Health of the Russian Federation.
Participants
Inclusion criteria: right-handed native Russian speakers aged 18–50 years (scoring +9 to +24 on the modified Annett Hand Preference Questionnaire). The first clinical group included patients diagnosed with schizophrenia (F20.x). The second group included patients diagnosed with schizoaffective disorder (F25.x) according to the Russian translation of the International Classification of Diseases, 10th revision (ICD-10) clinical descriptions and diagnostic guidelines. Control group inclusion criteria required no personal or first-degree family history of mental disorders, along with scores below 6 on the Prodromal Questionnaire-16 (PQ-16) and the Quick Inventory of Depressive Symptomatology Self-Reported version (QIDS-SR).
Exclusion criteria:
- patients who had undergone electroconvulsive therapy within the past year, or if they had severe behavioral disorders (aggression, threat to self or others), severe organic damage to the central nervous system, traumatic brain injury with loss of consciousness;
- patients with concomitant psychiatric diagnoses, unadjusted visual disturbances, and severe motor disorders;
- participants with epileptiform activity or marked rhythmic abnormalities (types 4 and 5 according to Zhirmunskaya’s classification [13]) were excluded as were those unable to continue due to lack of cooperation or who withdrew from the study.
Non-inclusion criteria: participants with severe somatic disorders or chronic somatic diseases in the decompensation stage.
Measurements
The Positive and Negative Syndrome Scale (PANSS) was used to assess the clinical condition of the patients [14]. The absence of mental disorders in the control group was assessed with two screening tools, PQ-16 [15] and QIDS-SR [16], followed by a clinical interview. Handedness was assessed using the Annett Hand Preference Questionnaire [17] adapted by Hohlov and Burova [18].
Neuroleptic agent toxicity was measured on the day of electroencephalography (EEG). Patient antipsychotic doses were recalculated to chlorpromazine equivalents using the defined daily doses method [19].
Scalp EEG activity was recorded using a 128-channel Geodesics system (EGI, USA). The signal was digitized at a frequency of 500 Hz in the range from 0 to 200 Hz; the vertex was used as a reference electrode. The stimuli were presented on a Dell 0G302H monitor with a 17-inch screen, a 75 Hz refresh rate, and a resolution of 1280x1280 px.
The experimental task for classifying emotional expressions was structured into three separate blocks. In each block, the participants viewed images of faces with different emotional expressions, and were asked to identify the emotion using a two-button response panel. The first block contained 20 happy and 20 neutral faces; the second block contained 20 fearful and 20 neutral faces; and the third block contained 20 happy and 20 fearful faces. In each block, the number of male and female images was equal. The images were presented in pseudo-random order, so that photographs of actors expressing the same type of emotion were not repeated more than twice in a row. The stimuli appeared against a black background, in the center of the screen. Each stimulus remained on screen for up to 5,000 ms or until the participant responded. The interstimulus interval was randomly varied between 2,000 and 2,500 ms. The order of the blocks was randomized after 10 participants passed the test.
Electrophysiological data processing
EEG data were processed in NetStation 4.4 (EGI, USA). The primary signal filtration was carried out in the 1–15 Hz band, after which the data were segmented in the interval from 100 ms before the beginning of presentation of the stimulus to 600 ms after the presentation. Epochs were classified into three conditions: happy, frightened, and neutral facial expressions. Artefact segments were removed to eliminate interference. Signal averaging was performed separately for each category of stimuli, including only trials with correct responses. Data were re-referenced to the average, including the 129th electrode (vertex). The baseline was also adjusted for the pre-stimulus interval to eliminate possible slow-wave drift. Further data processing was carried out in Excel: the electrical activity in channels 3, 23, 65, 90, 129 (corresponding approximately to channels F3, F4, P3, P4, Cz) were extracted. The interval from 0 to 600 ms from the moment of presentation of the image was analyzed. Evoked potentials were identified manually by visual inspection, and peak amplitudes were measured using the peak-to-peak method.
Stimulus material
The stimulus material was drawn from the Karolinska Directed Emotional Faces database [20] as adapted by Goeleven [21]. Stimuli included 120 photographic portraits of actors demonstrating expressions of fear, joy, as well as neutral facial expressions (Figure 1).
Statistical analysis
Data were analyzed in the R software environment (version 4.1.3) using the packages dplyr, rstatix, ROCR, and gtsummary. Results were visualized with ggplot2. Descriptive statistics for quantitative parameters were presented as the mean and standard deviation when distributions were approximately normal. Otherwise, the median and interquartile range were used. Normality was assessed using the Shapiro–Wilk test.
Electrophysiological parameters were compared between the three study groups by analysis of variance for independent samples, and the subsequent pairwise analysis employed Tukey’s honestly significant difference test.
Logistic regression was used to assess the prognostic significance of evoked potential parameters in belonging to the clinical or control group; the results were confirmed by ROC analysis. The study sample was randomly divided into training and test samples at a ratio of 7:3 using a pseudo-random number generator with a seed value of 2004. Training data were used to construct two logistic regression models, in both of which the dependent variable was the presence or absence of the disorder (schizophrenia or schizoaffective disorder).
In the first stage of model construction, predictors included wave parameters that showed statistically significant differences between the control group and at least one clinical group. Parameters that differed between schizophrenia and schizoaffective disorder were excluded at this stage. The second model included only components that differed significantly from both the schizophrenia group and the schizoaffective disorder group. Non-significant predictors were removed from both models stepwise using the ‘step()’ function. The Akaike Information Criterion (AIC) values were compared for the two obtained optimal models, and the one with the lower AIC value was selected as the final model. The predicted probabilities obtained from the final model for the test sample were evaluated using ROC analysis. The area under the curve was calculated reflecting the classification quality. The optimal probability cutoff point, above which the observations were classified as belonging to the disorder group, was also selected. Based on this, the accuracy, sensitivity, specificity, and prognostic value of positive and negative results of the model were calculated.
Ethical considerations
All participants provided written informed consent before participating. The Informed Consent Form was approved by the Local Ethics Committee of the V. Serbsky National Medical Research Centre of Psychiatry and Narcology of the Ministry of Health of the Russian Federation (Minutes No. 29/1 dated March 02, 2019). The study was conducted in accordance with the Good Clinical Practice (GCP) requirements established by the National Standard of the Russian Federation (GOST R 52379-2005).
RESULTS
Participants
The study included 86 participants who were assigned to three groups: patients with schizophrenia, patients with schizoaffective disorder, and the control group. There were no significant differences in sex or age between the groups (p=0.9). Characteristics of the sample are presented in Table 1.
Table 1. Clinical and epidemiological characteristics of the study groups
|
Characteristic |
Patients with schizophrenia (n=26) |
Patients with SAD (n=26) |
Control group (n=34) |
p |
|
Age (years) |
27.5 (22.0; 34.8) |
27.5 (21.3; 35.8) |
25.0 (24.0; 26.8) |
0.9 |
|
Sex (female) (%) |
46.1 |
61.5 |
50.0 |
0.9 |
|
Duration of disease with the prodrome (years) |
11.5 (7.0; 18.0) |
11.5 (5.3; 15.0) |
— |
0.6 |
|
Duration of disease from the first episode (years) |
5.5 (3.0; 10.8) |
4.0 (2.0; 11.5) |
— |
0.4 |
|
Age of onset of the prodrome (years) |
14.0 (11.0; 17.8) |
15.5 (13.0; 20.3) |
— |
0.2 |
|
Interval between the prodrome and the first episode (years) |
4.0 (1.5; 7.0) |
5.0 (2.0; 8.8) |
— |
0.8 |
|
Age of onset of the first episode (years) |
20.0 (19.0; 25.5) |
23.0 (18.0; 25.0) |
— |
0.5 |
|
Number of psychotic episodes (abs.) |
3.0 (2.0; 3.0) |
2.0 (1.3; 3.0) |
— |
0.13 |
|
Chlorpromazine equivalent |
586.6 (377.7; 749.8) |
450.0 (254.6; 587.4) |
— |
0.045 |
Note: The median (interquartile range) is shown for all quantitative data. SAD — schizoaffective disorder.
Psychometric parameters and their comparisons are presented in Table 2. The clinical groups differed in their PANSS total score (p<0.001), which was higher in the group of patients with schizophrenia (79.7±14.3>62.7±9.7). Patients with schizophrenia also had higher mean scores on individual subscales: Positive (18.0±4.7 vs. 14.2±4.4; p=0.005), Negative (22.5±6.2 vs. 14.9±3.5; p<0.001), and General Psychopathology (39.3±7.5 vs. 33.5±6.6; p=0.006).
Table 2. Comparison of Positive and Negative Syndrome Scale scores
|
PANSS scale |
Patients with schizophrenia |
Patients with SAD |
p-value |
|
Total score, M±SD |
79.7 ± 14.3 |
62.7 ± 9.7 |
<0.001 |
|
Subscale P (score), M±SD |
18.0 ± 4.7 |
14.2 ± 4.4 |
0.005 |
|
Subscale N (score), M±SD |
22.5 ± 6.2 |
14.9 ± 3.5 |
<0.001 |
|
Subscale G (score), M±SD |
39.3 ± 7.5 |
33.5 ± 6.6 |
0.006 |
Note: G — General Psychopathology subscale; M — mean value; N — Negative subscale; P — Positive subscale; PANSS — Positive and Negative Syndrome Scale; SAD — schizoaffective disorder; SD — standard deviation.
Group differences in evoked potential
Data from the comparative analysis of wave parameters are presented in Table S1 (in the Supplementary). Analysis of the P100 peak parameters revealed significant differences in its latency in the left hemisphere in response to stimuli with fearful facial expressions between patients with schizophrenia and schizoaffective disorder (p=0.015). The differences in these parameters between patients with schizophrenia and the control group demonstrated a statistical trend (p=0.096). P100 latency varied across groups: it was lowest in patients with schizoaffective disorder (85.7±22.5 ms), highest in patients with schizophrenia (101.5±19.0 ms), and intermediate in the control group (94.9±14.2 ms). After adjusting for multiple comparisons, no other significant differences in P100 wave parameters were found between the groups (including all right hemisphere wave parameters).
Differences were found in the parameters of the N170 component. In response to fearful faces, peak latency in the left hemisphere was highest in patients with schizophrenia (155.2±17.5 ms), significantly differing from that in patients with schizoaffective disorder (136.9±23.7 ms; p=0.012) and in healthy subjects (144.8±15.7 ms; p=0.03). N170 latencies diverged between patients with schizoaffective disorder and schizophrenia, with the control group showing intermediate values. Differences were also observed in response to fearful faces (p=0.0006) in terms of peak amplitudes in the left hemisphere between patients with schizophrenia (-7.4±4.7 µV) and the control group (-9.0±5.2 µV).
Significant differences between the groups were also noted when analyzing P200 values. In the left hemisphere, in response to neutral faces, the control group showed the highest amplitude (18.1±7.5 µV), which differed both from the amplitude in patients with schizophrenia (11.3±6.3 µV; p=0.002) and from that in patients with schizoaffective disorder (12.2±6.2 µV; p=0.005). In the right hemisphere, in response to the same stimuli, differences in amplitude were also found between the groups (p=0.018); however, they were limited only to the comparison of the control group (20.0±9.0 µV) and patients with schizoaffective disorder (14.2±6.7 µV).
The largest number of group differences was observed in P300 measures. In response to fearful faces, left hemisphere P300 latency was significantly higher in patients with schizophrenia (370.0±38.4 ms) than in patients with schizoaffective disorder (334.1±41.8 ms; p=0.009) and the control group (313.3±33.0 ms; p<0.0001). Significant differences between the groups (p<0.0001) were also observed in response to neutral faces: patients with schizophrenia showed a significantly prolonged latency (377.7±35.9 ms) compared with the control group (334.3±37.1 ms). The same findings were obtained in response to happy faces: the latency in patients with schizophrenia (370.9±42.0 ms) exceeded the values in patients with schizoaffective disorder (338.4±48.8 ms; p=0.015) and in the control group (311.4±43.0 ms; p<0.0001). No significant differences in P300 amplitude were found in the left hemisphere. At this stage, previously divergent latency patterns disappeared. Schizophrenia patients retained the highest latencies; however, schizoaffective disorder patients shifted towards greater latencies, and the control group showed the lowest latencies.
In the right hemisphere, P300 latency response to fearful faces was significantly higher in patients with schizophrenia (364.0±39.7 ms) than in the control group (316.8±35.6 ms; p<0.0001). Similar differences were also observed in response to neutral faces (375.6±33.1 ms vs. 334.1±35.2 ms; p<0.0001) and happy faces (368.5±36.2 ms vs. 311.8±41.0 ms; p<0.0001). In addition, differences were observed between the control group (311.8±41.0 ms) and patients with schizoaffective disorder (338.7±41.7 ms; p=0.03), as well as between the two clinical groups (p=0.015), with the highest latencies in schizophrenia patients. Differences in P300 amplitude in the right hemisphere were revealed only in response to happy faces: between patients with schizophrenia (2.8±1.8 µV) and patients with schizoaffective disorder (4.7±2.7 µV; p=0.012), as well as between patients with schizophrenia and the control group (4.5±2.7 µV; p=0.012).
Thus, in the group of patients with schizophrenia, the components of early sensory processing (P100 and N170) measured in the left hemisphere in response to fearful faces were characterized by the highest values of latency, while the lowest latency was observed in patients with schizoaffective disorder. In other words, early-stage responses in the clinical groups followed opposite patterns. The P200 component in the control group showed the highest amplitudes in both hemispheres in response to neutral faces. At the stage of late cognitive processing, represented by the P300 component, the divergent pattern disappeared: both clinical groups showed prolonged latencies compared to the control group, regardless of emotion type. Significant group differences in P300 latency were observed across all stimulus types and in both hemispheres. Detailed pairwise comparisons of evoked potentials are presented in Table S1 in the Supplementary.
Main results
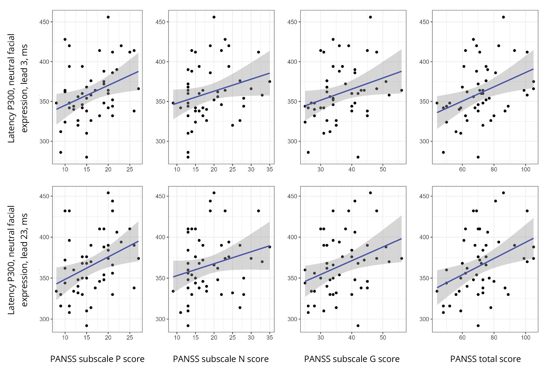
Correlations between Positive and Negative Syndrome Scale symptoms and evoked potentials
Correlations were assessed between psychopathological symptom severity and evoked potential parameters (latency and amplitude of all components) (Figure 2). Several significant relationships were established. A weak positive correlation was observed between the latency of the P300 component in the left (rs=0.39; p=0.004) and right (rs=0.32; p=0.02) hemispheres in response to neutral faces and subscale P scores. Similar associations were observed between the latency of the P300 component in the left (rs=0.28; p=0.04) and right (rs=0.29; p=0.04) hemispheres and the severity of negative symptoms (N). In addition, P300 latency in response to neutral faces positively correlated with indicators of general psychopathological symptoms (G) both in the left (rs=0.33; p=0.01) and the right (rs=0.34; p=0.01) hemispheres. The PANSS total score also showed a weak positive correlation with P300 latency in both hemispheres: left (rs=0.38; p=0.006) and right (rs=0.38; p=0.006).
Diagnostic model
Based on pairwise comparisons of evoked potentials, several predictors were selected for the first complete model. These included: N170 amplitude in the left hemisphere in response to neutral faces; P200 latency component in the left hemisphere in response to neutral faces; P200 latency in the right hemisphere in response to neutral faces; P200 amplitude in the right hemisphere in response to neutral faces; and P300 latency in the left hemisphere in response to fearful faces. For the second model, predictors were P200 amplitude in the left hemisphere in response to neutral faces and P300 latency in the left hemisphere in response to happy faces. The AIC value was 71.7 for the first complete model and 66.4 for the second model. After removing part of the predictors from both models using stepwise regression (the step function), the AIC of the first model decreased to 67.1, while the AIC of the second model remained equal to 66.4. Based on these data, the second model was chosen for further analysis, since its composition of predictors did not change after the transformation. The predictors of the final model and their statistical assessment are presented in Table 3.
Table 3. Parameters of the optimal logistic regression model
|
Parameter |
Estimated coefficient of the logistic regression equation |
Z score |
Standard error |
p-value |
|
Free term |
−6.1 |
−2.1 |
2.9 |
0.036 |
|
P200, LH, ampl. |
−0.13 |
−2.61 |
0.05 |
0.009 |
|
P300, RH, lat. |
0.02 |
2.8 |
0.009 |
0.005 |
Note: ampl. — amplitude; lat. — latency; LH — left hemisphere; RH — right hemisphere. Z — standardized regression coefficient.
The predicted probabilities obtained from the model for the test sample (n=25) were assessed using ROC analysis (Figure 3). The Area Under the Curve (AUC) was 0.86. The optimal probability value was set at 0.5. According to this value, the participants in the test sample were classified as ‘affected’ or ‘healthy’. Predictions were compared with actual status to construct contingency tables and calculate true positive, true negative, false positive, and false negative classifications (Table 4).
Table 4. Contingency table of the subject status and regression model prediction results
|
Clinical assessment results |
Regression model prediction result |
Total |
|
|
Affected |
Healthy |
||
|
Affected |
11 (TP) |
4 (FN) |
15 |
|
Healthy |
2 (FP) |
8 (TN) |
10 |
|
Total |
13 |
12 |
25 |
Note: FN — false negative; FP — false positive; TN — true negative; TP — true positive.
The contingency table was used to calculate the sensitivity (1), specificity (2), positive predictive value (PPV) (3), and negative predictive value (NPV) (4).
(1)
(2)
(3)
(4)
Thus, the final model predicted the disorder with high sensitivity, specificity, and positive predictive value.
Using maximum likelihood estimation, the logistic regression equation was derived as follows:
Where y is the probability of impaired facial emotion processing associated with schizophrenia and schizoaffective disorder; e≈2.718 (Euler’s number); P200 is the amplitude of the P200 component in the left hemisphere in response to a stimulus representing a neutral facial expression; P300 is the latency of the P300 component in the left hemisphere in response to a stimulus depicting happy faces.
DISCUSSION
In the early stages of sensory processing of stimuli (P100, N170), latency shifts occurred in opposite directions across patient groups: schizophrenia patients showed significant prolongation, whereas schizoaffective disorder patients showed shortening; the control group showed intermediate results. The divergent pattern may indicate qualitative differences in sensory and early cognitive processing in different psychotic disorders. Prolongation of latency in patients with schizophrenia may reflect disturbances in the initial processing of visual information, including changes in the automatic processes of detecting social and emotional signals. Shortened latencies in patients with schizoaffective disorder may indicate hyperresponsiveness or excessive sensory sensitivity to emotionally charged stimuli, which may be related to affective dysregulation characteristic of this disorder. This hypothesis is supported by data on differences in the activation patterns of the limbic structures in patients with affective and non-affective psychoses in the perception of emotional faces [22, 23]. Additional studies indicate different degrees of involvement of the amygdala, insula, and visual cortex in the processing of social stimuli in different clinical groups [24, 25]. The identified pattern of multidirectional differences formed the basis of a previously published study, in which we attempted to classify patients based on neurophysiological profiles. This allowed us to identify potential subtypes within schizophrenia spectrum disorders that contradict the conventional clinical classification and have a more pronounced neurophysiological homogeneity [26].
Group differences were also observed in P200 measures. In the control group, the P200 amplitude in response to stimuli displaying neutral faces was highest, which may reflect a high level of automatic detection of potentially significant emotional signals. By contrast, both clinical groups showed reduced amplitudes, most pronounced in patients with schizophrenia, suggesting a dysfunction in processing stimuli that do not have a clear emotional valence. This is consistent with data on decreased neurophysiological reactivity to ambivalent or weak social signals in patients with psychotic disorders, including passive perception paradigms and emotion recognition tests [27, 28]. Reduced P200 amplitude may represent an early stage in the pathogenesis of impaired social perception, preceding changes in the cognitive interpretation of social stimuli observed at later stages (P300).
In the P300 epoch, differences from controls were more clear-cut: patients with schizophrenia and schizoaffective disorder had a significant increase in latencies in both hemispheres, which probably reflected changes in the cognitive processing of significant stimuli and the emotional response to them. These findings are fully consistent with data on P300 slowing in patients with schizophrenia [29].
The key findings of this study were the construction of a logistic regression model. Significant predictors included P200 amplitude in the left hemisphere in response to neutral faces and P300 latency in the right hemisphere in response to happy faces. This model demonstrated a high diagnostic value, discriminating between patients with schizophrenia or schizoaffective disorder and healthy individuals with relatively high sensitivity, specificity, and positive predictive values. The area under the ROC curve (AUC=0.86) confirms the high discriminative capacity of the model, which is comparable to the results of modern studies that used evoked potentials and machine learning [30]. The derived logistic equation yields a final value (y) ranging from 0 to 1. If (y) reaches or exceeds 0.5, it indicates the presence of an information processing disorder related to the perception of facial affect and reaching a level that differentiates patients with schizoaffective disorder and schizophrenia from healthy individuals.
Correlation analysis showed weak but statistically significant associations between P300 latency and PANSS symptom scores, including the Positive, Negative, and General subscales. This indicates that P300 latency has some sensitivity to symptom severity. However, regardless of the severity of symptoms (high or low PANSS scores), the P300 latency in patients consistently exceeded the values observed in the control group. These associations likely reflect the variability within the clinical groups, but do not reduce the overall diagnostic value. In contrast, a sustained increase in P300 latency may be an independent marker of impaired processing of socially relevant information in psychoses.
The study has several limitations, including the small sample size and the need for validation in independent cohorts. The effect of drug therapy on the parameters of evoked potentials requires further investigation, although some data indicate the insensitivity of the topology and parameters of the evoked potentials P100 [25], N170 [25], P200 [31], P300 [32] to drug therapy. These aspects warrant further research.
CONCLUSION
The study demonstrated that P200 amplitude and P300 latency have high diagnostic value for differentiating patients with schizophrenia and schizoaffective disorder from healthy individuals. The developed logistic regression model showed good accuracy (AUC=0.86), confirming the potential of evoked potentials as an objective tool in clinical practice. These findings highlight the importance of further studies to validate the method in larger samples.
