Введение
Данная работа посвящена уточнению границ эффекта саккадического подавления в рамках постулата о непрерывности зрительного процесса. В ходе эксперимента мы продемонстрировали, что зрительная функция не останавливается во время саккады, а наоборот, развивается и претерпевает фазовые переходы. Некоторые найденные области можно отнести на счет саккадического подавления, но они не связаны с полным отключением или блокированием зрительной функции, а показывают разнообразные эффекты ошибочной идентификации объектов. Один из таких эффектов, зона инверсии — это теоретическая область во временном интервале, прямо перед моментом достижения пиковой скорости, где испытуемый склонен устойчиво давать неверный ответ.
Кроме того, показано, что эффект подавления, показанный в экспериментах на детекцию, некорректно распространять на остальные типы когнитивных задач (идентификация, классификация, группировка, оценка различий и прочие), поскольку результат в значительной степени определяется соотношением многих факторов, в т. ч., психофизических параметров самого стимула. Так, в нашей работе категория геометрических фигур, несмотря на равные угловые размеры с остальными двумя категориями, показала наивысший уровень идентификации в заданных условиях, тогда как ранее считалось, что геометрические фигуры — это тип стимула, наиболее подверженный подавлению. Мы допускаем, что некоторая донастройка определенных параметров эксперимента даст именно такой результат, но в текущих условиях этого не произошло. Кроме того, мы показали кривую зависимости для геометрических фигур, которая напоминает параболическую форму. Это указывает на то, что кроме области инверсии существует как минимум еще одна область, ближе к моменту завершения саккады, в которой зрительная способность переключается между разными категориями стимула (мы этого точно утверждать не можем, но на функциональном уровне это проявилось именно так).
Эффект саккадического подавления существует в нескольких аспектах, но чаще всего подразумевается существенно сниженная способность детекции простого стимула (обычно, вспышки) во время намеренного саккадического скачка амплитудой от 6 до 30 градусов зрительного угла (здесь и далее — dva). Исследование эффекта саккадического подавления началось с неверного предположения о масштабе данного эффекта, который распространили на стимулы всех типов, и без учета того, что основные психофизические факторы (проанализировано нами ранее в работе Zherdev, Barabanschikov, 2020) радикальным образом вступают во взаимодействие с параметрами зрительной перцепции, в частности, временной последовательности и механических свойств окуломоторики (скорости, направления и др.). В последнее время участились случаи упоминания все более широкого спектра феноменологии в отношении эффекта саккадического подавления, включая роль контекста, внутреннего эмоционального фона респондента, поставленной перцептивной задачи (прямая саккада или антисаккада, идентификация либо детекция, множественный выбор либо выбор из двух, с обратной зрительной связью или без нее, типа и параметров сложности стимула).
На воспринимаемую длительность влияют такие переменные, как: угловой размер, яркость, частота, контраст, цвет, движение, число, эмоциональный вес, и пр. (Wiener et al., 2025). Таким образом, буквально все возможные психофизические параметры участвуют в детерминации воспринятого отрезка времени. Наиболее изученными на данный момент являются аспекты различной постановки задачи (аверсивные саккады / антисаккады), подсказок и маскеров различного типа (конгруэнтные / неконгруэнтные / парадоксальные; прямые / обратные), тип стимула в широком смысле (естественная/неестественная картинка) (Demeyer, de Graef, Wagemans, 2010; Klingenhoefer, Bremmer, 2011).
Многие работы изучают влияние дистракторов, а также визуальных подсказок (cue target) на детекцию основного стимула, мнимое смещение, и ошибку при оценке направления. Но почти нигде не изучалась частота идентификации как таковая, вне зависимости от влияния третьих факторов. Это говорит о методологическом кризисе в данной области. Отсутствие работ, измеряющих уровни идентификации объектов как таковых, без влияния каких-либо факторов, кроме непосредственно психофизических параметров самого объекта, приводит к системной ошибке при объяснении эффектов. Недостаточная изученность внутренних свойств самого стимула и то, как они влияют на восприятие объекта в условиях короткого саккадического интервала, привели к тому, что достаточно длительное время эти свойства считались универсальными (Bompas, Sumner, 2009; Brooks, Fuchs, 1975; Dorr, Bex, 2013), а свойства, присущие известным экспериментам классической эпохи исследований в этой области, долгое время распространяли на весь спектр стимулов, независимо от данных условий и величины изменения тех или иных параметров.
Однако более новые исследования показывают, что феномен саккадического подавления, или визуального удаления/отсутствия, не носит абсолютного характера (Guzhang, Shelchkova, Clark, 2024; Udale, Tran, Manohar, 2022). Универсальность данного эффекта сомнительна, и данная работа экспериментально это подтверждает. Стимулы различных типов и различных параметров подавляются в разной степени, к тому же, уже есть данные, согласно которым происходит не просто снижение зрительной способности, а оптимизация расходуемых ресурсов. Для более точного описания происходящих процессов в литературе появляются такие термины, как хрупкое подавление (непостоянное) / избирательное подавление, имеется в виду избирательность действия данного эффекта к типам стимулов, а конкретнее — к их свойствам, среди которых: пространственная частота, логарифм относительной яркости фигуры к фону, длительность экспозиции. Последнему посвящено данное исследование.
Мы пришли к выводу, что перцептивный процесс в интрасаккадическом интервале не только не останавливается, а развивается, чувствительность к изменению стимула сохраняется, а сам интрасаккадический интервал подразделяется на этапы, каждый из которых выполняет свою особенную роль и настроен на стимулы с определенными характеристиками, выборочно упорядочивая их. Из факта взаимодействия нескольких факторов между собой следует, что по ходу движения саккады происходит переоценка текущего зрительного окружения и адаптация под конкретные условия (смена перцептивной стратегии). Во всяком случае, мы знаем, что, как минимум, действуют адаптивные механизмы восприятия целевого объекта в случае его смещения (в геометрическом аспекте). Так, смещение цели или дистрактора во время саккады приводит к тому, что положение цели также воспринимается немного смещенным (на долю от его реального смещения) (Bridgeman, Fisher, 1990; Georg, Lappe, 2009).
Помимо прочего, мы рассматриваем потенциальное влияние некой зависимости от времени проведения эксперимента, в которое могут входить такие параметры, как время суток, сезонность (времена года), поскольку запись данных велась в общей сложности на протяжении 3,5 месяцев, и последовательность участия в нескольких сессиях (с разными параметрами и с разным набором стимулов). Однако ни один из этих эффектов обнаружен не был. Мы особо подчеркиваем, что было сделано все необходимое для контроля за психофизическими параметрами стимула, а именно: яркость экрана, освещение в помещении, цветокоррекция (ℾ-функция по трем цветовым каналам), угловые размеры (ориентировочная дисперсия между испытуемыми <0,2°), амплитуда саккады.
В данном цикле исследований используется задача на идентификацию с вынужденным выбором. Мы полагаем, это радикально меняет результаты и приводит к совершенно иным выводам, чем в исследованиях с задачей на детекцию. Однако, несмотря на это, у нас была цель проанализировать именно зрительное восприятие сложных по предметному содержанию объектов, имеющее для изучения перцепции первостепенное значение. Использование типа задачи с вынужденным выбором позволяет максимально упростить сам процесс выбора для испытуемого, чтобы нейтрализовать влияние когнитивной нагрузки, и получить результат, очищенный от этого влияния (включая индивидуальные различия в понимании задачи, культурные различия восприятия), и, по возможности, снизить требования по статистической мощности до выполнимого уровня. При этом стоит вопрос о сложности и интенсивности нагрузки, которую он испытывает при идентификации стимулов различной сложности, эмоционального веса и/или социальной нагруженности. В наших исследованиях применялись стимулы трех существенно отличных друг от друга типов.
В иностранной литературе можно встретить словосочетания facelike stimulus и stimulus faceness. Если первый, скорее, подразумевает геометрическую абстракцию, имеющую лишь структурное сходство с лицевым «треугольником» (глаза, переносица, рот), то второй будет означать количественную метрику сходства между неким изображением и мимической экспрессией. Нам удалось создать категорию стимулов, схожую по своим психофизическим свойствам с изображением лица, но при этом полностью состоящую из прямых отрезков линий и очерченных ими многоугольников. Она получила название «Текстурированная диаграмма Вороного». Те вариации, которые имеют наибольшее сходство с мимической экспрессией (на данном этапе этот параметр относится в равной степени к любой экспрессии и модальности, поскольку стояла задача приблизиться к категории лиц в целом, а не конкретным экспрессиям), получили название «лицеподобные» (facealike), а две другие — «абстрактные» и «симметрические».
Данная статья касается роли лишь одного физического параметра стимуляции — длительности. Такой, сугубо лабораторный, подход позволяет исключить либо минимизировать мешающее влияние всех прочих факторов (кроме коварьирующих во временном измерении) и не обращать внимание на потенциальные «наводки» контекста (Aviezer, Ensenberg, Hassin, 2017), влияния процедуры или эффект порядка предъявления, особенно когда одновременно воздействуют множество факторов.
Материалы и методы
Была проведена процедура интрасаккадического экспонирования нескольких видов зрительного стимула, которые были разделены на 3 категории: геометрические фигуры, мимические экспрессии, диаграммы Вороного (синтетический стимул, приближенный по своим психофизическим характеристикам к фотографии лица).
Испытуемый располагался на расстоянии 57 см от центра экрана и смотрел на него горизонтально. Максимальный эксцентриситет целевого стимула составлял 10 градусов зрительного угла. Минимальная длительность предшествующей перед саккадой фиксации составляла 3 с, однако этот параметр не соблюдался строго (испытуемому не обязательно было фиксировать взор на протяжении всего этого интервала). Триггер подсказки был настроен так, чтобы срабатывать на начавшуюся фиксацию в центре экрана (с допустимым отклонением не более 1,85 dva) не ранее указанного срока. Это ослабление критерия было необходимо для успешного проведения длительных экспериментальных сессий. Саккаду запускала подсказка направления (лево- либо правосторонняя) в виде еще одного креста размером 1 dva. Далее срабатывал триггер стимула и начиналось его экспонирование. Триггер стимула детектировал не саккаду как таковую, а только смещение позиции взора от центрального креста (в определенном проценте проб этого было достаточно для успешного проведения эксперимента).
Последовательность экспонирования в каждой пробе была следующей: фиксационный крест — целевой крест (вспомогательный стимул, выполняющий роль моторной подсказки, всегда конгруэнтной в рамках инструкции) — стимул — задержка 104 мс (предупреждает потенциальную обратную маскировку стимула) — варианты ответов. Стимул предъявлялся по горизонтальному меридиану, с эксцентриситетом равным 0,0, 5,0 или 10,0 dva, слева либо справа (с равной вероятностью). Целевой крест появлялся одновременно с исчезновением фиксационного. Стимул добавлялся к уже экспонируемому целевому кресту (но мог его перекрывать собой в некоторых случаях). С началом задержки экран становился пустым (был виден только фон). Далее экспонировались варианты ответов (в том же размере, что и сами стимулы) и оставались на экране до тех пор, пока испытуемый не сделает выбор. Аналогичная процедура подробно описана в предыдущих работах (Жердев, Барабанщиков, 2021). От испытуемого требовалось выполнить саккаду незамедлительно при появлении целевого креста. Эксплицитно предполагалось, что саккада будет горизонтальная и что ее амплитуда будет примерно равна 10 dva, т. к. сам целевой крест (подсказка направления) всегда экспонировался с этим эксцентриситетом.
Аппаратура. Использовался монитор AOC AG251FG с матрицей типа TN и физическим размером экрана 544 × 301 мм. Экспозиция производилась при разрешении 1280 × 720 пикс, что дает пространственную разрешающую способность 60 DPI. Точка белого была настроена на 270 кд/м2 (что существенно выше предыдущей серии нашего эксперимента и не позволяет на данном этапе сравнивать эти две серии напрямую). Соотношение контраста было настроено на уровне 930:1. Обращаем внимание, что относительно низкий показатель разрешающей способности потенциально увеличивает пространственную частоту за счет видимых граней «пикселя». Однако, с расстояния 573 мм угловой размер пикселя составляет не более 2ʹ30ʹʹ зрительного угла. Кроме того, у использованного нами монитора, по данным лабораторных замеров других авторов, отсутствует видимое мерцание, и система заэкранных ламп подсветки не использует ШИМ для достижения высоких частот.
Стимул. Первая категория стимула — геометрические фигуры. Словарь состоял из 6 фигур, различных по площади, но уравненных по угловому размеру (6 dva в меридианном направлении). При этом варьировалось соотношение яркости фигуры к фону, всего 12 градаций (в этой статье подробно не анализируется). Мы спланировали исследование таким образом, чтобы по возможности изолировать все факторы друг от друга и проанализировать их индивидуальное влияние на работу перцептивной функции. К примеру, из фактора времени крайне трудно выделить отдельные временные компоненты так, чтобы они не вносили статистические ошибки в величины друг друга. В этой связи были применены некоторые методологические приемы экспериментального плана. Например, мы имели возможность замерять длительность экспозиции и момент ее начала с приемлемой точностью, чтобы точно сказать, заходил ли стимул за границы саккады (имеется в виду временной аспект) и насколько. Таким образом, факт того, что невозможно увеличить длительность экспозиции без сдвига временных рамок всей экспозиции, полностью проконтролирован, а в ходе анализа есть возможность отобрать только тот (под-)набор данных, который отвечает проверяемой гипотезе, или отдельно проверить рабочие гипотезы, которые возникают в ходе анализа. Вторая категория — мимические экспрессии. Набор состоял из выборочно совмещенных баз фотоизображений, суммарно 28 лиц. Третья категория − диаграммы Вороного, описаны далее. Все категории стимула представлены на рис. 1.
Рис. 1. Стимульный материал эксперимента (геометрические фигуры, цветные изображения мимических экспрессий, текстурированные диаграммы Вороного (Жердев, 2020)). Среди прочих, использованы изображения из фотобаз VEPEL (Куракова, 2012), ADFES (van der Schalk et al., 2011). Яркостные вариации для всех категорий не приводятся для краткости, и этот фактор не рассматривался в данной статье. Все категории стимулов экспонировались в одном физическом размере (на рисунке не соблюдено)
Fig. 1. Stimuli (geometric shapes, color images of facial expressions, texturized Voronoi diagrams (Zherdev, 2020)). VEPEL, ADFES image databases used, amongst others (Kurakova, 2012; van der Schalk et al., 2011). Brightness variations are omitted for different categories for simplicity, and this factor is not analyzed for this paper. All categories were presented in equal physical size (unlike shown here)
Необходимо подчеркнуть, что в наших экспериментах используются произвольно модифицированные версии изображений (это касается обеих задействованных баз), что включает в себя тщательную обрезку фона (включая и контуры прически), скругление области шеи, с последующим уравниванием углового размера для всех изображений по высоте. На рис. 2 приводится контур некоторых использованных изображений, демонстрирующий форму и размер стимула. Влияние данного аспекта на результаты (по сравнению с неизмененными версиями) нами не проверялось. Кроме того, видна описанная детальность обрезки по линии прически (Б, Г), тогда как в большинстве работ (А) используется более грубая обрезка по контуру лица, при этом с изображения удаляется часть подбородка, практически вся шея и существенно меняется воспринимаемая форма контура. Обратите внимание, что диаграмма Вороного (В) имеет существенно большую площадь, особенно если принимать во внимание то, что почти четверть высоты изображения с мимическими экспрессиями занимает шея. То же относится и к категории геометрических фигур (на рисунке не приводятся). Также обращаем внимание на то, что координатная сетка на графике — это не декартовы координаты, а проекция полярных координат (другими словами, параллели и меридианы) на плоскость экрана с шагом в 1 градус зрительного угла (dva).
Рис. 2. Контуры использованных стимулов в сравнении с диаграммами Вороного и типичным примером из других работ. Контуры даны в масштабе предъявления. Позиция контуров не имеет смыслового значения, и дается только для понимания масштаба и формы стимула
Fig. 2. Stimuli outline compared with Voronoi diagrams and a typical example from other studies of facial expression identification. Outlines are to actual scale of images used in the experiment. Outline position has no special meaning and is given for assessing the scale and shape of the stimulus only
Мы применили синтетический стимул на основе диаграмм Вороного (уорливского шума), который описывался нами ранее (Жердев, 2020). Особенность данного стимула заключается в его способности быть переходным по своим внутренним психофизическим параметрам между геометрическими фигурами и натуральной фотографией лица. Кроме того, в дальнейшем мы сможем в некоторой степени уравнивать, за счет контролируемой пространственной частоты ячеек, характеристики каждой диаграммы с характеристиками каждой индивидуальной мимической экспрессии лица.
База синтетического стимула строилась вокруг того факта, что некоторые диаграммы могут иметь визуальное сходство с мимическими экспрессиями, а точнее, с формой лица, и походить структурой на него, в частности, иметь четко выделенную область глаз и рта, а также переносицу. Отталкиваясь от этого, далее при разработке базы абстрактный тип должен был уравновесить представленность геометрических аналогий в данной категории стимула — и одновременно противопоставлялся лицеподобным. Симметрический же подтип должен был одновременно содержать свойства и абстрактного, и лицеподобного. От первого он берет сугубо нейтральную, невыразительную структуру, от второго — наличие оси симметрии, визуально делящей лицо на две половины (при этом она не обязательно должна была проходить в меридианном направлении). В данной работе все использованные диаграммы анализируются как единая группа, без деления на лицеподобные и другие.
Результаты данной работы показали, что нам действительно удалось найти стимул, приближающийся по своим характеристикам в области уровней интрасаккадической идентификации его к мимической экспрессии. При этом мы пока что не создали настолько специфический набор диаграмм, чтобы еще и сопоставить их с каждой отдельно взятой базовой эмоциональной экспрессией, поскольку целью исследования на текущем этапе было только проверить самую базовую гипотезу, а именно: каковы пределы уникальности изображения с мимической экспрессией, или, другими словами, когда стимул становится сложным.
Выборка. Изначально была проведена регистрация 14766 проб, над которыми была проведена процедура фильтрации корректно выполненных (валидация данных). Критерии отбора заключались в ограничении минимальной и максимальной длительности саккады (25—80 мс), ограничении разброса саккады по амплитуде (10 ± 1,85 dva), привязке места старта и места финиша саккады к заданным точкам (центр экрана и две точки на периферии, слева либо справа). После валидации пригодными к анализу остались 4172 измерения (пропорция валидных, корректно выполненных, проб составила 28% по всей выборке, что существенно выше, чем в предыдущих сериях). В исследовании приняли участие 96 человек (возраст 18—55 лет, медиана 21, из них 87 женщин (91%), все участники с пониженной зрительной способностью носили на протяжении всего эксперимента корректирующие очки либо линзы). Гистограмму возрастного состава выборки можно увидеть на рис. 3. Задача и инструктирование испытуемого во всех сессиях были строго одинаковыми. Ввиду преобладающего количества женщин в выборке, были приведены множественные сравнения двух подгрупп относительно различных переменных. Значимых различий в обсуждаемых результатах при делении выборки по полу, и возрасту, не найдено (кроме очевидного факта, что у более старших испытуемых чаще встречается пониженная зрительная способность, до коррекции).
Рис. 3. Возрастная выборка эксперимента, с разделением по категориям стимула. Облако точек разнесено в горизонтальном направлении для ясности. Коробки имеют сужение в области медианы. Часть испытуемых участвовала более чем в одной категории. Здесь и далее «лица» и «мимические экспрессии» обозначают одну и ту же категорию
Fig. 3. Participant age grouped by stimulus category. Scatterplots are horizontally jittered for clarity. Belts on boxes represent median. Some subjects participated in multiple categories. Henceforth, “faces” and “emotional expressions” refer to the same category
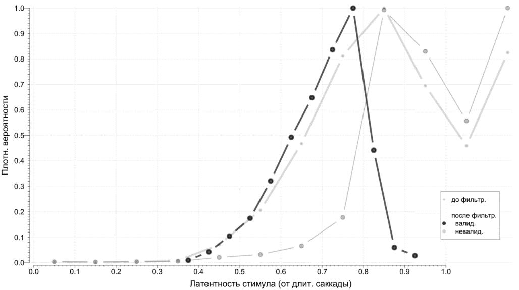
На рис. 4 приведена частотность появления стимула относительно момента начала целевой саккады, в пропорции от ее длительности. Три различных поднабора данных представлены в легенде, а именно данные до фильтрации, и после; фильтрованные данные разделены на валидный и невалидный наборы для ясности. Невалидные данные могут содержать такие пробы, где момент начала экспозиции происходит уже после завершения саккады, что вполне ожидаемо. Значения уровня идентификации приведены к максимальному уровню 1 с целью сравнения поднаборов данных между собой. Запись движений глаз проведена на айтрекере SMI HiSpeed на частоте регистрации 1250 отсчетов в секунду. Объективный контроль выполнялся при помощи фототранзистора, задействующего сразу несколько датчиков на экране. Это позволило, помимо прочих временных меток, регистрировать как момент начала экспозиции стимула, так и исчезновения (до определенной точности). Экспериментом управляло то же программное обеспечение, что и в более ранних сериях по саккадическому подавлению (Жердев, Барабанщиков, 2014), с некоторыми незначительными доработками.
Рис. 4. Частотность экспозиции стимула (до и после фильтрации) в зависимости от латентности на пути саккады
Fig. 4. Probability density of trials (before and after validity filtering) vs. stimulus onset relative to saccade duration
Из графика видно, что наша экспериментальная процедура захватывает диапазон временной локализации стимула от 0,38 до 0,9 длительности саккады, с наиболее частым его попаданием в точку 0,77. Таким образом, это дает нам возможность анализировать срединные и концевые участки саккады. При этом соблюдено условие экологической валидности в рамках парадигмы gaze contingency — испытуемый никогда не видит стимул в начале саккады или перед ее началом, а все эпизоды предъявления происходят в ответ на его поведенческую активность (не «механически»), поэтому данный эксперимент, несмотря на то что он проводится в лабораторных условиях, имеет некоторую степень приближенности к натуральным условиям. Другими словами, вся происходящая по ходу эксперимента адаптация перцептивной схемы испытуемого нацелена именно на решение задачи в интрасаккадическом интервале, без возможности накапливать опыт в других условиях экспозиции.
Результаты
Перед основным анализом была проведена проверка на наличие эффекта научения в ходе эксперимента, которая показала, что данный эффект достаточно мал и им можно пренебречь. Рассмотрим график зависимости уровня идентификации от длительности экспозиции. На рис. 5 прочерчены две регрессионные кривые, для категории геометрических фигур и мимических экспрессий. Категория диаграмм Вороного из графика исключена для ясности, так как она существенно пересекается с данными мимических экспрессий (во многом повторяет их). Здесь и далее на графиках символом (маркером) обозначена категория стимула; звездочка обозначает общий пул всех категорий; ромб, контурное лицо и схематичная диаграмма обозначают геом. фигуры, мимические экспрессии и диаграммы Вороного, соответственно (см. рис. 5—8). Обратим внимание, что обе категории данных наиболее хорошо описываются кривыми третьего порядка (для кривой геометрических фигур виден только второй горб, правый, тогда как левый горб находится в отрицательной области координат), что позволяет предполагать, что уровень идентификации подчиняется некоему закону с двумя точками перегиба — другими словами, имеет область ускорения и область замедления зависимости. Обратите внимание на необычный эффект, который мы назвали зона, или «область инверсии». Заход кривых ниже базового уровня говорит о том, что при самых коротких экспозициях (минимальная длительность 4,2 мс в нашем эксперименте) возможен некий эффект устойчивой дачи неверного ответа. Если бы никакого особого эффекта здесь не существовало, то уровень бы опускался ровно до базового. Но наилучшим образом эффект инверсии проявляется в пространстве «латентность × дистанция» (рис. 6).
Рис. 5. Уровень идентификации в зависимости от длительности экспозиции. Проведены регрессионные кривые третьего порядка. Для категории лиц (мимических экспрессий) приводится доверительный интервал и формула модели. σ — ст. откл., R2 — размер эффекта, F — критерий Фишера. td — длительность экспозиции, n — кол-во измерений
Fig. 5. Accuracy vs. stimulus duration. Whiskers are for CI95. Cubic regression curves can be seen. For facial expressions category, smoothed CI and formula are also provided. σ is SD, R2 is effect size, F is Fisher’s test, td — stimulus duration, n — count
Рассмотрим вторую точку пересечения уровней идентификации для категорий геометрических фигур и мимических экспрессий, которая наступает при длительности 12,75 мс. После этого, как можно догадаться, начинается область, которая может быть расценена как саккадическое подавление, несмотря на увеличение длительности. Обратите внимание, что длительности относятся только к интрасаккадическому предъявлению. Предъявление во время фиксации на той же длительности будет приводить к другим уровням детекции и идентификации.
Кроме того, интересен тот факт, что уровень идентификации в нашем прошлом цикле исследований (которое проведено при несколько других физических параметрах), согласуется с уровнем идентификации в точке длительности 13,9 мс. Несмотря на существенно различающиеся параметры яркости в двух сериях экспериментов (270 кд/м2 в текущем против 92,7 в предыдущем), а также тот факт, что раньше мы не имели технической возможности так же точно определять момент исчезновения стимула, а следовательно, и его длительность (мы знаем только, что экспозиция длилась не дольше заданного порога в 13,9 мс), средние уровни идентификации мимических экспрессий хорошо согласуются (0,60—0,62 по всем экспрессиям). При этом стоит заметить, что в этой области пересекаются обе категории стимулов, т. е. точка в некотором смысле является инвариантом для категорий, и без замеров по всему спектру длительности экспозиции можно сделать неверный вывод о якобы равных уровнях идентификации этих двух категорий стимула.
Теперь рассмотрим уровни идентификации стимула относительно пространственно-временных характеристик саккады, а именно позиции относительно ее начала (т. е. латентности), и угловой дистанции до точки взора. N.B.: Значения угл. дистанции вычислены с одним допущением, что скорость саккады линейна на протяжении всего пути (это сделано с целью нейтрализации возможных индивидуальных различий между испытуемыми). Данные разделены на лево- и правосторонние зрительные полуполя (подписаны буквами Л и П, соответственно). Ввиду этого обращаем внимание, что регистрация велась чаще с правого глаза, что может привносить некоторую асимметрию в угловые величины в записанных данных при наличии у испытуемого слабо выраженного страбизма. Закрашенные точки означают уровни идентификации с тенденцией выхода за базовый уровень случайного угадывания (эта метрика приводится как иллюстрация). В верхнем ряду точек представлены общие значения без деления на подгруппы. В рамках на белом фоне справа приведены генерализованные значения в каждой подгруппе данных. Пиктограммы слева от точек обозначают схему экспозиции (подгруппу); читать их следует так: изображен фиксационный крест, от которого отходят возможные позиции стимула; закрашенная позиция обозначает место экспозиции в данной подгруппе (максимальный эксцентриситет — 10 dva). Маркер категории стимула обозначен в левом верхнем углу.
График представлен в виде «треков» — цепочек из кругов переменного диаметра, посчитанных через каждые 3 мс. Цепочки представляют из себя последовательность изменения уровня идентификации в каждой подгруппе, где диаметр круга пропорционален этому уровню. Подгруппы — это позиция стимула в зрительных полуполях. В нашем эксперименте позиция стимула имела только 3 вариации — в начале, середине или конце саккады (если не учитывать очевидное различие для лево- и правосторонних саккад). Таким образом, мы имеем два полуполя и по три позиции в каждом (по три подгруппы). Такое деление позволяет проанализировать возможные эффекты дистанции.
Из графика видно, что верная идентификация происходит чаще всего в середине саккады или в ее конце; при этом самая худшая конфигурация — когда стимул экспонируется в начале пути саккады (имеется в виду геометрический аспект); кроме того, видна тенденция корректно идентифицировать стимул при сокращении дистанции до него (см. рис. 6), а наибольшее скопление точек с наивысшей идентификацией — в середине пути саккады и при совпадении взора с позицией стимула. Но это относится не ко всем категориям.
Мы нашли, что концентрация высоких уровней идентификации для разных категорий стимула пролегает в нескольких областях на графике с осями времени и углового расстояния до стимула. Кроме того, отдельно для мимических экспрессий заметна тенденция повышения уровня идентификации по мере приближения взора к точке завершения саккады, но только в определенные интервалы времени. Так, мимическая экспрессия не опознается, если стимул сразу экспонируется в текущей точке нахождения взора. Однако, фокус внимания как бы уже изначально находится в точке ее завершения, и этот феномен заметен уже начиная с 29-й мс хода следования саккады (средняя длительность саккады в нашем эксперименте составляла 51 мс для всех категорий стимулов и всех условий по яркости, длительности экспозиции и алфавита стимулов).
В процессе анализа были выделены две гипотетические области (выделены пунктиром, см. легенду). Дистанция, как геометрическая производная, является важной детерминантой зрительного восприятия, а в саккадическом интервале ее влияние практически не изучалось. Мы пришли к выводу, что в пространстве латентность-дистанция существуют две особенные зоны — мы назвали их «зона инверсии» и «зона фасилитации». Можно заметить, что происходит инверсия идентификации (испытуемый склонен давать неверный ответ из двух предложенных чаще, чем ошибаться в целом). Предположительно, везде за пределами зоны фасилитации находится зона инверсии, однако мы не можем этого утверждать так же уверенно, как для отмеченных пунктиром областей, поскольку данная закономерность прослеживается только для категории мимических экспрессий.
Рис. 6. Уровень идентификации в зависимости от латентности стимула и углового расстояния (интерполированного) от точки взора, с разделением по категориям. Ось x — время относительно начала саккады, ось y — (угловое) расстояние от текущей позиции взора до стимула, диаметр кружка пропорционален уровню корректной идентификации (подписано внутри). Закрашенная область обозначает саккадический интервал; более светлая — 1 ст. откл. от средней длительности; более темная — 0,5 ст. откл. от середины длительности (примерно соответствует участку пиковой скорости). Каждая точка содержит минимум 15 измерений. Объяснения в тексте
Fig. 6. Accuracy vs. both stimulus onset and gaze-to-stimulus angular distance (interpolated) grouped by stimulus category. x axis is time relative to saccade start, y axis is angular distance between current gaze point and the stimulus position. Circle diameter is proportional to accuracy value. Grey-filled area is the saccade duration interval; the least dense is saccade endpoint ± 1 std. error; and the densest being the midpoint ± .5 std. error. Data points with count less than 15 are omitted. The rest is explained in text
Один из наиболее важных эффектов, заметных на этих графиках, — это точка перехода с восприятия геометрических фигур на мимические экспрессии (см. верхний ряд для этих категорий). При достижении латентности от начала саккады в 43 мс происходит резкое снижение уровня идентификации геометрической фигуры и одновременное нарастание идентификации мимических экспрессий (но не диаграмм Вороного). Данный эффект просматривается, если говорить о средних уровнях идентификации для каждой категории в целом, и исчезает, если анализировать материал дробно, с разделением на лево- и правосторонние саккады, и с разделением по прочим параметрам экспозиции. Что еще раз доказывает, как важно иметь возможность рассматривать экспериментальные данные в различных срезах и проекциях. Обращаем внимание, что указанная величина не является абсолютной, так как при изменении амплитуды саккад эта точка переместится на другую позицию (наше предположение). Также из рис. 7 можно увидеть, что динамика восприятия диаграмм несколько отличается от мимических экспрессий, а именно: идентификация экспрессий имеет тенденцию быть сдвинутой ближе к концу саккады, если длительность экспозиции слишком мала (т. е. идентификация лица требует какое-то время). Идентификация же диаграмм происходит прерывистыми эпизодами времени на протяжении всей саккады. В остальном треки восприятия мимических экспрессий и диаграмм Вороного совпадают по многим показателям. Из сказанного можно заключить, что лицеподобные диаграммы будут восприниматься так же, как и реальные предметы, обладающие аффективными свойствами.
Снова рассмотрим фактор длительности экспозиции, но уже применительно к трекам интрасаккадического восприятия каждой из категорий. Из приведенного на рис. 7 графика следует, что категория мимических экспрессий при коротких экспозициях воспринимается только в середине и в конце саккады (данных по началу саккады нет), тогда как при увеличении экспозиции до 12 мс в промежутке между серединой и концом саккады также становится возможной идентификация. Кроме того, из графика легко понять, что уровень идентификации геометрических фигур существенно выше при любой длительности экспозиции, чем стимулов двух других категорий.
Рис. 7. Уровень идентификации в зависимости от латентности стимула и длительности экспозиции, с разделением по категориям. В правом столбце приводится общее значение по каждому ряду. Число в скобках — кол-во измерений. Закрашенный интервал — так же, как на рис. 6
Fig. 7. Accuracy vs. both stimulus onset and stimulus duration, grouped by stimulus category. Rightmost column shows mean values by row. Number in round brackets — count. Saccade shading is the same as in fig. 6
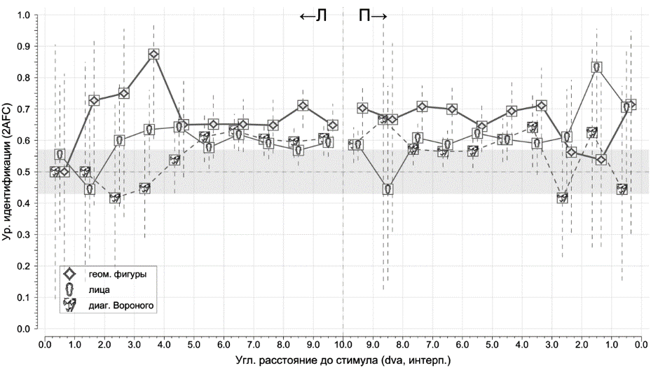
На рис. 8 достаточно четко прослеживается латеральная асимметрия для лево- и правосторонних саккад. Так, категория мимических экспрессий воспринимается в правой стороне по мере сокращения дистанции, тогда как в левой — наибольшие частоты идентификации происходят на максимальном удалении взора от стимула, плавно снижаясь по мере сокращения дистанции. Предположительно, найденная зона инверсии является производной от этого эффекта. Пока стимул совпадает, или находится очень близко, к позиции взора, частота идентификации предельно мала (и даже опускается ниже, чем базовый уровень). Наиболее сильные латеральные эффекты для категории геометрических фигур удалось обнаружить при дальнейшем анализе, для чего пришлось использовать полный набор данных, без фильтрации по признаку валидности пробы.
На графике видны сразу несколько закономерностей. Первое, геометрические фигуры доминируют при левосторонних саккадах, а мимические экспрессии — при правосторонних. Второе, максимального уровня идентификации изображения достигают не в момент сближения точки взора с позицией стимула, а на некотором удалении. Так, геометрические фигуры имеют пик на расстоянии 3,5 градуса от цели, а лица — на расстоянии 1,5 градуса. Диаграммы Вороного при этом имеют больше сходства с мимическими экспрессиями, чем с фигурами (при этом сам факт в среднем более высокого уровня идентификации геометрических фигур в нашем эксперименте сейчас не важен). Третье, видно, что в левостороннем случае уровни идентификации лиц и диаграмм проседают по мере сближения с целью, а геометрических фигур — в правостороннем случае. Все сказанное указывает на достаточно явные зависимости от латеральной асимметрии при восприятии абстрактных и эмоционально значимых объектов (фигур и экспрессий, соответственно). Еще раз подчеркиваем, данную закономерность крайне трудно выявить, если не варьировать позицию стимула относительно точки начала и завершения саккады. Кроме того, как мы полагаем, она не проявится (во всяком случае, при данных объемах выборки), если амплитуда саккады будет слишком мала (менее 6 dva), так как фовеальные и периферические лимиты зрительного восприятия сгладят этот эффект. Кроме того, можно отметить распределенное внимание в левом зрительном полуполе, тогда как в правом более сконцентрированное.
Рис. 8. Латеральная асимметрия от угловой дистанции до стимула (интерполировано) для лево- и правосторонних саккад, по категориям стимула (с шагом в 1 градус). Точки разнесены в горизонтальном направлении для ясности. 95-процентные доверительные интервалы обозначены пунктирными (вертикальными) линиями. Обратите внимание: этот график построен по данным без фильтрации (>14 тыс. измерений), так как наша схема фильтрации по определению не допускает, чтобы стимул экспонировался так близко к моменту завершения саккады, что не позволяет проявиться показанным здесь тенденциям. Серая область обозначает приблизительный (по всему набору данных) интервал, в пределах которого нет статистической значимости. Кроме того, из набора удалены пробы, в которых стимул предъявляется в точке старта саккады, так как они не могут напрямую сравниваться с остальными. «Интерполированный» означает, что при расчете дистанции использовано то же допущение о линейности скорости, что и для рис. 6. Расстояние рассчитано до центра стимула (проигнорированы его габариты). Обратите внимание: дистанция, в отличие от рис. 6, уменьшается к краям оси, по мере сближения с целью
Fig. 8. Lateral asymmetry from angular distance to stimulus (interpolated), grouped by stimulus category (bin width equals 1 degree). Points are horizontally jittered for clarity. Vertical dashed lines are 95% CIs. Grey-filled area depicts a vague approximation (for the whole dataset) of statistically insignificant interval. Notice this particular figure is based on unfiltered data (14k+ data points), for the filtering criteria itself does not allow the stimulus that close to saccade endpoint, therefore crucial data becomes too scarce for the given analysis. Cases of stimulus being shown at the take-off point of the saccade are omitted, as they cannot be directly compared to others. Same assumption of velocity linearity is held as on fig. 6, hence “interpolated”. Actual size of the object is ignored (distance is to its geometrical center point). Notice distance axis is, unlike fig. 6, maximum at the middle, and zeroed towards the edges, as the gaze is reaching the target
Обсуждение результатов
Нами было проанализировано и открыто сразу несколько принципиально новых феноменов в области зрительного восприятия. Была показана способность к полноценному интрасаккадическому восприятию. Возможность воспринимать и идентифицировать как сложные, так и примитивные зрительные объекты, при определенных условиях, во время саккады, фактически доказана. При этом доказан сам факт активно происходящего процесса, а не просто некий остаточный эффект, заходящий своими границами внутрь саккады, как считалось ранее (Lappe, Awater, Krekelberg, 2000). Человек способен с определенным уровнем достоверности идентифицировать подгруппу и конкретный визуальный объект (пока что этот вывод распространяется только на задачу типа «вынужденный выбор»), причем эта вероятность увеличивается по мере роста визуальных искажений, отличающих этот объект от остальных в заданном словаре вариантов. Подчеркиваем, что при даче ответа испытуемые по времени не ограничивались. Особого внимания заслуживает факт, что зависимость от фактора времени прослеживается и на рис. 5, и на рис. 7. Как видно из графиков, геометрические фигуры все хуже идентифицируются ближе к концу пути саккады, тогда как уровень идентификации мимических экспрессий сначала держится на уровне шанса, но по мере приближения саккады к своему завершению (и в пространственном, и во временном аспекте) проявляется все сильнее.
Схожесть изображений с диаграммами Вороного и мимических экспрессий проверялась по параметру пространственной частоты (см. Жердев, 2020) и цветовому наполнению (которое было составлено из доминантных цветов лица натурщика в базе VEPEL). Как видно из результатов, мимические экспрессии (из двух разных баз изображений, суммарно 4 разных натурщика обоих полов) существенно лучше согласуются с диаграммами Вороного, чем геометрические фигуры, которые дали совершенно другую динамику идентификации в интрасаккадическом интервале. Стоит отметить, что геометрические фигуры — настолько простой по форме и содержанию объект, что задача идентификации в рамках использованного нами словаря фактически сводилась к простой детекции «квадрат-треугольник-эллипс» (и все прочие комбинации), поскольку характеристики самого контура фигуры уже однозначно позволяют ее идентифицировать. В этой связи логичным будет в дальнейшем исследовании сравнивать этот трек не с идентификацией сложных объектов, а с задачами на детекцию при тех же условиях и временных рамках. Но по мере усложнения наполненности фигуры, и уменьшения теоретического расстояния между фигурами в словаре, этот аспект будет ослабевать. В некотором смысле диаграммы Вороного — и есть та ультимативная вариация геометрической фигуры, когда абстракция из линий и углов становится похожа на лицо, а в дальнейшем — и изображенную на нем мимическую экспрессию.
Наши результаты согласуются с работой Yarrow et al. (2001), где была показана линейная зависимость между длительностью интрасаккадической экспозиции и искаженным восприятием времени (авторы назвали это саккадическим хроностазисом), которое проявляется исключительно во время саккады. В этой работе авторы зафиксировали мнимое уменьшение временного интервала, попадающего внутрь временных рамок саккады. Для нашего эксперимента это может означать, что удлинение длительности стимула может приводить, при прочих равных факторах, ко все более сильному эффекту стабилизации видимого пространства. Зрительная стимуляция как бы «сшивает» зрительный поток, и возникает иллюзия непрерывности воспринимаемого. Если же длительность экспозиции столь мала, а прочие факторы недостаточно велики, чтобы задействовались компенсаторные механизмы (например, соотношение контраста фигуры-фона слишком мало), то уровень идентификации останется на базовом уровне.
Помимо прочего, авторы четко сообщают, что эффект хроностазиса исчезает, если объект меняется в интрасаккадическом интервале, что и происходит в наших экспериментах (мы расцениваем факт появления стимула на экране тоже как некую смену зрительного строя, что было проанализировано ранее на основании эффекта temporal gap (Chen, Grzeczkowski, Müller, 2025; Zherdev, Barabanschikov, 2020). Помимо сказанного, авторы приводят аргументы в пользу того, что постановка задачи может кардинальным образом видоизменять этот эффект (Yarrow, Haggard, Heal, 2001, p. 158). Кроме того, они сравнивают угловые размеры стимула в различных исследованиях и приходят к выводу, что эффект проявляется только при достаточно малых размерах. Мы же идем дальше в своих выводах, поскольку замеряем в наших экспериментах множество психофизических параметров одновременно, а не только геометрические параметры. Мы полагаем, полное обнуление или недостаточное воздействие одного фактора может быть скомпенсировано влиянием другого. Например, влияние малых угловых размеров может быть «выравнено» увеличенным диапазоном яркостно-частотной характеристики.
Отметим также, что фактор длительности стимула очень трудно отделить от фактора времени как такового, и как следствие, длительность стимула связана с таким близким к ней фактором, как момент исчезновения стимула относительно временных рамок саккады. Другими словами, чем длиннее стимул, тем ближе он оказывается к точке завершения саккады (во времени), что ставит вопрос о взаимных корреляциях между ним и пространственно-временным строем саккадического перехода. Прямое, изолированное влияние фактора длительности стимула нельзя считать доказанным этим исследованием. Равно как без применения обратных маскеров мы не знаем, что воспринимает испытуемый — стимул или его послеслед в кратковременной памяти. Тем не менее, мы косвенно, на операциональном уровне, зондируем свойства работы перцепции в интрасаккадическом интервале.
Пока что мы не готовы распространять наши представления на любые кратковременные интервалы и оставляем за собой предположение, что саккада даже в некотором смысле усиливает точность идентификации в столь короткие промежутки времени (тахистоскопическая сенсибилизация) — что частично иллюстрируется обнаруженной областью фасилитации, которая, по грубой оценке, очерчена пятном дельтовидной формы (см. рис. 6). В дальнейшем мы рассчитываем проверить данный тезис на примере уже интрафиксационного, а не интрасаккадического интервала.
Заключение
Фактор длительности внутри саккадического интервала напрямую, в рамках одного эксперимента, и изолированно от коварьирующих компонент, исследован нами впервые. Обнаружена зависимость уровня идентификации зрительного объекта от длительности экспозиции для трех различных категорий стимула. Экспонируя зрительный стимул при разных длительностях, удалось выявить влияние данного фактора на перцептивный процесс, разворачивающийся во время саккады. Наличие эффекта зависимости уровня идентификации визуального объекта от его позиции во времени внутри саккадического интервала подтверждается сразу в двух планах: высокой корреляцией с длительностью стимула (которая неотделима от момента во времени) и прямым сравнением разных величин латентности от начала саккады, разбитых на подгруппы. Оба плана дают сильный эффект, согласно которому разные категории стимула лучше идентифицируются на разных участках саккадического интервала. Это позволяет сформулировать следующие выводы: 1. В ходе выполнения саккады отсутствует абсолютное подавление зрительного процесса, как отсутствует и упрощенный перцептивный процесс, представляемый в классических тахистоскопических исследованиях. 2. Содержание стимула является определяющим фактором динамики идентификации во время саккад. 3. Перцептивный процесс способен развертываться по ходу следования быстрых движений глаз, взаимодействуя одновременно с несколькими психофизическими факторами, нелинейно влияющими на процесс идентификации.
Найденные закономерности поддерживает аргументацию в пользу непрерывности перцептивного процесса (Bridgeman, Heijden, Velichkovsky, 1994; Cavanagh et al., 2010; Wolff, 1984), который не прерывается из-за начала саккадических движений глаз. Зрительная способность снижается не полностью, а активно меняется в самом процессе. Обнаружено присутствие временного порога, ниже которого стимул не воспринимается.
Найдена граница времени, где происходит переключение с идентификации абстрактных объектов на идентификацию базовых эмоций. Уровень идентификации геометрических объектов снижается до базового уровня, а уровень идентификации мимических экспрессий при этом растет. Идентификация геометрических объектов ослабевает к концу саккады, после чего снова восстанавливается по мере возврата к обычному режиму перцепции (фиксационный modus operandi).
Уровни идентификации и внутрисаккадическая динамика восприятия диаграмм Вороного значимо ближе соответствует восприятию мимических экспрессий, нежели геометрических фигур, но не повторяет его во всех аспектах. В рамках одного эксперимента была показана способность представленного нами синтетического стимула частично заменять свойства мимической экспрессии. Схожесть уровней идентификации, некоторые аспекты динамики их изменения на протяжении саккады, указывают на верно сделанные предположения, что особый статус изображения лица, выражающего базовую экспрессию, может быть сымитирован путем повторения некоторых структурных и визуальных особенностей такого стимула. Форма, размер и внутренняя ячеистая структура, напоминающая основные области лица по взаимному расположению, цвету и их количеству, позволяют идентифицировать диаграммы Вороного с похожими результатами. Тогда как геометрические фигуры дают совершенно иную динамику и другие максимальные значения. Именно сравнение нескольких категорий стимула между собой в рамках одного эксперимента позволило обнаружить описанные выше эффекты и построить уточненную феноменологию саккадического восприятия.
Латеральная асимметрия для абстрактных объектов (преобладающее левое полуполе) и для мимических экспрессий (преобладающее правое полуполе) теперь подтверждена внутри саккадического интервала.
В дальнейших работах мы планируем поменять состав словаря при вынужденном выборе. Как было сказано ранее, большая площадь графических искажений на некоторых наиболее значимых экспрессиях позволяет испытуемому с легкостью дифференцировать экспрессию радости и удивления, а также прочие пары, такие как нейтральное-гнев, в условиях вынужденного выбора из двух вариантов. Как итог, получаем «раздутые» частоты для этих типов экспрессий. Если же при выборе будут даваться уже не две, а три экспрессии на выбор, и они будут из состава одной графически схожей подгруппы (см. выше), то и результаты ожидаются другие (снижается влияние процедурного артефакта). Однако, внутригрупповой состав должен быть определен на основании объективной метрики расстояния между изображениями и кластерного состава уровней идентификации. Кроме того, одной из основных мер уравнивания стимулов, помимо периметра и площади, станет количество углов (а значит, и пространственная частота на локальных участках).
Ограничения. Вся обозначенная феноменология относится только к задачам на идентификацию с вынужденным выбором, и вне воздействия маскеров, дистракторов и стимулов-аттракторов / фасилитаторов перцептивной функции. Других ограничивающих факторов, на момент публикации, выявлено не было.
Limitations. We assume the results discussed here are applicable to two-alternative forced-choice tasks, with no maskers, distractors or facilitating mechanisms being involved. Aside from that, no limitations were discovered, as for the time of writing.


