Psychological well-being and success of students in grades 5-11: analysis of latent profiles

 
Audio is AI-generated
 21 min read
122

Abstract

Context and relevance. The problems that the individual faces in adolescence can have long-term consequences not only for his school life, but also to influence later events: the choice of profession, family and well-being in adulthood. Therefore, many researchers seek to highlight the factors associated with the emergence of difficulties and problems in the school life of the child in order to develop suitable prevention or correction strategies. Objective. The aim is to allocate and analyze the latent profiles of students in grades 5-11, from the point of view of academic performance, psychological well-being, cognitive abilities and physical condition of the child and evaluate a change of latent profiles from 5 to 11 class. Methods and materials. The study was attended by 1387 students from grades 5–11 aged 11 to 18 years (51% of girls, average age 13,68 years). The indicators were investigated: the body mass index, daytime drunkenness index, cognitive indicators, academic success, psychological well-being. Data analysis was carried out in the MCLUS software environment. Results. According to the analysis results, the best model contains 4 latent profiles: Latent Profile 1 – “Satisfactory students without difficulties” (11%, 159 observations); Latent Profile 2 – “Successful and prosperous” (28%, 389 observations); Latent Profile 3 – “Overloaded students” (38%, 525 observations); and Latent Profile 4 – “Underachieving but socially adapted” (23%, 313 observations). The proportion of students in each latent profile varies from grade 5 to grade 11. Conclusions. The allocated latent profiles of students allow us to examine the dynamics of psychological and emotional well-being from grades 5 to 11, considering a large number of parameters.

General Information

Keywords: adolescence, psychological well-being, academic performance, cognitive abilities, latent profiles

Journal rubric: Educational Psychology

Article type: scientific article

DOI: https://doi.org/10.17759/pse.2026000003

Received 01.12.2025

Revised 01.12.2025

Accepted

Published

For citation: Malykh, S.B., Basyuk, V.S., Rychkova, L.V. (2026). Psychological well-being and success of students in grades 5-11: analysis of latent profiles. Psychological Science and Education, 31(1), 126–140. https://doi.org/10.17759/pse.2026000003

© Malykh S.B., Basyuk V.S., Rychkova L.V., 2026

License: CC BY-NC 4.0

Full text

Introduction

Adolescence is one of the most critically important periods of development, during which a multitude of cognitive, psychological, physiological, and social changes converge, creating a unique social situation of development. Many psychologists and educators note a decline in interest in the educational process, the emergence of a new system of relations with adults and peers, and the development of a new "self-image" (Vygotsky, 1931; El'konin, 1971). This period is also often characterized by emotional instability, the onset of anxiety disorders, and a surge in behavioral problems (Lin, Guo, 2024; Briggs, 2009; Podol'skii et al., 2011). The problems an individual encounters in adolescence can have long-term consequences not only for their school life but also influence later life events: career choice, family, and well-being in adulthood (Sigurdson et al., 2015; Jonsson et al., 2011; Schlack et al., 2021). This is precisely why many researchers strive to identify factors associated with the emergence of difficulties and problems in a child's school life, in order to develop appropriate strategies for prevention or intervention.

Research on child mental development reveals complex interrelationships between cognitive, emotional, behavioral, and social factors. To account for the multifaceted nature of the relationships between these characteristics and academic achievement, researchers increasingly turn to a person-centered approach, as opposed to a variable-centered approach. While the variable-centered approach assumes that a sample or population can be described by average parameters, the person-centered approach treats the individual as the unit of analysis, not seeking to focus on a single aspect or characteristic, thereby providing researchers and practitioners with a deeper understanding of the social and psychological situation of development (Watt, Parker, 2020). The person-centered approach posits that the sample and/or population are heterogeneous and may consist of several subgroups, each with a unique set of parameters differently related to each other (Howard, Hoffman, 2017; Morin, Gagne, Bujacz, 2016).

Various methods can be used to identify such groups, with the most popular being Latent Profile Analysis (LPA) or Latent Class Analysis (Obersky, 2016). LPA is based on probabilistic modeling, making it a flexible tool for identifying latent homogeneous groups based on a set of characteristics of interest to the researcher (Howard & Hoffman, 2017). Furthermore, this approach allows for assessing the uncertainty in classifying each group. The algorithm finds the optimal number of groups and assigns each observation a probability of belonging to one of them. The result is a set of latent profiles (classes), each with a unique pattern of characteristics.

Previous research on psychological characteristics of schoolchildren using latent profile analysis has revealed heterogeneity within populations in terms of the severity of various characteristics and their interrelationships. For example, a study of sixth-grade students in Brazil identified seven latent profiles based on academic skills, assessment of behavioral problems, and social skills, which differed in levels of adaptation, social skills, and academic performance (Orpinas et al., 2014). Belonging to a specific profile (poorly adapted with low achievement) was a strong predictor of school exclusion. Another study in the USA also showed heterogeneity among students in terms of social and psychological school adaptation, identifying three latent profiles ("Well Adapted," "Low Adapted," "Moderately Adapted") (Mindrila, 2016). Interestingly, these groups were replicated across several age cohorts and were relatively stable over time, although the proportion of students in each latent class changed. Understanding the specifics of a latent group of learners allows for more targeted interventions for each group.

Research on Russian samples of schoolchildren has also demonstrated the promise of this approach for a deeper understanding of processes in middle and high school. In particular, a study of students in grades 6–8 regarding the severity of various types of engagement (behavioral, cognitive, emotional, and social) revealed several latent profiles of students that were consistently replicated across different grades (Morosanova & Potanina, 2024). It was shown that the general decline in engagement during the transition from 6th to 7th grade was related to a decrease in cognitive engagement, which may be explained by a decline in overall cognitive activity.

At the same time, it should be noted that we found a limited number of studies on Russian data that analyze latent student profiles, taking into account both academic performance and a broad set of psychological characteristics. Typically, analyses of psychological well-being or school performance are conducted within a variable-centered approach (e.g., analysis of predictors of school performance) (Tikhomirova et al., 2015). However, the person-centered approach allows for a broader picture of ongoing processes, considering the possible heterogeneity of the sample.

In light of the above, this study has two objectives:

  1. To identify and analyze latent profiles of students in grades 5–11 based on their academic performance, psychological well-being, cognitive characteristics, and physical condition.
  2. To assess changes in the distribution of latent profiles from grades 5 to 11.

Materials and methods

The study involved 1387 students in grades 5–11 from general education institutions in the Irkutsk region, aged 11 to 18 years (51% girls, mean age = 13,68 years, SD = 1,91). Digital psychodiagnostic tools were used for data collection. Students completed tasks in computer labs according to uniform protocols under the supervision of a member of the research team. The distribution by grade is presented in Table 1.

Table 1. Distribution by classes

 

Class

Quantity (%)

Averageage (st. deviation)

5

279 (20%)

11,28 (0,46)

6

232 (17%)

12,24 (0,47)

7

267 (19%)

13,32 (0,47)

8

201 (14%)

14,61 (0,71)

9

216 (16%)

15,27 (0,56)

10

125 (9%)

16,4 (0,49)

11

67 (5%)

17,33 (0,47)

 

The following indicators were used to identify student groups:

  1. Body Mass Index (BMI).BMI was calculated based on weight and height (kg/m²).
  2. Daytime Sleepiness Index.The Pediatric Daytime Sleepiness Scale (Zakharov et al., 2023) was used. Higher scores indicate greater daytime sleepiness; participants scoring 16 points or more belong to the group with significant daytime sleepiness. In the total sample, 39% of students had scores above the norm.
  3. Cognitive Indicators:
    Non-verbal intelligence. Raven's Progressive Matrices test was used. The test is divided into five blocks of 12 tasks each. One point is assigned for each correctly solved task, with a maximum possible total of 60.
    b. Spatial reasoning. A test of spatial abilities and assessment of technical reasoning (Mechanical Reasoning, Ecipenko et al., 2018) was used. The test includes 16 items; 1 point is assigned for each correct answer (maximum = 16).
    c. Vocabulary (Golovin, 2015). The test measures vocabulary size and is used for an express assessment of verbal intelligence (Maslennikova et al., 2017). The test consists of several blocks. In this case, scores from the first block were used. In this block, respondents are presented with words sequentially and must indicate whether they know the meaning. Fake words are included to check for guessing. The maximum score is 95.
  4. Psychological Well-being:
    For assessing emotional and behavioral problems in children and adolescents, the Strengths and Difficulties Questionnaire (SDQ) (Goodman, 2001) was used. The instrument has five 5-item scales: "Emotional Symptoms," "Conduct Problems," "Hyperactivity/Inattention," "Peer Relationship Problems," and "Prosocial Behavior." Validation and assessment of psychometric properties of the SDQ on a Russian sample were conducted by V. Ruchkin et al. (Ruchkin et al., 2007). The Russian version of the questionnaire was used (Ruchkin et al., 2007). The following SDQ scales were used in the analysis:
    Emotional problems score. SDQ Emotional Problems scale, assessing emotional problems and heightened anxiety (max = 10).
    b. Peer problems score. SDQ Peer Problems scale, assessing problems in peer relationships (max = 10).
    For assessing life satisfaction, the Multidimensional Students' Life Satisfaction Scale (MSLSS) (Huebner, 1994) was used. The Russian version includes five subscales: family satisfaction, school satisfaction, teacher satisfaction, self-satisfaction, friend satisfaction (Sychev et al., 2018; Tabueva et al., 2024). The following scales were used in the analysis:
    c. Family Satisfaction. MSLSS Family Satisfaction scale shows the degree of satisfaction with relationships with family members (max = 30).
    d. School Satisfaction. MSLSS School Satisfaction scale assesses children's satisfaction with school life regarding support for their interests and general attitude towards school and learning (max = 30).
    e. Self-Satisfaction. MSLSS "Self" scale is aimed at assessing the level of satisfaction with oneself and a positive self-attitude (max = 30).
  5. Academic Performance:
    Average grades (over 4 quarters) in Mathematics(grades 5–6) or Algebra and Geometry (grades 7–11).
    g. Average grades (over 4 quarters) in Russian Language and Literature.

Data analysis

To identify groups of students based on their academic performance, psychological well-being, and cognitive characteristics, Latent Profile Analysis (LPA) (Muthén, 2001) was used. LPA is an exploratory technique, a type of latent variable modeling where the latent variables are discrete. An advantage of discrete latent models is that their distribution is estimated from the data rather than assuming a normal distribution. LPA implies the existence of "hidden" subgroups within the general sample, leading to a mixture of distributions across these latent groups.

LPA uses probabilistic mathematical modeling based on correlations between variables to identify probable groups and assign individuals to them. In the first stage, the algorithm tests different models with varying numbers of latent classes. Models differ not only in the number of latent classes but also in the type of covariance structures. Specifically, models can vary in whether variance of variables within classes is allowed to differ, whether correlations between variables are allowed, and whether cluster sizes can vary.

Based on the comparison of several statistical criteria, the model with the best fit indices was selected. These indices include: maximum log-likelihood, Bayesian Information Criterion (BIC), Integrated Complete-data Likelihood (ICL), and a measure of model uncertainty. ICL is calculated based on BIC but penalizes models with high uncertainty.

Before inclusion in the model, all variables except cognitive indicators were standardized relative to the sample mean (z-scores: [raw value – sample mean] / sample SD). To account for changes in cognitive scores from grade 5 to 11, they were standardized relative to the mean for the corresponding grade ([raw value – grade mean] / grade SD).

After selecting the best-fitting model, the obtained latent profiles were compared based on the mean values of the included variables. Then, the proportion of each latent profile was calculated for students in grades 5–11 separately for each grade.

The analysis was conducted in the R environment using the mclust package.

Results

The distribution of the variables included in the analysis is shown in Table 2.

Table 2

Indicators of variables included in the analysis

 

Indicators

Average

St. deviation

25th percentile

75th percentile

BMI

20,47

4,11

17,66

22,13

Daytime drowsiness index

13,75

6,40

9

18

Nonverbal intelligence

39,8

8,6

34

46

Spatial abilities

8,4

2,6

7

10

Vocabulary

52,9

18,2

40

65

Emotional problems

3,15

2,63

1

5

Problems with peers

2,95

1,92

1

4

Satisfaction with the family

18,8

4,98

20

28

Satisfaction with the school

23,9

5,02

15

23

Satisfaction with oneself

22,4

5,25

19

27

Average mathematics points

3,81

0,58

3,25

4,13

Average points in the Russian language and literature

3,97

0,58

3,5

4,38

 

Spearman correlations between the selected indicators were examined (Fig. 1).

fig. 1
Fig. 1. Correlations between variables

 

Analysis of correlations shows that BMI has no significant correlations with other indicators except a weak positive correlation with vocabulary. The daytime sleepiness index is negatively related to satisfaction indicators and positively related to the emotional problems scale.
Satisfaction indicators are strongly positively correlated with each other and moderately negatively correlated with problem indicators. Grades in mathematics and Russian language are positively related to nonverbal intelligence and school satisfaction.

Results of latent profile analysis of students

The model with 4 latent classes showed the best fit indices, where variables within each latent class are considered uncorrelated, and variables can have different variances (diagonal, varying volume and shape). The model indices are presented in Table 3.

Table 3

Model indicators based on the results of the analysis of latent profiles

 

log-likelihood

BIC

df

ICL

Степень неопределенности / The degree of uncertainty

3625,9

6535,6

99

6422,97

0,03

 

The main characteristics of each latent profile can be described as follows:

      Latent Profile 1 (159 observations, 11%):

  1. "Adequate Students without Difficulties"
  • Cognitive indicator values are close to zero, indicating average cognitive abilities (relative to age norms).
  • Average family satisfaction and below-average school satisfaction (the lowest among all profiles).
  • No pronounced emotional or peer relationship problems.
  • Grades in mathematics and language are also close to or slightly below average.

This is a group of adequately performing students without pronounced psychological difficulties, who are not very satisfied with school.

Latent Profile 2 (389 observations, 28%):

  1. "Successful and Content"
  • High academic performance and high levels of cognitive abilities.
  • Low levels of emotional problems and peer relationship problems.
  • Low level of daytime sleepiness.
  • High levels of family, school, and self-satisfaction.

This group of students is generally content with their lives, well-rested, and the most academically successful.

Latent Profile 3 (525 observations, 38%):

  1. "Overloaded Students"
  • Slightly above-average BMI, high level of sleepiness, which may be a consequence of overload, stress, or lack of sleep.
  • Very low indicators of school, family, and self-satisfaction.
  • High indicators of emotional problems and peer relationship problems.
  • Average grades in mathematics and language.
  • Scores on cognitive tests are slightly below average for their age.

A group of students who manage academically but experience high levels of stress, fatigue, and dissatisfaction with their social environment.

Latent Profile 4 (313 observations, 23%):

  1. "Low-Achieving but Socially Adapted"
  • Levels of family, school, and self-satisfaction are slightly above average.
  • The lowest academic results.
  • Levels of emotional problems and peer relationship problems are below average.
  • The level of cognitive abilities is close to average.

A group of low-achieving students without significant adaptation or communication problems.

Figure 2 presents the indicators (z-scores) for the variables across the four latent profiles.

fig. 2

Fig. 2. Indicators of the average values of variables for four latent profiles

Next, we analyzed how the described latent profiles are distributed across grades (see Fig. 3).

fig. 3
Fig. 3. The proportion of students of each latent profile in classes

Thus, it can be seen that the proportion of students from each latent profile varies from grade to grade. In particular, the proportion of "Overloaded Students" (with average grades but low satisfaction and high problem levels) is highest in grade 7 (53%), and also in grades 10–11 (51% and 49%, respectively). Conversely, the proportion of "Successful and Content" students is highest in grade 11 (43%) and lowest in grade 9 (15%). Low-achieving but adapted students are more common in grade 6 (37%) and grade 9 (34%). It should also be noted that in grade 7, students with this latent profile were not identified.

Discussion of results

Based on indicators of psychological well-being, cognitive characteristics, as well as sleepiness index and BMI, four latent profiles of students in grades 5–11 were identified. The most numerous (38% of the sample) is the latent profile of "Overloaded Students," who generally have satisfactory average grades in mathematics and Russian language but report emotional and social problems, low satisfaction with school, family, and self, and have high daytime sleepiness. Half of the students in grades 7, 10, and 11 have this profile. The share of "overloaded students" is especially high in grade 7. The second most represented latent profile is "Successful and Content" (28% of observations). These are students with high grades, high scores on cognitive tests, high satisfaction indicators, and low levels of problems. The highest proportion of such students is in grade 11 – 43%. The lowest proportion of such students (only 15%) is in grade 9.
Attention should also be paid to students with the profile "Low-Achieving but Socially Adapted" (23% of observations). Such students have the lowest average grades compared to other profiles but do not experience significant psychological problems. The share of such students is particularly large in grade 6 (37%) and grade 9 (34%). Interestingly, in grade 7, students with this profile were not found. The least represented (only 11% of the sample) was the latent profile "Adequate Students without Difficulties." Students with this profile generally have satisfactory academic performance indicators and no particularly pronounced problems but have quite low indicators of school satisfaction. It should be noted that the analysis did not identify a separate group of students with low academic performance and low psychological well-being indicators. Possibly, the proportion of such schoolchildren is too small to form a separate latent profile. On the other hand, it is possible that these children did not participate in the study for various reasons.

The identified latent profiles allow us to look at the dynamics of psychological and emotional well-being from grades 5 to 11, considering a large number of parameters. It can be stated that grades 5–6 are relatively favorable, with a fairly high proportion of successful and adapted students. In grade 6, the share of low-achieving students without pronounced psychological problems increases. In all likelihood, the decline in academic performance does not yet affect psychological well-being at this age.
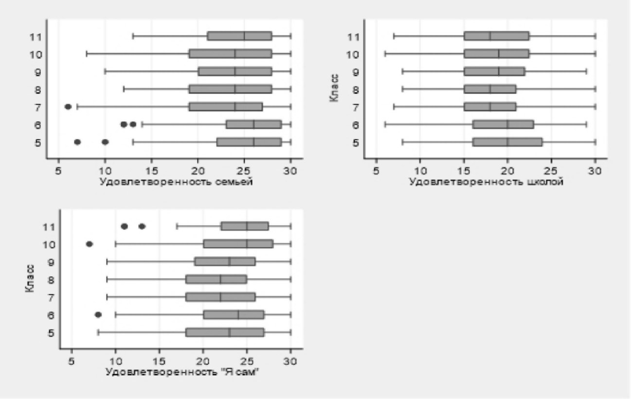
In grade 7, the picture changes; in many respects, grade 7 appears to be the most problematic. On the one hand, the proportion of "overloaded" students increases significantly. These students may demonstrate satisfactory academic performance but experience problems in both peer relationships and emotional state. It is in this grade that students show the lowest level of satisfaction with school, family, and self (Fig. 4).

fig. 4
Fig. 4. Distribution of a subscale on the scale of satisfaction with life

On the other hand, students with the "Low-Achieving but Adapted" profile were not found in grade 7. Given the sharp increase in the proportion of "overloaded" schoolchildren, it is possible that those students who were in this profile in grade 6 may "move" to a less favorable profile in terms of psychological state in grade 7. Of course, the available data do not allow us to speak about dynamics in terms of individual trajectories of transition from one latent class to another; we can only hypothesize based on data on differences between grades.
In grade 8, the situation stabilizes, and the ratio of students of different profiles becomes approximately the same as in grade 6.
In grade 9, the situation changes again, as compared to previous grades, the proportion of "average students" increases, but the share of "successful students" decreases. This may be related to the increasing complexity of the school curriculum and the need to prepare for the State Final Attestation.
Grades 10 and 11 show a similar picture in terms of the representation of "overloaded students." Among students in these grades, the proportion of such "overloaded" students is very high and comparable to the situation in grade 7, although the reasons for this situation may be different. For example, analysis of changes in daytime sleepiness indicators revealed that it is in grade 10 that students have the highest average scores for daytime sleepiness (Fig. 5).

fig. 2
Fig. 5. Distribution of indicators of the scale of daily drowsiness by classes

On the other hand, it can be seen that grades 10 and 11 differ in the representation of the "successful" profile, as in grade 11 the share of "successful" students is significantly higher than in grade 10. However, it should be noted that the sample of grade 11 students is small, and the situation may change with a larger sample.

Conclusion

Based on the analysis, the model with 4 latent profiles showed the best fit: Latent Profile 1 "Adequate Students without Difficulties" accounted for 11% (159 observations), Latent Profile 2 "Successful and Content" – 28% (389 observations), Latent Profile 3 "Overloaded Students" – 38% (525 observations), and Latent Profile 4 "Low-Achieving but Socially Adapted" – 23% (313 observations). The proportion of students in each latent profile varies from grade 5 to 11.

Regarding the choice of possible corrective or preventive measures, it can be noted that students in different latent profiles require different approaches. From the teachers' perspective, students from the "Low-Achieving but Adapted" profile may seem the most problematic. However, from the perspective of long-term consequences, the profile of "overloaded" students appears more "risky."
Furthermore, it is worth noting that the cognitive indicators of students in this profile are slightly lower than those of schoolchildren in the "low-achieving" profile, despite their higher academic performance. It can be assumed that maintaining relatively high academic performance may be quite costly for many students in terms of psychological and physical well-being. It is also possible that a slight decrease in cognitive indicators may be associated with increased stress and fatigue, as indicated by high daytime sleepiness scores.

The obtained results also indicate that the relationships between indicators of psychological well-being, cognitive, and physical characteristics are complex and may differ across subgroups. For a better understanding, both detailed analysis (e.g., structural equation modeling) within the separately identified latent profiles and longitudinal and qualitative studies are necessary.

References

  1. Выготский, Л.С. (1931). Педология подростка. Задания № 9–16. (с. 174–504). М.; Л.: Учпедгиз.
    Vygotsky, L.S. (1931). Pedology of a teenager. Tasks No. 9–16. (рр. 174–504). M.; L.: Uchpedgiz. (In Russ.).
  2. Головин, Г.В. (2015). Измерение пассивного словарного запаса русского языка. Социо- и психолингвистические исследования, 3, 148–159.
    Golovin, G.V. (2015). Measurement of the passive vocabulary of the Russian language. Soci- and psycholinguistic research, 3, 148–159. (In Russ.).
  3. Масленникова, Е.П., Фекличева, И.В., Есипенко, Е.А., Шарафиева, К.Р., Исматуллина, В.И., Головин, Г.В., Миклашевский, А.А., Чипеева, Н.А., Солдатова, Е.Л. (2017). Словарный запас как показатель вербального интеллекта: применение экспресс-методики оценки словарного запаса. Вестник Южно-Уральского государственного университета. Серия: Психология, 10(3), 63–69.
    Maslennikova, E.P., Fuklicheva, I.V., Esipenko, E.A., Sharafieva, K.R., Ismatullina, V.I., Golovin, G.V., Mikravsky, A.A., Chipeeva, N.A., Soldatova, E.L. (2017). The vocabulary as an indicator of verbal intelligence: the use of express vocabulary assessment of vocabulary. Bulletin of South Ural State University. Series: Psychology, 10(3), 63–69. (In Russ.).
  4. Моросанова, В.И., Потанина, А.М. (2024). Индивидуально-типологические траектории школьной вовлеченности у подростков: лонгитюдное исследование. Психологическая наука и образование, 29(6), 178–191. https://doi.org/10.17759/pse.2024290612
    Morosanova, V.I., Potanin, A.M. (2024). Individual-typological trajectories of school involvement in adolescents: longitudinal research. Psychological science and education, 29(6), 178–191. https://doi.org/10.17759/pse.2024290612 (In Russ.).
  5. Подольский, А.И., Карабанова, О.А., Идобаева, О.А., Хейманс, П. (2011). Психоэмоциональное благополучие современных подростков: опыт международного исследования. Вестник Московского университета. Серия 14. Психология, 2, 9–20.
    Podolsky, A.I., Karabanova, O.A., Idobaeva, O.A., Haimans, P. (2011). Psycho-emotional well-being of modern adolescents: the experience of international research. Bulletin of Moscow University. Series 14. Psychology, 2, 9–20. (In Russ.).
  6. Сычев, О.А., Гордеева, Т.О., Лункина, М.В., Осин, Е.Н., Сиднева, А.Н. (2018). Многомерная шкала удовлетворенности жизнью школьников. Психологическая наука и образование, 23(6), 5–15.
    Sychev, O.A., Gordeeva, T.O., Lunkina, M.V., Osin, E.N., Sidneva, A.N. (2018). Multidimensional Students’ Life Satisfaction Scale. Psychological Science and Education, 23(6), 5–15. doi:10.17759/pse.2018230601 (In Russ.).
  7. Тихомирова, Т.Н., Модяев, А.Д., Леонова, Н.М., Малых, C.Б. (2015). Факторы успешности в обучении на начальной ступени общего образования: половые различия. Психологический журнал, 36(5), 43–54.
    Tikhomirova, T.N., Moddyaev, A.D., Leonova, N.M., Malykh, C.B. (2015). Factors of success in training at the primary level of general education: sexual differences. Psychological journal, 36(5), 43–54. (In Russ.).
  8. Эльконин, Д.Б. (1989). К проблеме периодизации психического развития в детском возрасте. В: Избранные психологические труды. (60–77). М.: Педагогика.
    Elkonin, D.B. (1989). To the problem of periodization of mental development in childhood. V: Selected psychologists. (60–77.). M.: Pedagogy. (In Russ.).
  9. Briggs, S. (2009). Risks and opportunities in adolescence: Understanding adolescent mental health difficulties. Journal of Social Work Practice, 23(1), 49–64.
  10. Howard, M.C., Hoffman, M.E. (2018). Variable-centered, person-centered, and person-specific approaches: Where theory meets the method. Organizational Research Methods, 21(4), 846–876. https://doi.org/10.1177/1094428117744021
  11. Huebner, E.S. (1994). Preliminary development and validation of a multidimensional life satisfaction scale for children. Psychological assessment, 6(2), 149.
  12. Jonsson, U., Bohman, H., Von Knorring, L., Olsson, G., Paaren, A., Von Knorring, A.L. (2011). Mental health outcome of long-term and episodic adolescent depression: 15-year follow-up of a community sample. Journal of affective disorders, 130(3), 395–404. https://doi.org/10.1016/j.jad.2010.10.046
  13. Goodman, R. (2001). Psychometric properties of the strengths and difficulties questionnaire. Journal of the American Academy of Child & Adolescent Psychiatry, 40(11), 1337–1345. https://doi.org/10.1097/00004583-200111000-00015
  14. Lin, J., Guo, W. (2024). The research on risk factors for adolescents’ mental health. Behavioral Sciences, 14(4), 263. https://doi.org/10.3390/bs14040263
  15. Mindrila, D.L. (2016). A typology of child school behavior: Investigation using latent profile analysis and cluster analysis. Psychology in the Schools, 53(5), 471–487. DOI:10.1002/pits.21917
  16. Morin, A.J., Gagne, M., Bujacz, A. (2016). Feature topic: Person-centered methodologies in the organizational sciences. Organizational Research Methods, 19(1), 8–9. https://doi.org/10.1177/1094428115617592
  17. Muthen, B.O. (2001). Latent variable hybrids: Overview of old and new models. In G.R. Hancock, K.M. Samuelsen (Ed.). Advances in latent variable mixture models. Charlotte, NC: Information Age, 1–24.
  18. Orpinas, P., Raczynski, K., Peters, J.W., Colman, L., Bandalos, D. (2015). Latent profile analysis of sixth graders based on teacher ratings: Association with school dropout. School Psychology Quarterly, 30(4), 577. https://doi.org/10.1037/spq0000107
  19. Ruchkin, V., Koposov, R., Schwab Stone, M. (2007). The Strength and Difficulties Questionnaire: scale validation with Russian adolescents. Journal of Clinical Psychology, 63(9), 861–869. https://doi.org/10.1002/jclp.20401
  20. Schlack, R., Peerenboom, N., Neuperdt, L., Junker, S., Beyer, A.K. (2021). The effects of mental health problems in childhood and adolescence in young adults: Results of the KiGGS cohort. Journal of health monitoring, 6(4), 3.
  21. Sigurdson, J.F., Undheim, A.M., Wallander, J.L., Lydersen, S., Sund, A.M. (2015). The long-term effects of being bullied or a bully in adolescence on externalizing and internalizing mental health problems in adulthood. Child and adolescent psychiatry and mental health, 9, 1–13. https://doi.org/10.1186/s13034-015-0075-2
  22. Zakharov, I.M., Ismatullina, V.I., Kolyasnikov, P.V., Marakshina, J.A., Malykh, A.S., Tabueva, A.O., Adamovich, T.V., Lobaskova, M.M., Malykh, S.B. (2023). An Independent Evaluation of the Psychometric Properties of the Russian Version of the Pediatric Daytime Sleepiness Scale (PDSS). Psychology in Russia: State of the Art, 16(3), 206–221. https://doi.org/10.11621/pir.2023.0314
  23. Watt, H.M., Parker, P.D. (2020). Person-and variable-centred quantitative analyses in educational research: Insights concerning Australian students’ and teachers’ engagement and wellbeing. The Australian Educational Researcher, 47(3), 501–515. https://doi.org/10.1007/s13384-020-00390-z

Information About the Authors

Sergey B. Malykh, Doctor of Psychology, Academician of the Russian Academy of Education, Academician-Secretary of the Department of Psychology and Developmental Physiology, Russian Academy of Education, Moscow, Russian Federation, ORCID: https://orcid.org/0000-0002-3786-7447, e-mail: malykhsb@mail.ru

Viktor S. Basyuk, Doctor of Psychology, academician of the Russian Academy of Education, Vice President, Russian Academy of Education, Moscow, Russian Federation, ORCID: https://orcid.org/0000-0002-2448-0673, e-mail: basyuk.victor@raop.ru

Lyubov V. Rychkova, Doctor of Medicine, Corresponding Member of the Russian Academy of Sciences, Director, Scientific сentre for family health and human reproduction problems (FSBSI SC FHHRP), Irkutsk, Russian Federation, ORCID: https://orcid.org/0000-0002-0117-2563, e-mail: rychkova.nc@gmail.com

Contribution of the authors

Sergey B. Malykh – justification of the research concept, development of the research methodology, creation of the research model, writing the manuscript, critical review of the manuscript text.

Viktor S. Basyuk – development of research design, analysis and systematization of data, formulation of conclusions, interpretation of research results, writing the text of the manuscript, working with graphic material, formulation of conclusions.

Lyubov V. Rychkova – analysis and generalization of literature data, collecting literature data, conducting comparative analysis, generalizing research results, work with the text of the manuscript, manuscript design.

All authors participated in the discussion of the results and approved the final text of the manuscript.

Conflict of interest

The authors declare no conflict of interest.

Metrics

 Web Views

Whole time: 169
Previous month: 101
Current month: 65

 PDF Downloads

Whole time: 122
Previous month: 75
Current month: 39

 Total

Whole time: 291
Previous month: 176
Current month: 104