Организационные предпосылки синдрома выгорания и профессиональной вовлеченности у педагогов общеобразовательных организаций

 
Аудио генерируется искусственным интеллектом
 55 мин. чтения

Резюме

Контекст и актуальность. Организация трудовой деятельности является ведущей причиной возникновения как синдрома выгорания, так и возможностей проявления его альтернативы, профессиональной вовлеченности. Выявление организационных детерминант выгорания и условий проявления вовлеченности в педагогической деятельности является важнейшим направлением по профилактике и преодолению текучести кадров, снижения лояльности к организации, выхода из профессии, потери здоровья. Цель: выявить организационные условия, обусловливающие степень проявления профессионального выгорания и профессиональной вовлеченности у педагогов общеобразовательных организаций России. Гипотеза. Организация деятельности педагога, не учитывающая базовые потребности педагога в безопасности и уважении, создает предпосылки проявления синдрома выгорания. Отсутствие возможности реализации потребности в развитии и самореализации активизирует деструктивное изменение состояния, трансформируя профессиональную вовлеченность педагога в синдром выгорания. Методы и материалы. В исследовании приняли участие 125 учителей — 108 женщин и 17 мужчин, средний возраст 43,04 года, со стажем 17,707 года, из 19 общеобразовательных организаций 6 федеральных округов РФ. Результаты. Результаты показали, что организация деятельности в педагогическом коллективе оказывает мощное влияние на психику педагогов. Она отражается в трансформации континуума «профессиональное выгорание — профессиональная вовлеченность». Игнорирование базовых потребностей педагога в безопасности и уважении создает предпосылки проявления синдрома выгорания. Отсутствие возможности реализации потребности в развитии и самореализации активизирует деструктивное изменение состояния, трансформируя профессиональную вовлеченность педагога в синдром выгорания. Выводы. Показано, что необходимо минимизировать выполнение несвойственных для деятельности педагога задач; оптимизировать планирование расписания; усовершенствовать практику оценки поощрений персонала; организовать подготовку руководства учебной организации, включив в программу курс по изучению психологических основ управления и кадрового менеджмента; изыскивать возможности по решению материальных, бытовых потребностей учителей. Основные усилия следует сосредоточить на достижении реальных результатов в профессиональной деятельности — высоких показателей учеников на итоговых экзаменах и олимпиадах.

Общая информация

Ключевые слова: образовательная организация , педагог , профессиональное выгорание, вовлеченность в работу, организационные условия

Рубрика издания: Междисциплинарные исследования

Тип материала: научная статья

DOI: https://doi.org/10.17759/epps.2026030108

Благодарности. Авторы благодарят за помощь в сборе данных для исследования А.Л. Абгарова, А.А Алеева, Е.А. Анисимову, К.В. Завязкину, Д.О. Казакова, Е.С. Липецкую, А.А. Лобко, С.Е. Мязину, В.А. Негинскую, Д.И. Саральпову, В.А. Четоркина

Поступила в редакцию 26.12.2025

Поступила после рецензирования 09.03.2026

Принята к публикации

Опубликована

Для цитаты: Сечко, А.В. (2026). Организационные предпосылки синдрома выгорания и профессиональной вовлеченности у педагогов общеобразовательных организаций. Экстремальная психология и безопасность личности, 3(1), 145–171. https://doi.org/10.17759/epps.2026030108

© Сечко А.В., 2026

Лицензия: CC BY-NC 4.0

Подкаст

Полный текст

Введение

В современной психологии, зарубежной и отечественной, просматривается завершение дискуссии о структуре синдрома выгорания, условиях его проявления, а также основных его последствиях, которые проявляются в различных сферах деятельности. Это совокупность симптомов эмоционального истощения, профессионального цинизма и редукции профессиональных достижений, характерные элементы модели К. Маслач и С. Джексон (Maslach, Jackson, 1981), выведенной методом факторного анализа и получившей всемирное распространение и признание благодаря созданной методике Maslach Burnout Inventory (MBI), позволившей систематизировать и сопоставлять результаты многочисленных исследований (Maslach, Jackson, Leiter, 1996).

Синдром выгорания представляет собой длительное психическое состояние, проявляющееся в профессиональной деятельности и являющееся реакцией психики на неудовлетворительные организационные условия деятельности. Это элемент психологической защиты, позволяющий экономно расходовать ресурсы психики за счет снижения регистра эмоциональных реакций на негативные явления внешней среды, а также изменения в ценностно-смысловой сфере личности. Выгорание препятствует возникновению невротических расстройств, но в качестве отрицательного момента отмечаются нежелательные проявления во внешней сфере деятельности. Профессионал теряет лояльность к компании, рассматривает варианты самореализации за счет внешних по отношению к профессии средств, уходит из профессии, снижается качество, производительность труда, работник ориентирован на формальную, процессуальную стороны труда, превращается в «механизм» без инициативы (Водопьянова, Старченкова, 2019; Сечко и др., 2023).

Поэтому менеджеры, работники кадровых органов, специалисты психологических служб во всем мире озабочены проблемой профилактики, предупреждения, купирования проявлений синдрома выгорания.

Изучению проблемы профессионального выгорания педагогов в отечественной психологии посвящено порядка двух десятков диссертационных исследований. Выявление условий организации деятельности педагогов в контексте выгорания отмечено только в некоторых из них. Так, отмечается необходимость поддержки руководства, удовлетворения потребности в инновациях (Рукавишников, 2001); важность содержания работы в аспекте удовлетворения различных видов запросов, порядок работы, доступность временных ресурсов, перегруженность работой (Кутузова, 2006); трудности повышения квалификации, обмена опытом в сельских школах, необходимость осваивать учебные дисциплины, по которым нет базовой подготовки, повышенные требования к учителям, возникающие в условиях чрезмерной конкуренции между образовательными организациями, перенаполняемость классов, отсутствие специализированных кабинетов (Коновальчук, 2008); моральное и материальное стимулирование, повышенные нагрузки и стрессогенные условия профессиональной деятельности (Наличаева, 2011); тяжелый график работы, несоответствие между личным вкладом и получаемым или желаемым вознаграждением (Сюртукова, 2014); характер деятельности, содержание деятельности, временные параметры и ограничения по сроку их выполнения, наличие/отсутствие возможности принятия самостоятельных решений, наличие/отсутствие денежного и морального вознаграждения, наличие влияния культурных обычаев на организационные факторы, безопасность жизнедеятельности и профессиональной деятельности, качественные гигиенические условия на месте работы (Катцова, 2020).

В настоящей статье помимо причин выгорания рассматриваются предпосылки профессиональной вовлеченности, антагонизма синдрома выгорания, закономерности которого практически не изучались в современной психологии, за исключением ограниченного ряда работ (Кутузова, 2006; Сечко, Леонгардт, 2018).

Исследование планировалось и проводилось на основе подхода к изучению профессионального выгорания (burnout), где в качестве альтернативы рассматривается профессиональная вовлеченность. В современной психологии активно развиваются идеи о взаимосвязи выгорания и профессиональной вовлеченности (work engagement), начало которым положено предположениями C. Maslach и M.P. Leiter (Maslach, Leiter, 2001). Они нашли поддержку и развитие в ряде зарубежных и отечественных работ, где обоснован конструкт, который характеризуется обратными синдрому выгорания составляющими: энергичностью, включенностью в работу, профессиональной эффективностью (Schaufeli, Bakker, 2004; Сечко, Леонгардт, 2018; Коротун, Водопьянова, 2024). Эти предположения успешно подтверждаются фундаментальными исследованиями в области психических состояний, проведенными Н.Д. Левитовым, А.О. Прохоровым, Ю.М. Забродиным, Л.В. Куликовым, основными выводами которых являются заключения о том, что любое психическое состояние — это динамичное явление, развивающееся в зависимости от ситуации, в которой находится человек — следовательно, имеющее принципиальную обратимость (Левитов, 1964; Прохоров, 2005).

В современных исследованиях имеются различные взгляды на место выгорания в системе психических явлений. Существует практически единое мнение о том, что синдром выгорания — это разновидность профессиональных стрессов. Отличительной чертой выгорания является, предположительно, то, что стресс испытывает любой работник в трудной ситуации, а выгорание свойственно людям с высокими карьерными ожиданиями, мотивацией, целями. Обычный стресс может сопровождаться положительными эмоциями, выгорание — только негативными (Сечко, 2022а).

В отечественной психологии есть взгляды, согласно которым выгорание рассматривается как вид профессиональной деформации, деструкции. В данном случае представляется, что деформации не обязательно связаны с негативным эмоциональным фоном. Например, менторский тип поведения учителя начальных классов или авторитарного руководителя в межличностных взаимоотношениях приносит удовольствие «деформированной» личности. К тому же деформации могут сопровождаться чувством профессиональной успешности, что в корне противоречит наличию важной составляющей выгорания — редукции профессиональных достижений, субъективного чувства снижения качества деятельности (Сечко и др., 2023).

Исходя из краткого описания авторских взглядов на природу изучаемого явления, будем иметь в виду, что выгорание — это разновидность профессионального стресса, психическое состояние, механизм психологической защиты, который включается, проявляется в ситуации, условиях профессиональной деятельности, вызывающей негативные эмоции. Длительное нахождение в подобных условиях вызывает состояние в виде синдрома, сочетания трех компонентов: эмоционального истощения, профессионального цинизма, редукции профессиональных достижений. Развитие компонентов выгорания вариативно, может происходить одновременно или последовательно, с первостепенным проявлением того или иного компонента в зависимости от специфики факторов. Условия профессиональной деятельности могут не только способствовать появлению компонентов выгорания, но и препятствовать их появлению в случае их совпадения с ожиданиями профессионала. При значительном совпадении условий деятельности и ожиданий, позволяющих удовлетворять потребности и связанные с ними интересы, возникают предпосылки профессиональной вовлеченности, для которой характерны такие компоненты, как энергичность, энтузиазм и поглощенность работой. Профессионал находится в состоянии динамического изменения психического состояния в континууме «выгорание-вовлеченность». Представляется, что меры предупреждения, профилактики, а также и преодоления должны строиться на основе принципа активности, предполагающего в первую очередь не профилактику, а создание условий для развития личности средствами профессии и поддержания состояния профессиональной вовлеченности. Необходимо иметь в виду, что существуют гигиенические условия, которые оказывают влияние на удовлетворение потребностей только низшего порядка, соответственно, влияя, но не решая проблему выгорания, а также условия, способствующие удовлетворению высших потребностей, препятствующие развитию выгорания и активизирующие вовлеченность.

Материалы и методы

В ходе анонимного опроса использовались следующие методики:

1)      Опросник «Профессиональное выгорание» в адаптации Н.Е. Водопьяновой и Е.С. Старченковой. Предназначен для оценки степени проявления синдрома выгорания. Имеет три шкалы: эмоциональное истощение (ЭИ), деперсонализация (Д), редукция профессиональных достижений (РПД). Суммарный балл профессионального выгорания рассчитывался по формуле: ПВ = ЭИ + Д + (48-РПД).

2)      Опросник «Утрехтская шкала увлеченности работой» в адаптации Д.А. Кутузовой.  Предназначен для оценки профессиональной вовлеченности (ПВл). Имеет три шкалы: энергичность (Эн), энтузиазм (Эт), поглощенность деятельностью (ПД). Суммарный балл профессиональной вовлеченности рассчитывался по формуле: ПВл = Эн + Эт + ПД.

3)      Методика определения стиля руководства трудовым коллективом В.П. Захарова и А.Л. Журавлева. Предназначена для выявления директивного, попустительского и коллегиального компонентов в стиле руководства организацией.

4)      Формализованный авторский опросник, предполагающий изучение мнения преподавателя о социально-психологических и организационных условиях деятельности путем выбора одного из пяти альтернативных вариантов ответов (шкала Р. Ликерта) и возможности свободного изложения видения проблемы.

Респонденту предлагается инструкция: «Прежде чем ответить на каждый вопрос, внимательно прочитайте все имеющиеся варианты ответов на него и поставьте число, слово “да” или “нет”, крестик в ячейке (ниже вопроса) того ответа, который соответствует Вашему мнению».

Вы считаете, что у Вас очень плохое планирование расписания занятий

Вы считаете, что у Вас, скорее всего, неудовлетворительное планирование расписания занятий

Вы считаете, что у Вас удовлетворительное планирование расписания занятий

Вы считаете, что у Вас хорошее планирование расписания занятий

Вы считаете, что у Вас оптимальное планирование расписания занятий

В дальнейшем со шкалированием по 5-балльной системе предлагается высказаться по следующим вопросам:

1.         Количество учеников в классе (среднее)

2.         Привлечение к административной работе, проектам

3.         Оценка качества планирования занятий

4.         Субъективное чувство чрезмерности учебной нагрузки

5.         Субъективное отношение к объему работы в цифровой среде

6.         Субъективное отношение к качеству цифровой среды

7.         Субъективное отношение к требованиям проведения учебных занятий (регламентации)

8.         Субъективное отношение к уровню своей профессиональной подготовки

9.         Субъективная оценка компетентности руководства в отношении профессиональных планов педагогов

10.       Субъективная оценка адекватности реакции администрации на конфликтные ситуации учителей и родителей учеников

11.       Субъективная оценка заинтересованности учеников в изучаемом предмете

12.       Субъективная оценка дисциплинированности учеников на занятиях

13.       Субъективная оценка качества и объема документов, регламентирующих учебную нагрузку

14.       Объем выполнения несвойственных функциональных обязанностей

15.       Степень информированности о решениях аттестационной комиссии в отношении педагога

16.       Субъективная оценка справедливости решения аттестационной комиссии в отношении педагога

17.       Количество поощрений за последние 12 месяцев

18.       Количество взысканий за последние 12 месяцев

19.       Учебная нагрузка (в количестве ставок)

20.       Данные о возможности привлечения к работе в период проведения очередного отпуска

21.       Данные о возможности проведения и организации неформальных мероприятий

22.       Характеристика жилищных условий

23.       Оценка возможности посещения детьми педагога дошкольных образовательных организаций

24.       Субъективная оценка удовлетворенности собственных материальных потребностей

 

Методика сбора исследовательских данных, предполагающих изучение групп учителей, принадлежащих к одному кластеру (образовательной организации), позволила получить групповую оценку степени выраженности изучаемых переменных, предполагающую уход от субъективности оценивания и получение объективной исследовательской информации.

В качестве показателей успешности взяты отзывы о школе и результаты сдачи ЕГЭ, где в расчет ложится процент школ в целом по России, показавших лучшие или худшие результаты (https://dreamjob.ru/salary/uchitel.; https://schoolotzyv.ru).

Эмпирическая база. Выборка, представленная 125 респондентами из 19 общеобразовательных организаций 9 субъектов РФ: Белгородской, Кемеровской, Московской областей, Москвы, Санкт-Петербурга, Челябинска, Уфы, сельских школ республики Башкортостан, Кабардино-Балкарской республики, республики Северной Осетии — Алании.

Испытуемые. В исследовании приняли участие 108 женщин и 17 мужчин, средний возраст 43,04 года (от 21 года до 65 лет), стаж 17,707 года (от 1 года до 45 лет). Преподаваемые предметы: начальные классы, математика, русский язык, иностранный язык, родной язык, биология, химия, география, история, обществоведение, информатика, физическая культура, ОБЖ, внеурочная работа, специальные дисциплины, технология.

Для обработки эмпирических данных применялись:

1) корреляционный анализ Спирмена для поиска взаимосвязей между переменными, измеренными в ранговой шкале;

2) бисериальный корреляционный анализ для поиска взаимосвязей между переменными, измеренными, с одной стороны, в ранговой, с другой — в дихотомической шкале;

3) графический анализ линейности частотного распределения признака с применением статистического пакета SPSS 27.

Результаты

 Результаты исследования представлены в двух таблицах, описывающих корреляционные связи исследуемых параметров с итоговым показателем синдрома выгорания (табл. 1) и профессиональной вовлеченности (табл. 2) и их компонентов.

Таблица 1 / Table 1

Зависимость итогового показателя профессионального выгорания и его компонентов от организационных условий деятельности (N = 125)

Dependence of the final indicator of professional burnout and its components on organizational conditions of activity (N = 125)

Переменная влияния / Influence variable

r

Переменная влияния / Impact variable

r

На суммарный показатель профессионального выгорания (ПВ) / On the overall professional burnout (PB) indicator

6

Качество планирования расписания занятий /

Quality of class scheduling

–0.305**

1

Количество учеников в классе / Number of students in the class

 

–0.214**

7

Удовлетворенность работой с документами / Satisfaction with document management

–0.332**

2

Качество планирования занятий, субъективная оценка / Quality of lesson planning, subjective assessment

–0.297**

8

Примерное поведение учеников / Model student behavior

 

–0.333**

3

Удовлетворенность организацией, объемом работы с документами  //Satisfaction with the organization and volume of paperwork

–0.361**

9

Работа в системе Интернет, удовлетворенность качеством работы системы / Internet usage, satisfaction with system performance

–0.315**

4

Удовлетворенность организацией, объемом работы в системе Интернет

Satisfaction with the organization and volume of work on the Internet

– 0.159*

10

Объективность оценки аттестационной комиссии / Objectivity of the Certification Committee's Assessment

–0.315**

5

Удовлетворенность качеством работы системы Интернет / Satisfaction with the quality of the Internet

–0.360**

11

Субъективная оценка качества стимулирования в организации / Subjective Assessment of the Quality of Incentives in the Organization

–0.315**

6

Завышенные требования к планам проведения занятий / Overly high demands on lesson plans

0.154**

На показатель деперсонализации (Д) / On Depersonalization Index

 

7

Объективная оценка духа интернационализма, отсутствия межэтнических конфликтов / Objective assessment of the spirit of internationalism and the absence of interethnic conflicts

–0.240**

1

Коллегиальный стиль управления коллективом /

Collegial Team Management Style

 

–0.560**

8

Субъективная оценка скорости изменения руководящих документов / Subjective assessment of the rate of change in governing documents

0.149*

2

Индивидуальная оценка влияния руководителя на положение дел в организации / Individual Assessment of the Manager's Influence on the Organization

–0.523**

9

Объем дополнительных обязанностей / Scope of additional responsibilities

0.230**

3

Директивный стиль управления коллективом / Directive Team Management Style

0.498**

10

Субъективная оценка объективности оценки аттестационной комиссии /

Subjective assessment of the objectivity of the assessment by the certification committee

–0.360**

4

Коллегиальный стиль управления коллективом / Collegial Team Management Style

 

–0.497**

11

Субъективная оценка качества стимулирования в организации / Subjective assessment of the quality of incentives in the organization

– 0.169*

5

Качество подготовки в школе, оцениваемое по показателям сдачи выпускниками ЕГЭ / Quality of School Preparation, Assessed by Graduates' Performance on the Unified State Exam

–0.491**

12

Количество взысканий /

Number of penalties

 

0.298**

6

Директивный стиль управления коллективом (субъективная оценка) / Directive team management style (subjective assessment)

0.476**

13

Нагрузка учебная (ставки) / Academic workload (rates)

 

0.173*

7

Эмоциональная составляющая психологического климата / Emotional component of the psychological climate

–0.475**

14

Количество учеников в руководимом классе (классное руководство) / Number of students in the supervised class (class leadership)

– 0.169*

8

Качество отзывов о школе / Quality of school reviews

 

–0.470**

15

Привлечение к работе во время отпусков / Involvement in work during vacations

0.221**

9

Зарплата, определяется по средней величине заработной платы в школе / Salary, determined by the average salary in the school

–0.448**

16

Удовлетворенность равномерностью нагрузки / Satisfaction with the uniformity of the workload

–0.295**

10

Количество учеников в школе / Number of students in the school

 

–0.418**

17

Удовлетворенность размером зарплаты / Satisfaction with the salary level

– 0.161*

11

Примерное поведение учеников / Exemplary student behavior

 

–0.376**

18

Удовлетворенность санитарно-гигиеническими условиями / Satisfaction with sanitary and hygienic conditions

– 0.175*

12

Зарплата, соотнесенная со средней зарплатой по региону /

Salary, compared to the average salary in the region

–0.351**

19

Удовлетворенность отношениями с руководителем / Satisfaction with the relationship with the supervisor

–0.439**

13

Удовлетворенность разнообразием работы / Satisfaction with job variety

 

–0.340**

20

Удовлетворенность возможностью повышения квалификации / Satisfaction with the opportunity to improve skills

–0.251**

14

Групповая оценка организационных условий в коллективе / Group assessment of organizational conditions in the team

 

–0.334**

21

Удовлетворенность разнообразием работы / Satisfaction with job variety

 

–0.454**

15

Удовлетворенность работой в целом / Overall job satisfaction

 

–0.324**

22

Удовлетворенность работой в целом / Overall job satisfaction

 

–0.345**

16

Либеральный стиль управления коллективом / Liberal team management style

0.310**

23

Объективная оценка организационных условий в коллективе (групповая оценка) / Objective assessment of organizational conditions within the team (group assessment)

–0.270*

17

Удовлетворенность работой с документами / Satisfaction with document management

–0.306**

24

Обеспечение жильем / Housing provision

 

–0.159**

На показатель редукции профессиональных достижений (РПД) / On Professional Achievement Reduction Index (PARI)

25

Удовлетворение материальных потребностей (субъективная оценка) / Satisfaction of material needs (subjective assessment)

 

–0.218**

1

Субъективная оценка своей профессиональной подготовленности / Subjective assessment of one's professional preparedness

–0.384**

26

Величина зарплаты, определяемой по средней величине заработной платы в школе / Salary value, determined by the average salary at the school

–0.346**

2

Качество подготовки в школе, оцениваемое по показателям сдачи выпускниками ЕГЭ / Quality of preparation at school, assessed by the Unified State Exam (USE) scores of graduates

–0.364**

27

Величина зарплаты, соотнесенной со средней зарплатой по региону /Salary value, compared to the average salary in the region

–0.270**

3

Эмоциональная составляющая психологического климата (групповая оценка) / Emotional component of the psychological climate (group assessment)

–0.344**

28

Количество учеников в школе / Number of students at the school

–0.335**

4

Общая оценка психологического климата педагогического коллектива (групповая) / Overall assessment of the psychological climate of the teaching staff (group assessment)

–0.323**

29

Качество отзывов о школе / Quality of school reviews

–0.422**

5

Директивный стиль управления коллективом / Directive management style

0.310**

30

Качество подготовки в школе, оцениваемое по показателям сдачи выпускниками ЕГЭ / Quality of preparation at the school, assessed by the Unified State Exam (USE) scores of graduates

–0.429**

6

Решения аттестационной комиссии /

Decisions of the certification committee

 

–0.305**

31

Директивный стиль управления коллективом (групповая оценка) / Directive Team Management Style (Group Assessment)

0.394**

7

Коллегиальный стиль управления педагогическим коллективом / Collegial management style of the teaching staff

–0.281**

32

Коллегиальный стиль управления коллективом (групповая оценка) / Collegial Team Management Style (Group Assessment)

–0.250**

8

Удовлетворенность отношениями с руководителем / Satisfaction with the relationship with the principal

–0.272**

33

Либеральный стиль управления коллективом (групповая оценка) / Liberal Team Management Style (Group Assessment)

0.227**

9

Количество учеников в школе / Number of students in the school

 

–0.254**

На показатель эмоционального истощения (ЭИ) / On Emotional Exhaustion (EE)

10

Объективная оценка духа интернационализма, отсутствия межэтнических конфликтов / Objective assessment of the spirit of internationalism and the absence of interethnic conflicts

–0.250**

1

Удовлетворенность разнообразием работы / Satisfaction with job variety

–0.547**

11

Примерное поведение учеников / Exemplary student behavior

–0.245**

2

Коллегиальный стиль управления коллективом / Collegial team management style

 

–0.382**

12

Зарплата, определяется по средней величине заработной платы в школе / Salary is determined based on the average salary in the school

–0.237**

3

Субъективная оценка интереса учеников, проявляемого к занятиям / Subjective assessment of students' interest in classes

–0.369**

13

Качество отзывов о школе / Quality of school reviews

 

–0.235**

4

Директивный стиль управления коллективом / Directive team management style

0.335**

14

Удовлетворенность работой с документами / Satisfaction with document management

–0.234**

5

Субъективная оценка качеств руководителя / Subjective assessment of managerial qualities

–0.334**

15

Субъективная оценка интереса учеников, проявляемого к занятиям / Subjective assessment of student interest in classes

–0.227**

Примечание: «*» — корреляция значима на уровне 0,05 (двусторонняя); «**» — корреляция значима на уровне 0,01 (двусторонняя).

Note: «*» — correlation is significant at the 0.05 level (two-sided); «**» — correlation is significant at the 0.01 level (two-sided).

Таблица 2 / Table 2

Зависимость итогового показателя профессиональной вовлеченности и его компонентов от организационных условий деятельности (N = 125)

Dependence of the final indicator of professional engagement and its components on organizational conditions of activity (N = 125)

Переменная влияния / Influence variable

r

Переменная влияния / Influence variable

r

На суммарный показатель профессиональной вовлеченности (ПВл) / On the total indicator of professional engagement (PI)

4

Качество отзывов о школе / Quality of school reviews

0.259**

1

Количество учеников в классе / Number of students in the class

 

 

5

Качество подготовки в школе, оцениваемое по показателям сдачи выпускниками ЕГЭ / Quality of preparation at the school, assessed by graduates' performance on the Unified State Exam

0.256**

2

Качество планирования занятий, субъективная оценка / Quality of lesson planning, subjective assessment

0.366**

6

Информированность о решении аттестационной комиссии / Awareness of the assessment committee's decision

0.256**

3

Удовлетворенность организацией, объемом работы с документами //Satisfaction with the organization and volume of paperwork

0.274**

7

Удовлетворенность равномерностью нагрузки / Satisfaction with the uniformity of the workload

 

0.227**

4

Удовлетворенность качеством работы системы Интернет / Satisfaction with the quality of the Internet

0.263**

8

Примерное поведение учеников /

Exemplary student behavior

0.317**

5

Объективная оценка духа интернационализма, отсутствия межэтнических конфликтов / Objective assessment of the spirit of internationalism and the absence of interethnic conflicts

0.193*

На показатель энтузиазма (Эт) / On Enthusiasm indicator (Et)

 

6

Желание выполнять обязанности вышестоящих должностей / Desire to perform the duties of higher-level positions

0.166*

1

Примерное поведение учеников / Exemplary student behavior

 

0.392**

7

Представление о выводах и решениях аттестационной комиссии / Understanding of the findings and decisions of the certification committee

0.232**

2

Качество планирование расписания / Quality of schedule planning

0.359**

8

Субъективная оценка объективности оценки аттестационной комиссии / Subjective assessment of the objectivity of the certification committee's assessment

0.263**

3

Эмоциональная составляющая психологического климата коллектива (индивидуальная) / Emotional component of the psychological climate of the team (individual)

0.352**

9

Количество взысканий / Number of penalties

–0.213**

4

Качество подготовки в школе, оцениваемое по показателям сдачи выпускниками ЕГЭ / Quality of preparation at school, assessed by the performance of graduates on the Unified State Exam

0.341**

10

Количество учеников в руководимом классе (классное руководство) / Number of students in the supervised class (classroom leadership)

0.181*

5

Коллегиальный стиль управления коллективом / Collegial style of team management

 

0.332**

11

Проведенное время на совещаниях / Time spent in meetings

 

 

0.169*

6

Уровень взаимопонимания, сотрудничества, эмоционального контакта с учениками / Level of mutual understanding, cooperation, and emotional connection with students

0.330**

12

Удовлетворенность равномерностью нагрузки / Satisfaction with the uniformity of the workload

0.221**

7

Качество отзывов о школе / Quality of school reviews

 

0.329**

13

Удовлетворенность санитарно-гигиеническими условиями / Satisfaction with sanitary and hygienic conditions

0.221**

8

Поддержка администрации в конфликтных ситуациях с учениками /

Administration support in conflict situations with students

0.318**

14

Удовлетворенность отношениями с руководителем / Satisfaction with the relationship with the supervisor

 

0.252**

9

Поддержка администрации в конфликтных ситуациях с родителями учеников / Administration support in conflict situations with students' parents

0.307**

15

Удовлетворенность разнообразием работы / Satisfaction with the variety of work

0.314**

10

Удовлетворенность разнообразием работы / Satisfaction with the variety of work

0.291**

16

Удовлетворенность работой в целом / Overall job satisfaction

0.179*

11

Объективность оценки аттестационной комиссии / Objectivity of the assessment committee

0.290**

17

Объективная оценка организационных условий в коллективе (групповая оценка) / Objective assessment of organizational conditions in the team (group assessment)

0.198*

12

Удовлетворенность санитарно-гигиеническими условиями /

Satisfaction with sanitary and hygienic conditions

0.276**

18

Величина зарплаты, определяемой по средней величине заработной платы в школе / Salary amount, determined by the average salary in the school

0.195*

На показатель поглощенности (П) / On the absorption indicator (A)

19

Качество отзывов о школе / Quality of school reviews

 

0.370**

1

Индивидуальная оценка психологического климата педагогического коллектива в целом / Individual assessment of the psychological climate of the teaching staff as a whole

0.401**

20

Качество подготовки в школе, оцениваемое по показателям сдачи выпускниками ЕГЭ / Quality of preparation at the school, assessed by the Unified State Exam (USE) scores of graduates

0.347**

2

Качество отзывов о школе / Quality of school reviews

 

0.370**

21

Директивный стиль управления коллективом (групповая оценка) / Directive team management style (group assessment)

 

–0.220**

3

Поведенческая составляющая психологического климата коллектива (индивидуальная) /

Behavioral component of the psychological climate of the staff (individual)

0.363**

22

Коллегиальный стиль управления коллективом (групповая оценка) / Collegial team management style (group assessment)

0.267**

4

Примерное поведение учеников / Exemplary student behavior

 

0.319**

На показатель энергичности (Эн) / On the energy index (E)

1

Примерное поведение учеников / Exemplary student behavior

0.317**

5

Коллегиальный стиль управления педагогическим коллективом / Collegial management style of the teaching staff

0.307**

2

Эмоциональная составляющая психологического климата коллектива (индивидуальная) / Emotional component of the psychological climate of the team (individual)

0.291**

6

Удовлетворенность работой с документами / Satisfaction with document management

 

0.270**

3

Удовлетворенность разнообразием работы / Satisfaction with job variety

0.260**

7

Объективность оценки аттестационной комиссии / Objectivity of the assessment by the certification committee

0.267**

Примечание: «*» — корреляция значима на уровне 0,05 (двусторонняя); «**» — корреляция значима на уровне 0,01 (двусторонняя).

Note: «*» — correlation is significant at the 0.05 level (two-sided); «**» — correlation is significant at the 0.01 level (two-sided).

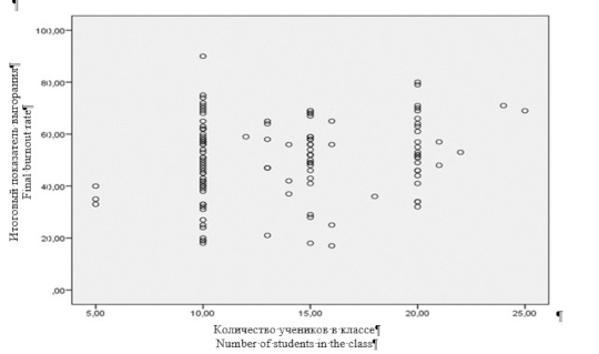
Найдена взаимосвязь между средним количеством учеников в классе и показателями выгорания: с профессиональным цинизмом (r = -0.233 при p = 0.004), редукцией профессиональных достижений (r = -0.206 при p = 0.011), итоговым показателем выгорания (ПВ) (r = -0.214 при p = 0.008). В исследовании принимали участие учителя, ведущие уроки в классах от 8 до 36 человек, среднее количество учеников 24.35, σ = 7.12. Необходимо отметить, что при графическом анализе наблюдается небольшая нелинейность распределения признака. При увеличении численности до 30 человек наблюдается снижение профессионального цинизма (деперсонализации), редукции профессиональных достижений, при увеличении численности учеников до более 30 человек наблюдается рост показателей выгорания (ПВ). Видимо, 25—30 человек является оптимальным количеством при проведении занятий по большинству учебных предметов (Сечко и др., 2023).

Рис. 1. Зависимость показателей выгорания от количества учеников в классе

Fig. 1. Dependence of burnout rates on the number of students in a class

В формализованном опроснике предусмотрена возможность выражать свободное мнение по поводу различных аспектов организации деятельности. Многие преподаватели сетуют на чрезмерную и бессмысленную работу, связанную с детальным описанием предстоящих уроков, большим объемом отчетных документов. Этот факт является основой для возникновения симптомов выгорания. Неудовлетворенность работой в системе Интернет вызывает эмоциональное истощение (r = 0.164 при p = 0.034), деперсонализацию (r = 0.202 при p = 0.012), выгорание (ПВ) (r = 0.159 при p = 0.038). Восприятие требований к планам проведения занятий как чрезмерным вызывает эмоциональное истощение (r = 0.168 при p = 0.031), деперсонализацию (r = 0.161 при p = 0.036), выгорание (r = 0.154 при p = 0.04), снижает энтузиазм (r = -0.204 при p = 0.01). При ответе на открытые вопросы многие учителя отмечали скорость изменения руководящих документов, к требованиям которых достаточно сложно приспособиться. Субъективное восприятие слишком динамичных изменений является причиной эмоционального истощения (r = 0. 225 при p = 0.006) и выгорания (r = 0.149 при p = 0.049).

Важную роль в профилактике синдрома выгорания играют вопросы стимулирования. Субъективная неудовлетворенность качеством стимулирования в организации вызывает эмоциональное истощение (r = 0.315 при p < 0.001) и итоговый показатель выгорания (ПВ) (r = -0.169 при p = 0.029). Субъективная оценка своего материального положения как удовлетворительного снижает риск эмоционального истощения (r = -0.333 при p < 0.001), деперсонализации (r = -0.243 при p < 0.001), выгорания в целом (ПВ) (r = -0.218 при p = 0.007).

К факторам, которые влияют только на показатели выгорания, относится фактическая учебная нагрузка. Корреляционный анализ показал, что существует прямая зависимость между, с одной стороны, нагрузкой (количество ставок) и с другой — эмоциональным истощением (r = 0.252 при p = 0.002), деперсонализацией (r = 0.202 при p = 0.012) и итоговым показателем выгорания (ПВ) (r = 0.173 при p = 0.027) (Сечко и др., 2023).

Однако, графический анализ показывает, что имеет место нелинейность, что позволяет сделать предположение об оптимальной нагрузке на уровне 1,5 ставки.

Рис. 2. Зависимость показателя выгорания от учебной нагрузки

Fig. 2. Dependence of burnout rate on academic workload

В ходе исследования была получена информация о том, что преподаватели вынуждены решать задачи, выходящие за рамки служебных обязанностей, куда входят общественная работа, исполнение обязанностей за вышестоящих должностных лиц, уборка помещений, территории школы, обеспечение порядка на переменах. Это повышает риск возникновения симптомов выгорания: эмоционального истощения (r = 0.189 при p = 0.017), деперсонализации (r = 0.271 при p = 0.001), редукции профессиональных достижений (r = 0.156 при p = 0.041), общего показателя выгорания (ПВ) (r = 0.230 при p = 0.005).

Также педагоги отмечают, что в той или иной степени их часто привлекают к решению различных задач во время отпуска. Это также сказывается отрицательно на показателях выгорания: эмоционального истощения (r = 0.228 при p = 0.005), деперсонализации (r = 0.223 при p = 0.006), выгорания (r = 0.221 при p = 0.007). Решение рабочих вопросов во время отпуска снижает показатель энтузиазма: r = -0.160 при p = 0.037.

И в заключение, получены интересные данные о том, что количество учеников в учебном заведении также оказывает положительное влияние на психическое состояние преподавательского состава. Увеличение количества учеников связано: с эмоциональным истощением (r = -0.215 при p = 0.008), деперсонализацией (r = - 0.418 при p < 0.001), редукцией профессиональных достижений (r = -0.254 при p = 0.002), выгоранием (ПВ) (r = - 0.335 при p < 0.001), энтузиазмом (r = 0.150 при p = 0.048), поглощенностью (r = 0.157 при p = 0.041).

Учителя и администрация общеобразовательных организаций по-разному относятся к проведению неформальных мероприятий, традиционно отмечаемых дат: Нового года, 8 Марта, дней рождений и т. д. В организациях, где созданы для этого благоприятные условия, наблюдается повышение параметров профессиональной вовлеченности: энергичность — r = 0.225 при p = 0.006; энтузиазм — r = 0.171 при p = 0.028; поглощенность — r = 0.210 при p = 0.009; вовлеченность — r = 0.231 при p = 0.005.

В последнее время в образовательный процесс активно внедряются информационные технологии, предполагающие оптимизацию планирования, контроля, организации, обмена информацией. Не всегда качество работы этой системы удовлетворяет запросы педагогов. Неудовлетворенность ее работой вызывает эмоциональное истощение (r = 0.315 при p < 0.001), деперсонализацию (r = 0.239 при p <0.001), редукцию профессиональных достижений (r = 0.184 при p = 0.02), выгорание (ПВ) (r = 0.360 при p < 0.001), — а также отрицательно сказывается на профессиональной вовлеченности: энергичности (r = -0.171 при p = 0.028), энтузиазме (r = -0.290 при p < 0.001), поглощенности (r = - 0.267 при p = 0.001), вовлеченности (ПВл) (r = -0.263 при p = 0.002).

Заметное место в перечне факторов, обеспечивающих условия предупреждения выгорания с одновременным развитием компонентов вовлеченности, занимает заинтересованность детей в изучении предмета, а также их поведение на уроке.

Ощущение заинтересованности учеников в изучении предмета также снижает риск возникновения компонентов выгорания: эмоционального истощения (r = -0.369 при p < 0.001), деперсонализации (r = -0.281 при p < 0.001), редукции профессиональных достижений (r = -0.227 при p = 0.006), выгорания (ПВ) (r = -0.364 при p < 0.001), способствует повышению энтузиазма (r = 0.285 при р < 0.001), поглощенности (r = 0.267 при p = 0.001), вовлеченности (r = 0.245 при p = 0.003).

Поведение учеников на уроках действует подобным образом. Примерное поведение снижает риск эмоционального истощения (r = - 0.333 при p < 0.001), деперсонализации (r = -0.376 при p < 0.001), редукции профессиональных достижений (r = -0.245 при p = 0.003), выгорания в целом (ПВ) (r = -0.420 при p < 0.001). Создаются условия для проявления энергичности (r = 0.317 при p < 0.001), энтузиазма (r = 0.392 при p < 0.001), поглощенности (r = 0.319 при p < 0.001), вовлеченности в целом (ПВл) (r = 0.366 при p < 0.001).

В средствах массовой информации много сведений о конфликтных ситуациях, возникающих на почве межнациональных и межэтнических отношений. В свободных беседах с учителями в определенной степени была подтверждена эта информация. В связи с этим в опросник был включен пункт на выяснение степени влияния данной проблемы на психическое состояние педагогов. В большинстве случаев отмечено отсутствие информации о конфликтах среди учащихся (42,4%), а также отсутствие причин и высокий дух интернационализма в учебном заведении (44%). В 13,6% случаев отмечается наличие данной проблемы. Результаты математического анализа показали, что в учебных заведениях, где имеет место дух интернационализма, отсутствуют межнациональные конфликты, снижаются показатели выгорания и создаются предпосылки для профессиональной вовлеченности, отмечается связь с деперсонализацией (r = -0.172 при p = 0.028), редукцией профессиональных достижений (r = -0.173 при p = 0.027), выгоранием (ПВ) (r = 0.201 при p = 0.012), энтузиазмом (r = 0.252 при p = 0.002), поглощенностью (r = 0.209 при p = 0.01), вовлеченностью (ПВл) (r = 0.184 при p = 0.02).

Важнейшим направлением работы с кадрами являются оценочные мероприятия, которые являются отправной точкой стимулирования деятельности любого специалиста и должны восприниматься как объективные и справедливые. Важную роль в этом вопросе играет аттестация. В связи с этим в опросник были включены пункты, направленные на выяснение фактов проведения и доведения результатов аттестационной комиссии до педагогов, а также субъективной оценки справедливости итоговых заключений. В 65,6% преподаватели четко представляют себе заключения о своих достижениях и перспективах развития по результатам работы аттестационных комиссий. В 20% знают, что решение есть, но не представляют содержания заключения. В 14,4% случаев преподаватели не имеют представления о факте проведения комиссий. Степень осведомленности о факте оценочных мероприятий связан с показателями выгорания и вовлеченности: с деперсонализацией (r = -0.260 при p = 0.002), редукцией профессиональных достижений (r = -0.305 при p < 0.001), энергичностью (r = 0.256 при p = 0.002), энтузиазмом (r = 0.148 при p = 0.05), поглощенностью (r = 0.190 при p = 0.017), вовлеченностью (ПВл) (r = 0.232 при p = 0.005).

Также была получена информация о характере политики в области поощрений и взысканий. 58 педагогов указали, что в предыдущем учебном году были отмечены благодарностью, причем 19 человек имели их 3 и более. Выговоры получили 15 человек, из них 3 имели 3 и более. Количество благодарностей никоим образом не оказало влияния на показатели выгорания и вовлеченности, тогда как практика применения наказания показала себя мощным демотивирующим фактором и имеет следующие связи: с эмоциональным истощением (r = 0.159 при p = 0.038), деперсонализацией (r = 0.291 при p < 0.001), редукцией профессиональных достижений (r = 0.188 при p = 0.018), выгоранием (ПВ) (r = 0.298 при p < 0.005), энергичностью (r = -0.227 при p = 0.028), энтузиазмом (r = -0.183 при p = 0.021), поглощенностью (r = -0.179 при p = 0.023), вовлеченностью (ПВл) (r = -0.213 при p = 0.008).

Важным инструментом влияния на психическое состояние сотрудников является стиль управления организацией. По итогам исследования можно сделать вывод, что в педагогическом коллективе показан коллегиальный стиль ввиду положительного влияния на показатели вовлеченности и тормозящего влияния на развитие выгорания. Результаты групповой оценки (средневзвешенная оценка одного руководителя группой учителей одной общеобразовательной организации) коллегиального стиля и его связи с исследуемыми переменными следующие: с эмоциональным истощением — r = -0.250 при p = 0.003, деперсонализацией — r = -0.560  при p < 0.001, редукцией профессиональных достижений — r = -0.281 при p <0.001, выгоранием (ПВ) — r = -0.441 при p < 0.001, энтузиазмом — r = 0.332 при p < 0.001, поглощенностью — r = 0.307 при p < 0.001, вовлеченностью — r = 0.267 при p = 0.002.

Директивный стиль, напротив, является фактором развития выгорания и препятствует профессиональной вовлеченности. Проявились связи со всеми переменными, за исключением эмоционального истощения: с деперсонализацией (r = 0.498 при p < 0.001), редукцией профессиональных достижений (r = 0.310 при p < 0.001), выгоранием (ПВ) (r = 0.394 при p < 0.001), энергичностью (r = -0.156 при p = 0.048), энтузиазмом (r = -0.216 при p = 0.01), поглощенностью (r = -0.253 при p = 0.003), вовлеченностью (ПВл) (r = -0.220 при p = 0.003).

Несколько более слабый отрицательный эффект имеет попустительский стиль управления. Выявлены следующие связи: с эмоциональным истощением — r = 0.196 при p = 0.018, деперсонализацией — r = 0.310 при p < 0.001, выгоранием (ПВ) — r = 0.227 при p = 0.007, энтузиазмом — r = -0.269 при p = 0.002, поглощенностью — r = -0.162 при p = 0.042.

В ходе исследования были приняты во внимание такие характеристики, как объективные оценки заработной платы и ее соотношение со средней по региону.

Первый и второй показатели оказались мощным универсальным мотивирующим фактором. Абсолютная величина зарплаты связана с изучаемыми переменными следующим образом: с эмоциональным истощением — r = -0.201 при p = 0.012, деперсонализацией — r = -0.448 при p < 0.001, редукцией профессиональных достижений — r = -0.237 при p = 0.004, выгоранием (ПВ) — r = -0.346 при p < 0.001, энтузиазмом — r = 0.239 при p = 0.004, поглощенностью — r = 0.252 при p = 0.002, вовлеченностью (ПВл) — r = 0.195 при p = 0.014.

Отношение к средней зарплате по региону связано с эмоциональным истощением (r = -0.206 при p = 0.011), профессиональным цинизмом (r = -0.351 при p < 0.001), редукцией профессиональных достижений (r = -0.156 при p = 0.041), выгоранием (ПВ) (r = -0.270 при p = 0.001), энтузиазмом (r = 0.165 при p = 0.033), поглощенностью (r = 0.210 при p = 0.009).

Мощным универсальным мотивирующим фактором являются успехи организации. В качестве показателей успешности взяты отзывы о школе и результаты сдачи ЕГЭ, где в расчет ложится процент школ в целом по России, показавших лучшие или худшие результаты. Ожидаемыми являются следующие результаты, подтверждающие утверждение о том, что работа в успешной организации уже является вознаграждением и значимым стимулом для развития и профессионального роста. Положительные отзывы о школе в сети Интернет имеют следующие взаимосвязи: с эмоциональным истощением — r = -0.306 при p < 0.001, деперсонализацией — r = -0.470 при p < 0.001, редукцией профессиональных достижений — r = -0.235 при p = 0.004, выгоранием (ПВ) — r = -0.422 при p < 0.001, энергичностью — r = 0.259 при p = 0.002, энтузиазмом — r = 0.329 при p < 0.001, поглощенностью — r = 0.370 при p < 0.001, вовлеченностью (ПВл) — r = 0.370 при p < 0.001.

Взаимосвязь успехов выпускников при сдаче ЕГЭ и показателями выгорания и вовлеченности: с деперсонализацией — r = -0.491 при p < 0.001, редукцией профессиональных достижений — r = -0.364 при p < 0.001, выгоранием (ПВ) — r = -0.429 при p < 0.001, энергичностью — r = 0.256 при p = 0.009, энтузиазмом — r = 0.341 при p < 0.001, поглощенностью — r = 0.355 при p < 0.001, вовлеченностью (ПВл) — r = 0.347 при p < 0.001.

Обсуждение результатов

Результаты исследования не только подтверждают ранее полученные результаты в области изучения синдрома выгорания в исследуемом профессиональном сообществе, но и в значительной степени обогащают представление о механизмах его проявления. Гипотеза о том, что организация деятельности педагога, не учитывающая его базовые потребности в безопасности и уважении, создает предпосылки проявления синдрома выгорания, подтверждена. Отсутствие возможности реализации потребности в развитии и самореализации активизирует деструктивное изменение состояния, трансформируя профессиональную вовлеченность педагога в синдром выгорания. Необходимость решения несвойственных для деятельности педагога задач, некачественное планирование расписания, неоптимальное количество учеников в классе, отсутствующая или слабая работа в области оценки персонала, практики поощрений, отсутствие хорошей учебной базы создают предпосылки проявления синдрома выгорания. Наличие реальных достижений в профессиональной деятельности: хорошая успеваемость, учеников, заинтересованность предметом, адекватная оценка деятельности руководством, возможность профессионального совершенствования, — обеспечивают проявления профессиональной вовлеченности. Данные исследования показывают направления организационных изменений, позволяющих в значительной степени снизить вероятность профессионального выгорания педагогов. Их можно условно разделить на два блока.

Блок № 1, предусматривающий профилактические мероприятия, направленные на предупреждение выгорания и его элементов.

В первую очередь необходимо обеспечить соблюдение требований законодательства РФ в области внеочередного обеспечения жилыми помещениями по договорам социального найма и специализированного жилищного фонда, материально-технического обеспечения учебного процесса. Обеспечить финансирование общеобразовательных организаций с учетом затрат на современную оргтехнику, оснащение специализированными кабинетами и поддержание их работоспособности.

Полученные результаты говорят о насущной необходимости оптимизации руководящих документов, предусматривающих объем приема, передачи информации, документирование методических, дидактических документов, объем отчетности педагога. Педагоги очень сильно переживают возложение на них несвойственных функций в виде дежурства, уборки, восстановления мебели, поддержания работоспособности оборудования, что в принципе не допускается законодательством.

Необходимо создавать комфортные условия для работы, желательно предоставлять преподавателю специализированный кабинет для проведения занятий с удобной планировкой, комфортным микроклиматом и освещением. Для каждого педагога необходимо предусмотреть персональное место (пространство) с возможностью длительного хранения рабочих материалов, личных вещей, верхней одежды.

В общеобразовательной организации необходимо рациональное планирование занятий, максимально учитывающее интересы педагога. «Окна» между занятиями следует предусматривать только для взаимного посещения занятий и обмена опытом. В расписании должен быть выделен методический день для совершенствования педагогического мастерства, необходимо учитывать психологический настрой педагога при чередовании параллелей и классов. Материально-технические условия должны обеспечивать равный доступ учителей-предметников к материально-технической базе обучения и техническим средствам. В организации должны быть открытые, развитые коммуникации, позволяющие в кратчайшие сроки получать необходимую административную и учебную информацию, а также передавать свою, содержащую проблемные вопросы и обоснованные запросы. При организации деятельности следует четко ставить задачи с соблюдением требований законодательства РФ, а также материального, информационного и административного обеспечения порученного задания. Необходимо избегать категоричности, поспешных выводов в работе с подчиненными, оставлять им шанс исправить допущенные ошибки. При оценке результатов деятельности педагога нужно быть максимально объективным, учитывать начальные условия, компетентность, опыт и другие факторы. Надо постоянно находить повод хвалить педагога, система поощрений должна быть привязана к конкретным результатам деятельности и быть справедливой с точки зрения вклада педагога в учебный процесс и развитие организации. Критикуя, не следует переходить на личные оценки, критика должна быть по существу и конструктивной, относительно дела, поступка и с предложением путей исправления. Критикуя, нельзя переносить оценки на весь коллектив. Помимо критики необходимо говорить о том, как целесообразнее исправить ошибки и выйти из ситуации. Руководителю необходимо быть сдержанным, уметь управлять собой в ярких эмоциональных ситуациях, соблюдать равенство в психологическом статусе с подчиненным и быть примером для него.

Блок № 2, предусматривающий мотивирующие на развитие направления работы, обеспечивающие развитие профессиональной вовлеченности и ее элементов.

В учебном заведении должны быть согласованы и приняты общие подходы к подготовке, развитию, профессиональному совершенствованию, оценке, стимулированию, карьерному продвижению педагогов, стратегии взаимоотношений с участниками отношений в сфере образования.

На региональном уровне необходимо проведение регулярных конференций по обмену опытом педагогов-предметников как в очном режиме, так и с возможностью демонстрации в дистанционном формате во всех образовательных организациях региона. К докладам, мастер-классам должны привлекаться лучшие преподаватели, имеющие высокие оценки как по объективным результатам деятельности (результаты ЕГЭ, олимпиад), так и субъективным (например, положительные отзывы учеников и родителей).

Рекомендуется плановое проведение открытых уроков с дальнейшим обсуждением положительных сторон, достижений, инноваций, находок и открытий педагога. Для снижения психологической нагрузки на педагога и учеников желательно использовать видеотрансляцию (видеозапись) высокого качества. Результативность и активность педагогов в вопросах профессионального совершенствования должны найти отражение в системе стимулирования (Сечко и др., 2023).

Заключение

Таким образом, профессиональное выгорание является ответом психики на длительную профессиональную ситуацию, наполненную стресс-факторами широкого спектра, включающего в себя в том числе и проблемы организационного плана. Неоправдавыющиеся ожидания педагога в сфере условий деятельности: рабочей нагрузки, оснащения, планирования, удовлетворения потребностей в принятии, уважении, возможностей профессионального развития, творчества, — вызывают негативные эмоциональные реакции, закрепляющиеся в длительном состоянии выгорания. Многие иллюзии, характерные для первоначального состояния профессиональной вовлеченности, редуцируются, трудовой процесс превращается в рутину.

В работе подтвердились многие выводы исследователей выгорания у представителей педагогического труда, а также получены данные, ранее не рассматриваемые, как, например, причины синдрома выгорания организационного плана.

Оказывается, наилучшим средством формирования профессиональной вовлеченности отдельно взятого педагога является сам результат его деятельности, а также всего педагогического коллектива. Организация рутинной работы с минимальной нагрузкой на учителей, возможность заниматься учебной работой не только с контролем учебного процесса, но достаточной степенью свободы для творчества, внедрение эффективных методов обучения дают высокие показатели в результатах обучения (ЕГ) и повышают качество отзывов об учебной организации. Именно они в наибольшей степени положительно связаны с профессиональной вовлеченностью и отрицательно — с выгоранием и его элементами. В этом случае формируется положительный, привлекательный для педагога имидж организации, определяющий престижность деятельности.

Кроме того, престиж деятельности педагога во многом определяется отношением общества к этой профессии в виде зарплаты и в большей мере влияет на предупреждение выгорания, в некоторой степени стимулируя энтузиазм и поглощенность деятельностью.

Неудовлетворительная организация мероприятий по оценке деятельности педагога при ее формальном проведении и без доведения результатов до самих педагогов в первую очередь обостряет чувство профессионального цинизма и ощущение ненужности своей работы, а также снижает чувство самоэффективности. Профессиональная вовлеченность при этом в значительной степени снижается по всем параметрам.

Еще одним мощным фактором, стимулирующим движение в континууме «выгорание-вовлеченность», является стиль руководства педагогическим коллективом, где показан демократический стиль, а самым непродуктивным с точки зрения влияния на состояние педагогов является авторитарный.

К сожалению, выявлены переменные, которые в большей степени обусловлены демографическими, экономическими возможностями района, региона, обслуживаемого общеобразовательной организацией. Среди них нехватка учителей, малое или избыточное количество учеников, отсутствие средств на организацию учебной деятельности с началом в утренние часы, нехватка аудиторий, современных технических средств обучения, дополнительные, не соответствующие требованиям к должности обязанности. И это далеко не полный перечень переменных, в значительной степени снижающих интерес к педагогической деятельности и провоцирующих состояние профессионального выгорания.

Результаты работы могут стать основой для дальнейших исследований в области изучения синдрома выгорания и профессиональной вовлеченности, а также достоянием организаторов учебной деятельности в общеобразовательных организациях, ориентиром для совершенствования организационной работы в педагогическом коллективе. Перспектива изучения данной проблемы видится в раскрытии специфики организационных условий в городских и сельских общеобразовательных организациях, а также субъектах РФ, где на менталитет педагогов оказывают влияние национальные, этнические, религиозные и иные традиции. Дальнейшее развитие представления об изучаемых феноменах полезно дополнить результатами формирующих экспериментов.

Ограничения. Представленные результаты по методу К.А. Отдельновой для пилотных исследований соответствует уровню значимости p ≤ 0.01, и p ≤ 0.05 — для исследований средней точности. В исследовании затронуты чувствительные вопросы оценки деятельности руководителя организации, поэтому оно проводилось анонимно. В ряде случаев было отказано в предоставлении исследовательских данных некоторыми общеобразовательными организациями.

Limitations. The presented results using K.A. Otdelnova's method for pilot studies correspond to a p ≤ 0.01 level of significance and a p ≤ 0.05 level of significance for studies with medium accuracy. The study addresses sensitive issues related to the evaluation of an organization's leadership, which is why it was conducted anonymously. In some cases, certain educational institutions refused to provide research data.

Литература

  1. Березина, Т.Н., Деулин, Д.В., Сечко, А.В., Розенова, М.И. (2023). Взаимосвязь профессионального выгорания с показателями возраста и характеристиками образовательной среды. Психология и право, 13(3), 193—210. https: //doi.org/ 10.17759/psylaw.2023130314
    Berezina, T.N., Deulin, D.V., Sechko, A.V., Rozenova, M.I. (2023). The Relationship of Professional Burnout with Age Indicators and Educational Characteristics. Psychology and Law, 13(3), 193—210. (In Russ.). https: //doi.org/10.17759/psylaw.2023130314
  2. Березина, Т.Н., Сечко, А.В, Деулин, Д.В., Розенова, М.И. (2025). Влияние безопасности образовательной среды на профессиональное выгорание учителей. Перспективы науки и образования, 1, 692—703. https://doi.org/10.32744/pse.2025.1.44
    Berezina, T.N., Sechko, A.V., Deulin, D.V., Rosenova, M.I. (2025). Impact of safety in the educational environment on professional burnout among teachers. Perspectives of Science and Education, 73(1), 692—703. (In Russ.). https://doi.org/10.32744/pse.2025.1.44
  3. Василюк, Ф.Е. (1984). Психология переживания: Анализ преодоления критических ситуаций. М. : Изд-во МГУ.
    Vasilyuk, F.E. (1984). Psychology of Experience: Analysis of Overcoming Critical Situations. Moscow: Moscow State University Press. (In Russ.).
  4. Водопьянова, Н.Е., Голина, Л.Н. (2018). Анализ проблемы профессионально-личностных деформаций и выгорания учителей вечерних школ. Психология XXI века: психология как наука, искусство и призвание: Сборник научных трудов участников международной научной конференции молодых ученых: в двух томах. СПб.: Изд-во «Издательство ВВМ».
    Vodopyanova, N.E., Golina, L.N. (2018). Analysis of the Problem of Professional and Personal Deformations and Burnout of Teachers of Evening Schools. Psychology of the 21st Century: Psychology as a Science, Art, and Calling: Collection of Scientific Papers by Participants of the International Scientific Conference of Young Scientists: In Two Volumes. St. Petersburg: VVM Publishing House. (In Russ.).
  5. Водопьянова, Н.Е., Старченкова, Е.С. (2019). Синдром выгорания. Диагностика и профилактика: Практическое пособие. М.: Юрайт
    Vopyyanova, N.E., Starchenkova, E.S. (2019). Burnout. Diagnosis and Prevention: practical tools. M. Yurait. (In Russ.).
  6. Коновальчук, А.Н. (2008). Синдром эмоционального выгорания и его профилактика в профессиональной деятельности городских и сельских учителей: Автореф. дис. ... канд. психол. наук. Нижний Новгород.
    Konovalchuk, A.N. (2008). Emotional Burnout Syndrome and Its Prevention in the Professional Activities of Urban and Rural Teachers: Exstended abstr. Diss. Cand. Sci. (Psychol.). Nizhny Novgorod. (In Russ.).
  7. Коротун, Н.П., Водопьянова, Н.Е. (2024). От профессионального неблагополучия к выгоранию сотрудников сферы обслуживания с позиций ресурсного подхода. Вестник Тверского государственного университета, 68(3), 49—61. https://doi.org/5.10.26456/vtpsyped/2024.3.049
    Korotun, N.P., Vodopyanova, N.E. (2024). From professional distress to burnout of service sector employees from the perspective of a resource approach. Bulletin of Tver State University, 68(3), 49—61. (In Russ.). https://doi.org/5.10.26456/vtpsyped/2024.3.049
  8. Кочетков, Н.В., Маринова, Т.Ю., Орлов, В.А. и др. (2023). Актуальные зарубежные исследования профессионального выгорания у учителей. Современная зарубежная психология, 12(2), 43—52. https://doi.org/10.17759/ jmfp.2023120204
    Kochetkov, N.V., Marinova, T.Yu., Orlov V.A., et al. (2023). Current Foreign Research on Professional Burnout in Teachers. Modern Foreign Psychology, 12(2), 43—52. (In Russ.). https: doi.org/ 10.17759/ jmfp.2023120204
  9. Кутузова, Д.А. (2006). Организация деятельности и стиль саморегуляции как факторы профессионального выгорания педагога-психолога: Дис. ... канд. психол. наук. М.
    Kutuzova, D.A. (2006). Organization of Activity and Self-Regulation Style as Factors of Professional Burnout in a Psychologist-Teacher: Diss. Cand. Sci. (Psychol.). Moscow. (In Russ.).
  10. Наличаева, С.А. (2011). Самоактуализационный потенциал личности как детерминанта профессионального выгорания педагогов: Дис. ...канд. психол. наук. М.
    Nalichaeva, S.A. (2011). Self-Actualization Potential of Personality as a Determinant of Professional Burnout in Teachers: Diss. Cand. Sci. (Psychol.). Moscow. (In Russ.).
  11. Прохоров, А.О. (2005). Саморегуляция психических состояний: феноменология, механизмы, закономерности: Монография. М. Изд-во Пер Сэ.
    Prokhorov, A.O. (2005). Self-Regulation of Mental States: Phenomenology, Mechanisms, and Patterns: Monograph. Moscow: Per Se Publishing House. (In Russ.).
  12. Рукавишников, А.А. (2001). Личностные детерминанты и организационные факторы генезиса психического выгорания у педагогов: Дис. ... канд. психол. наук. Ярославль.
    Rukavishnikov, A.A. (2001). Personal Determinants and Organizational Factors of the Genesis of Mental Burnout in Teachers: Diss. Cand. Sci. (Psychol.). Yaroslavl. (In Russ.).
  13. Сечко, А.В. (2022а). Превенция синдрома выгорания в образовательной среде: теоретическое обоснование и практические методы. В: Психологическая безопасность образовательной среды: проблемы, ресурсы, профилактика (с. 240—260). М.: Русайнс.
    Sechko, A.V. (2022a). Prevention of Burnout Syndrome in the Educational Environment: Theoretical Justification and Practical Methods. In: Psychological Safety of the Educational Environment: Problems, Resources, and Prevention (pp. 240—260). Moscow: Rusains Publishing House. (In Russ.).
  14. Сечко, А.В. (2022б). Проблемы превенции синдрома выгорания в образовательной среде. В: Экстремальная психология в экстремальном мире: Материалы II Международного научного форума (с. 132—137). М.: Изд-во МГППУ.
    Sechko, A.V. (2022b). Problems of Prevention of Burnout Syndrome in the Educational Environment. In: Extreme Psychology in an Extreme World: Proceedings of the II International Scientific Forum (pp. 132—137). Moscow: MGPPU Publishing House. (In Russ.).
  15. Сечко, А.В., Леонгардт, О.Р. (2018) Профессиональная вовлеченность педагогов в системе психологических взглядов. Психология обучения, 5, 104—113.
    Sechko, A.V., Leongardt, O.R. (2018). Professional Engagement of Teachers in the System of Psychological Views. Psychology of Learning, 5, 104—113. (In Russ.).
  16. Сечко, А.В. и др. (2023). Социально-психологическая технология профилактики и преодоления профессионального выгорания у педагогов общеобразовательных организаций: монография. М: Русайнс.
    Sechko A.V. et al. (2023). Social and Psychological Technology for Preventing and Overcoming Professional Burnout in Teachers of General Education Organizations: Monograph. Moscow: Rusains. (In Russ.).
  17. Сюртукова, Е.Ю. (2014). Организационные и личностные детерминанты психического выгорания в деятельности педагогов дошкольных образовательных учреждений: Дис. ... канд. психол. наук. Ярославль.
    Surtukova, E.Yu. (2014). Organizational and Personal Determinants of Mental Burnout in the Activities of Preschool Teachers: Diss. Cand. Sci. (Psychol.). Yaroslavl. (In Russ.).
  18. Alexander-Stamatios, A., Kyriaki, P., Garyfalia, C., Anastasia, A. (2022). Profiles of Teachers’ Work Engagement in Special Education: The Impact of Burnout and Job Satisfaction. International Journal of Disability, Development and Education, 37(2), 1—18. https://doi.org/10.1080/1034912x.2022.2144810
  19. Arvidsson, I., Leo, U., Larsson, A., Hakansson, C., Persson, R., Björk, J. (2019). Burnout among school teachers: Quantitative and qualitative results from a follow-up study in southern Sweden. BMC Public Health, 19, 13. https://doi.org/10.1186/s12889-019-6972-1
  20. Klastová Pappová, P. (2021). Phenomenology of burnout syndrome: a long journey from burning out to recovery. Bulletin of Kazakh National Women's Teacher Training University, 4, 65—72. https://doi.org/10.52512/2306-5079-2021-88-4-65-72
  21. Martínez, J.P., Méndez, I., Ruiz-Esteban, C., Fernández-Sogorb, A., García-Fernández, J.M. (2020). Profiles of Burnout, Coping Strategies and Depressive Symptomatology. Frontiers in Psychology, 11, 591. (In Russ.). https://doi.org/10.3389/fpsyg.2020.00591
  22. Maslach, C., Jackson, S.E., Leiter, M.P. (1996). Maslach Burnout Inventory Manual. California: CPP, Inc.
  23. Maslach, С., Jackson, S.E. (1981). The measurement of experienced burnout. Journal of Occupational Behaviour, 2, 99—113. https://doi.org/10.1002/job.4030020205
  24. Maslach, C., Schaufeli, W.B. Leiter, M.P. (2001). Job burnout. Annual Review of Psychology, 397—422. https://doi.org/10.1146/annurev.psych.52.1.397
  25. Mijakoski, D. et al. (2022). Determinants of Burnout among Teachers: A Systematic Review of Longitudinal Studies. International Journal of Environmental Research and Public Health, 19(9), 48. https://doi.org/10.3390/ijerph19095776
  26. Schaufeli, W.B., Bakker, A.B. (2004). Job demands, job resources, and their relationship with burnout and engagement: A multi-sample study. Journal of organizational Behavior, 25(3), 293—315. https://doi.org/10.1002/job.248

Информация об авторах

Александр Владимирович Сечко, кандидат психологических наук, доцент, доцент, кафедра научных основ экстремальной психологии, факультет экстремальной психологии, Московский государственный психолого-педагогический университет (ФГБОУ ВО МГППУ), Москва, Российская Федерация, ORCID: https://orcid.org/0000-0001-6870-1055, e-mail: setschko@yandex.ru

Конфликт интересов

Автор заявляет об отсутствии конфликта интересов.

Декларация об этике

Исследование было рассмотрено и одобрено Этической комиссией Ученого совета факультета «Экстремальная психология» ФГБОУ ВО «Московский государственный психолого-педагогический университет» (протокола № 12 от 23.12.2025).

Метрики

 Просмотров web

За все время: 155
В прошлом месяце: 104
В текущем месяце: 43

 Скачиваний PDF

За все время: 33
В прошлом месяце: 17
В текущем месяце: 12

 Всего

За все время: 188
В прошлом месяце: 121
В текущем месяце: 55