Влияние материализма на удовлетворенность жизнью: медиативная роль финансового стресса

 
Аудио генерируется искусственным интеллектом
 25 мин. чтения

Резюме

Контекст и актуальность. Представлено исследование влияния материальных ценностей на удовлетворенность уровнем жизни и жизнью в целом, обусловленное финансовым стрессом. Цель работы: изучение роли финансового стресса в объяснении природы отрицательной связи между материализмом и удовлетворенностью жизни в целом. Гипотеза. Эмпирически проверяется предположение о том, что материалисты острее, чем нематериалисты, переживают финансовый стресс, который, вероятно, приводит к неудовлетворенности уровнем жизни, что, в свою очередь, снижает удовлетворенность жизнью в целом. Методы и материалы. Объем выборки составил 200 респондентов (51% женщин и 49% мужчин). Возраст респондентов — от 17 до 59 лет, со средним значением 38,5 года. Использовались следующие методики: краткая версия опросника ценностного материализма (Хащенко, Хащенко, 2023); краткая версия опросника удовлетворенности жизнью (Хащенко, Баранова, 2002); авторские приемы оценки финансового стресса и удовлетворенности уровнем жизни. Результаты. Материализм усиливает переживание финансового стресса, что проявляется в возрастании ощущения недостаточности финансовых средств, в том числе в ближайшем будущем, переживании тревоги и нужды в деньгах. Оценка удовлетворенности уровнем жизни у материалистов зависит от осознания финансовых затруднений и тревоги, вызванных недостатком денег, которые обусловливают снижение удовлетворенности жизнью в целом. Выводы. Результаты демонстрируют медиативную роль финансового стресса в усилении переживания чувства субъективного неблагополучия у материалистов, посредством когнитивного и аффективного механизмов восприятия финансовой ситуации: оценки недостатка финансовых средств и переживания тревоги вследствие желания повысить свои доходы.

Общая информация

Ключевые слова: материализм, финансовый стресс, удовлетворенность жизнью, уровень жизни, субъективное благополучие, ценности

Рубрика издания: Социальная психология

Тип материала: научная статья

DOI: https://doi.org/10.17759/exppsy.2025180411

Поступила в редакцию 13.08.2025

Поступила после рецензирования 05.11.2025

Принята к публикации

Опубликована

Для цитаты: Хащенко, В.А., Хащенко, Н.Н. (2025). Влияние материализма на удовлетворенность жизнью: медиативная роль финансового стресса. Экспериментальная психология, 18(4), 178–193. https://doi.org/10.17759/exppsy.2025180411

© Хащенко В.А., Хащенко Н.Н., 2025

Лицензия: CC BY-NC 4.0

Полный текст

Введение

В современной науке доминирует мнение о сложном характере взаимосвязи между материализмом и удовлетворенностью жизнью по причине опосредованности ее разными группами переменных: демографическими (пол, возраст, образование), культурно-экономическими (религиозные убеждения, культурные ценности, социально-экономическое неравенство), особенностями ранней социализации (поддержка материалистических ценностей и эмоциональной автономии, финансовые трудности), а также психологическими переменными ‒ удовлетворенностью базовых потребностей (в автономии, компетентности и зависимости), самооценкой, экономической мотивацией и др. (Peiro, 2006; Delhey, 2010; Dittmar et al., 2014; Yoo et al., 2020). Тем не менее, анализ результатов многочисленных исследований, проведенных в разных странах, указывает на прямой негативный эффект влияния материализма на удовлетворенность жизнью (Dittmar et al., 2014). Если материализм негативно влияет на качество жизни, то какой опосредующий механизм делает материализм негативным фактором в восприятии людьми удовлетворенности жизнью? В данном исследовании фиксируется внимание на роли, которую играет финансовый стресс в определении негативной природы этой связи.

По мнению ряда ученых, материализм как стремление к обладанию материальными благами и удовлетворенность жизнью тесно связаны между собой, причем стресс играет ключевую роль в этой взаимосвязи. Высокий уровень материализма часто сопряжен с повышенным стрессом, который может негативно влиять на удовлетворенность жизнью (Mochis et al., 2013). Одна из гипотез, которая проверяется в нашем исследовании, заключается в том, что материалистам свойствен более высокий уровень переживания финансового стресса, чем нематериалистам, в силу их материальных устремлений, что, в свою очередь, делает их более уязвимыми к негативным последствиям финансовых трудностей. Финансовый стресс, прежде всего, вызывает у них чувство неудовлетворенности материальной стороной жизни, что может перерастать в неудовлетворенность жизнью в целом. При этом углубление финансового стресса характеризуется возрастанием негативных эмоциональных состояний, что, вероятно, снижает общую удовлетворенность жизнью.

В статье представлены результаты изучения роли финансового стресса в качестве опосредующего механизма негативных отношений между материализмом и удовлетворенностью жизнью. Исследование способствует пониманию психологических механизмов, объясняющих природу отрицательной связи между материализмом и удовлетворенностью жизнью, о которой сообщалось в работах, проведенных во многих странах.

Концептуальные основания исследования

Несмотря на то, что большинство исследований выявляют наличие прямой отрицательной связи между материализмом и благополучием, недостаточно теоретических подходов, поддерживающих идею о том, почему материализм оказывает прямое негативное воздействие на благополучие человека и какой опосредующий механизм делает материализм негативным фактором в восприятии людьми их удовлетворенности жизнью (Tsang et al., 2014).

Среди существующих концептуальных объяснений можно упомянуть ценностную теорию, акцентирующую внимание на механизмах интерактивного влияния ценности материализма и других ценностей на субъективное благополучие человека. В ее рамках установлено, что взаимодействие материализма и коллективно-ориентированных ценностей порождает конфликт ценностей в форме состояния стресса и тревоги, редуцирующих чувство благополучия у человека (Burroughs, Rindfleisch, 2002). Материалисты чаще имеют более низкий уровень личного благополучия из-за более низкого качества межличностных отношений, т. е. материализм как ценность противостоит благополучию в отношениях (Kasser, 2016). Однако эффекты взаимодействия материализма и иных ценностей могут модерировать и позитивный характер его влияния на удовлетворенность жизнью, если материальные ценности интегрируются с ценностями развития и личностного роста (Хащенко, Хащенко, 2023), а также отражают в целом более высокий уровень социальной адаптации к окружающей среде (Larsen et al., 1999; Manchiraju, Krizan, 2015) вследствие более высокого уровня экономической мотивации (Sirgy et al., 2013). Предложено новое, более широкое и лаконичное понимание материализма как степени, с которой индивиды конструируют и поддерживают себя (самооценку) посредством приобретения и использования материальных ценностей, воспринимаемых как представляющие желаемую символическую ценность. Это понимание допускает, что материализм как конструкт может иметь как негативные, так и позитивные последствия (Shrum et al., 2013).

Основываясь на теории самодетерминации, исследователи показали, что отрицательный характер отношений материализма и субъективного благополучия объясняется неудовлетворением базовых потребностей личности (Kasser et al., 2014; Tsang et al., 2014).

Отрицательная связь между материализмом и удовлетворенностью жизнью объясняется также когнитивными механизмами оценки материалистом удовлетворенности уровнем жизни. Материалисты используют завышенные (идеальные, незаслуженные или основанные на потребностях) стандарты оценивания, вследствие чего имеют более низкие оценки материальной стороны жизни. В то же время нематериалисты ориентируются на более реалистичные, основанные на имеющихся ресурсах, способностях, компетенциях, статусе и т.п. ожидания и, в свою очередь, более удовлетворены своей жизнью (Sirgy, 1998; Sirgy et al., 2013).

В нашей работе предложено иное объяснение этой связи. Мы предполагаем, что финансовый стресс является ключевым фактором снижения чувства субъективного благополучия у материалистов. Эта точка зрения основана на том факте, что материалисты чаще переживают психологический стресс: материалист имеет более высокую склонность сталкиваться с финансовыми трудностями и психологическим стрессом, которые отрицательно влияют на удовлетворенность жизнью (Mochis, Hosie, Vel, 2009). Материалистичные люди считают владение недвижимостью отражением жизненного успеха, покупка предметов роскоши делает их счастливыми, а покупка вещей сопровождается для них радостью. Если человек находится в неблагоприятном финансовом положении, его чаще преследуют финансовые трудности, он чувствует, что его жизнь плохо контролируется, он испытывает беспокойство из-за многочисленных финансовых проблем, с которыми он сталкивается. Вывод о том, что чем выше уровень материализма человека, тем сильнее его финансовый стресс, согласуется с данными исследований о значительном положительном влиянии на возникновение финансового стресса: чем выше уровень материализма человека, тем большее финансовое давление он переживает (Netemeyer et al., 2018; Ponchio et al., 2019). Высокий уровень материализма увеличивает финансовые проблемы или, другими словами, высокий уровень материализма увеличивает финансовый стресс (Matos et al., 2019). В то же время результаты ряда исследований не выявили прямой и однозначной связи между материализмом и финансовым стрессом. В них указывается, что влияние материализма на финансовое давление является косвенным и более сложным (Leavitt et al., 2019).

Стресс, возникая вследствие сильной потребности в материальных благах, зачастую сам мотивирует людей использовать материальное приобретение как копинг-механизм преодоления трудностей (Burroughs, Rinfleisch, Denton, 1997; Burroughs, Rinfleisch, 2002). Связь финансового стресса и материализма возникает в раннем возрасте как результат особенностей экономической социализации ребенка. Дети, выросшие в условиях материальной депривации, сталкивавшиеся в семейной жизни со стрессовыми финансовыми ситуациями, часто развивают компенсаторное потребительское поведение, начинают символически ценить деньги и, в конечном итоге, становятся материалистично ориентированными (McLanahan, Booth, 1989). Это влияет на самооценку их жизненных шансов и социальные ожидания, что побуждает их во взрослом возрасте придавать большее значение финансовой безопасности и материальным благам, которые символизируют успех и статус. (Burroughs, Rinfleisch, Denton, 1997). Стремление к материальным благам как цели в жизни не свободно от стресса, поскольку влечет восходящие социальные сравнения, постоянную фиксацию на приобретении имущества и богатства, чтобы не отстать от других.

Люди испытывают финансовый стресс и беспокойство, когда они ощущают недостаток материальных средств, у них отсутствуют денежные резервы и наличествуют невыплаты по кредиту (Osman, Madzlan, Phang, 2018). Финансовый стресс возникает и тогда, когда человек не может реализовать свои финансовые ресурсы (Friedline, Chen, Morrow, 2020; Ismail, Zaki, 2019), либо когда человек чувствует, что имеющихся у него ресурсов или способностей недостаточно для удовлетворения его текущего статуса или ожиданий, что угрожает его благополучию (Хащенко, Шибанова, 2005; Berjot, Gillet, 2011). Субъективно переживаемые экономические трудности, наряду с уровнем дохода, богатства и долгов, выступают наиболее значимыми аспектами жизни, которые влияют на субъективное благополучие человека (Friedline, Chen, Morrow, 2020). От стресса страдают межличностные и семейные отношения, индивидуальное здоровье человека. Результаты недавно проведенных исследований свидетельствуют, что финансовый стресс оказывает влияние одновременно и на субъективное экономическое благополучие, и на удовлетворенность жизни в целом (Min, Yoke, Feng, 2023; Witherspoon, 2017).

В нашем исследовании фокусируется внимание на ключевой роли финансового стресса в качестве механизма возникновения отрицательной связи между материализмом и удовлетворенностью жизнью. Проверяется гипотезы о том, что материалистичные люди острее переживают финансовый стресс, который, вероятно, способствует неудовлетворенности уровнем своей жизни, что, в свою очередь, приводит к неудовлетворенности жизнью в целом. Эти теоретические связи показаны в нашей модели (см. рис. 1) как гипотезы 1—5.

Рис. 1
Рис. 1. Концептуальная модель
Fig. 1. The conceptual model

Мы исходим из следующих предположений: материализм усиливает переживание финансового стресса, что проявляется в возрастании ощущения финансовых затруднений, состояния тревоги и обеспокоенности, связанных с потребностью повышения уровня доходов (гипотеза 1). В оценке удовлетворенности жизнью материалисты в большей мере полагаются на удовлетворенность материальным уровнем жизни, по сравнению с нематериалистами (гипотеза 2). Наша следующая гипотеза состоит в допущении, что чем больше человек чувствует неудовлетворенность своим уровнем жизни, тем выше вероятность, что он будет испытывать неудовлетворенность своей жизнью в целом (гипотеза 3). Финансовый стресс может обусловливать отрицательную связь материализма и удовлетворенности жизнью двумя разными путями. Первый, когнитивный механизм, предполагает, что ощущение недостатка финансовых средств, возможно, приведет к тому, что материалист будет не удовлетворен своим текущим уровнем жизни, что последовательно отрицательно влияет на оценку общей удовлетворенности жизнью (гипотеза 4). Второй, аффективный механизм влияния стресса предполагает, что негативные аффективные состояния тревоги, беспокойства, вызванные желанием повысить свои доходы, приводит к генерализованному эффекту дискомфорта, напряженности и неудовлетворенности в важных сферах жизни (семейная жизнь, межличностные отношения, здоровье и т. п.). Это, в свою очередь, негативно влияет у материалистов на общую удовлетворенность жизнью, снижая ее общий уровень (гипотеза 5). Таким образом, мы полагаем, что оба опосредующих механизма воздействия стресса инициируют снижение общей удовлетворенности жизнью вследствие материализма. В целом, данные гипотезы объясняют роль финансового стресса в качестве важного фактора отношений между материализмом и субъективным благополучием.

Материалы и методы

Выборка. Представленная концептуальная модель проверялась нами с помощью опроса жителей Москвы и Московской области. Опрос проводился в течение одного месяца, и анкета была распространена через Интернет среди целевых респондентов в июне 2023 года. Опрошено 200 респондентов, 51% женщин и 49% мужчин. Возраст респондентов составил от 17 до 59 лет, со средним значением 38,5 года.

Методики исследования

Материализм (M). Материализм концептуализируется как система ценностей, определяющая мотивацию и поведение человека, связанная с достижением личного успеха и благополучия в жизни. Материализм отражает центральное место, которое человек придает материальным благам (богатству, деньгам и их приобретению) для достижения желаемого в жизни, включая счастье, а также устойчивую веру в то, что данный мотивационный смысл является предпочтительным для его поведения или существования. Устремленность на достижение материальных благ фиксирует важность денег и их приобретения в качестве ведущего мотивационного смысла среди иных жизненных целей личности. В данном исследовании использовалась краткая версия опросника ценностного материализма (Хащенко, Хащенко, 2023). В основе концептуального измерения материализма — ценностно-мотивационная сфера личности по Ш. Шварцу. Респондентам предлагается оценить приоритет ценности финансовой выгоды в структуре базовых ценностей личности, таких как самостоятельность, благожелательность, универсализм и безопасность (см. приложение). В качестве шкалы измерения ответов респондентов использовалась пятибалльная шкала (1 = «совершенно не согласен», 5 = «полностью согласен»). В целях снижения ошибки измерения применялась процедура парцеллирования — показатели по четырем группам базовых ценностей суммировались. Эти группы использовались в последующем анализе.

Финансовый стресс. Финансовый стресс — это чувство подавленности или беспокойства по поводу финансового положения и неспособности эффективно управлять деньгами, чтобы выполнять финансовые обязательства и жить желаемой жизнью. Показатели измерения финансового стресса обычно включают тревогу по поводу текущего и будущего финансового положения, способности платить по обязательствам, финансовые проблемы (Netemeyer et al., 2018). В исследовании оценка финансового дистресса включала два измерения: 1) осознание выраженности финансовых затруднений — недостаточность финансовых ресурсов (ожидания относительно их роста) (FH), с использованием пятибалльной шкалы (1 = очень низкий, 5 = очень высокий); 2) оценку наличия тревоги, связанной с потребностью повышения уровня доходов в будущем (Anx) с использованием шестибалльной шкалы (где 0 = «не испытываю», 5 = «испытываю в очень большой степени») (см. Приложение).

Удовлетворенность уровнем жизни (SoL). Понятие удовлетворенности уровнем жизни рассматривалось как синонимичное с такими близкими конструктами, как удовлетворенность материальной жизнью, удовлетворенность финансовым положением и субъективное экономическое благополучие (Хащенко, 2012). Для измерения удовлетворенности уровнем жизни респондентов просили оценить удовлетворенность материальным, финансовым положением, а также жилищем их семьи по пятибалльной шкале (1 = «совершенно не удовлетворен», 5 = «полностью удовлетворен») (см. Приложение).

Удовлетворенность жизнью (Sal). Для измерения удовлетворенности жизнью была использована краткая версия опросника удовлетворенности жизнью (Хащенко, Баранова, 2002). Методика предполагает агрегированную оценку удовлетворенности жизнью по наиболее важным аспектам жизни: семья, межличностные отношения, безопасность, социально-экономические условия жизни — с использованием пятибалльной шкалы (1 = «совершенно не удовлетворен», 5 = «полностью удовлетворен»).

Статистические методы. Для обработки данных применялись процедуры описательной статистики, корреляционного, факторного и конфирматорного анализа, а также моделирование структурными уравнениями с использованием статистического пакета Jamovi 2.6.26.

Результаты

С целью проверки гипотез использовался двухэтапный подход к моделированию структурных уравнений (SEM) для отделения ошибок измерения от структурных. На первом этапе был проведен конфирматорный факторный анализ для выявления ошибок в модели измерения, включающей отношения между латентными переменными и их индикаторами. На втором — определялись ошибки в модели структурных уравнений, проверяющей отношения между эндогенными и экзогенными переменными. Таким образом, проблемы измерений изолировались от ошибок структурной спецификации.

Оценка модели измерения

Перед проведением подтверждающего факторного анализа (CFA) была проверена нормальность наблюдаемых переменных. Некоторые из переменных показали высокие значения асимметрии и эксцесса. Поэтому для анализа был применен метод оценки максимального правдоподобия (ML), который считается надежным даже при наличии высоко асимметричных и эксцессивных данных.

Оценка модели измерения, включающей пять конструктов, а именно материализм, финансовый стресс (финансовые затруднения и тревога), удовлетворенность уровнем жизни и удовлетворенность жизнью в целом, была смоделирована как свободно коррелирующие факторы первого порядка с отвечающими им показателями. Индексы соответствия показали близкое и адекватное соответствие модели эмпирическим данным (χ2/ df ≤ 2; RMSEA = 0,059 (0,36 ‒ 0,08); CFI = 0,98; TLI = 0,97; SRMR = 0,046). Для установления конструктной валидности использовались два ее вида — конвергентная и дискриминантная валидность. При оценке конвергентной валидности были рассмотрены четыре отдельные статистики: извлеченная средняя дисперсия (AVE), композитная надежность (CR), коэффициент надежности альфа Кронбаха и факторные нагрузки. Сводка результатов тестов конвергентной валидности (внутренней согласованности) для измеряемых конструктов с несколькими манифестными переменными (т. е. материализм, финансовый стресс и удовлетворенность жизнью) приведена в табл. 1.

Таблица 1 / Table 1

Результаты конвергентной валидности (N = 200)

Сonvergent validity results (N = 200)

Конструкты модели / Model constructs

ά Кронбаха

CR

AVE

Материализм / Materialism

0,962

0,973

0,901

Финансовый стресс / Financial stress

1. финансовые затруднения / Financial hardships

2. тревога, беспокойство за финансовое состояние / Anxiety, worry about financial situation

 

0,719

0,744

 

0,879

0,883

 

0,785

0,791

Удовлетворенность жизнью / Satisfaction life

0,701

0,767

0,525

Примечание: AVE — объясненная средняя дисперсия; CR — композитная надежность.

Note: AVE — average variance explained; CR — composite reliability.

Для подтверждения конвергентной валидности коэффициент AVE каждого конструкта должен быть больше 0,50, а составная надежность фактора должна быть равна или больше 0,60. Все значения AVE находились в диапазоне от 0,525 до 0,901. Композитная надежность конструктов была больше 0,60 с диапазоном 0,767—0,973. Аналогично, коэффициенты ά Кронбаха для переменных модели были приемлемыми и варьировали в диапазоне от 0,701 до 0,962, как и факторные нагрузки были значимыми на уровне <0,001. Все эти результаты подразумевают, что конвергентная валидность (внутренняя согласованность) для рассматриваемых конструктов была удовлетворительной.

При проверке дискриминантной валидности квадраты корреляций между любыми двумя конструктами модели сравнивались с их оценками AVE. Значения квадратов корреляций варьировали в диапазоне от 0,005 до 0,347. Дискриминантная валидность модели была поддержана, поскольку самый низкий в диапазоне оценок коэффициент AVE больше, чем квадрат корреляции между любыми конструктами.

Результаты структурного моделирования

Общая структурная модель была поддержана эмпирическими данными (N = 200; χ² = 65,7; d = 52, p = 0,095; RMSEA = 0,038 (0,00 – 0,064); CFI = 0,991; TLI = 0,986; SRMR = 0,037). Коэффициент R² для переменной «удовлетворенность жизнью» (Sal) составил 94,2%, что также свидетельствует о хорошем качестве модели.  Кроме того, все коэффициенты структурных отношений модели были значимыми (на уровне p ≤ 0,014) и в ожидаемом, согласно гипотезам, направлении (см. табл. 2 и диаграмму на рис. 2). См. также матрицу корреляций в Приложении.

Таблица 2 / Table 2

Параметры оценки структурных отношений (N = 200)

Parameters Path coefficients (N = 200)

Путь / Path

 ML est. (SD)

β

Z

 (p)

Материализм / Materialism → Sal

0,028 (0,024)

0,024

,360

0,719

Материализм / Materialism → Fh

‒0,149 (0,043)

‒0,294

‒3,429

<0,001

Материализм / Materialism → Anx

0,269 (0,088)

0,263

3,062

<0,001

SoL → Sal

0,549 (0,124)

0,487

4,417

0,002

Материализм / Materialism → SoL → Sal

0,097 (0,040)

0,085

2,451

0,014

Материализм / Materialism → FH → SoL → Sal

‒0,128 (0,050)

-0,111

‒2,550

0,011

Материализм / Materialism → Anx→ Sal

‒0,204 (0,082)

‒0,178

‒2,504

0,012

Anx→ Sal

‒0,085 (0,093)

‒0,085

‒,912

0,362

 Примечание: ML est. (SD) — нестандартизированные оценки максимального правдоподобия (стандартное отклонение); β — стандартизированные оценки максимального правдоподобия; SoL — удовлетворенность уровнем жизни; Sal — удовлетворенность жизнью в целом; Fh — финансовые затруднения; Anx ‒ тревога, обеспокоенность.

Note: ML est. (SD) — unstandardized maximum likelihood estimates (standard deviation); β — standardized maximum likelihood estimates; SoL — satisfaction with the standard of living; Sal — satisfaction with life in general; Fh — financial hardships; Anx — anxiety, worry.

Наша модель включает пять гипотез, каждая из которых поддержана значимыми коэффициентами:

Гипотеза 1. Материализм усиливает переживание финансового стресса, что проявляется в возрастании ощущения финансовых затруднений, состояния тревоги и обеспокоенности, связанных с потребностью повышения уровня доходов (β = ‒0,294; p < 0,001 — недостаточность финансовых средств, в том числе в ближайшем будущем; β = 0,263; р < 0,005 — переживание тревоги и нужды в деньгах).

Гипотеза 2. Материалисты в оценке удовлетворенности жизнью больше полагаются на удовлетворенность уровнем жизни, по сравнению с нематериалистами (β = 0,085; p = 0,014).

Гипотеза 3. Чем больше человек чувствует неудовлетворенность своим уровнем жизни, тем больше он, вероятно, будет чувствовать неудовлетворенность своей жизнью в целом (β = 0,487; p < 0,001).

Гипотеза 4. У материалистов, в отличие от нематериалистов, оценка удовлетворенности уровнем жизни зависит от осознания выраженности финансовых затруднений, что непосредственно снижает их удовлетворенность жизнью в целом (β = ‒0,111; p = 0,011).

Гипотеза 5. Ощущаемая материалистами тревога, вызванная недостатком денег, прямо снижает удовлетворенность жизнью в целом (β = ‒0,178, p = 0,012).

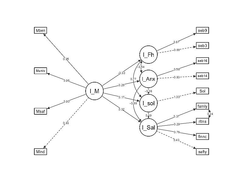
Рис. 2

Рис. 2. Модель пути (стандартизированные коэффициенты β): Латентные переменные: I_M — материализм, I_SoL — удовлетворенность уровнем жизни; I_Sal — удовлетворенность жизнью в целом; I_Fh — финансовые затруднения; I_Anx — тревога, обеспокоенность; в прямоугольниках — манифестные переменные

Fig. 2. Path Model (The β coefficients): Latent variables: I_M — materialism, I_SoL — satisfaction with standard of living; I_Sal — satisfaction with life in general; I_Fh — financial problem; I_Anx — anxiety, worry; in rectangles — manifest variables

Обращаем внимание, что в данной модели прямые эффекты влияния материализма, а также аффективного компонента стресса — тревоги за финансовое состояние — на удовлетворенность жизнью оказались незначимыми (соответственно β = ‒0,028; p = 0,719 и β= ‒0,085; p = 0,362).

Обсуждение результатов

Результаты исследования подтверждают прогнозные негативные эффекты материализма на удовлетворенность уровнем жизни и удовлетворенность жизнью, опосредованные выраженностью переживаемых финансовых проблем, прежде всего несоответствия реального уровня доходов желаемому. В частности, результаты верифицируют гипотезу о том, что материализм усиливает переживания финансового стресса, основанного на оценке недостатка финансовых средств, переживании тревоги и желании повысить свои доходы (гипотеза 1).

Данные, полученные в исследовании, обосновывают представление о том, что материалисты больше по сравнению с нематериалистами полагаются на удовлетворенность уровнем жизни в оценке их удовлетворенности жизнью в целом (гипотеза 2). Причем прямой эффект материализма на удовлетворенность жизнью отсутствует, что также подтверждает результаты исследований, указывающих на опосредованность восприятия удовлетворенности жизнью оценками удовлетворенности материальной сферой (Sirgy, 1998, Sirgy et al., 2013).

Подтверждена гипотеза о том, что чем больше человек не удовлетворен своим уровнем жизни, тем больше он будет не удовлетворен своей жизнью в целом (гипотеза 3). Этот вывод согласуется с результатами исследований субъективного благополучия, которые предполагают, что удовлетворенность в материальной сфере жизни вносит положительный и существенный вклад в удовлетворенность жизнью в целом (Diener, Fujita, 1995; Gerdtham, Johannesson, 2001).

Проведенное исследование эмпирически подтвердило предположение о медиативной роли финансового стресса, усиливающей переживание чувства субъективного неблагополучия у материалистов. Причем финансовый стресс увеличивает негативное влияние материализма на удовлетворенность жизнью посредством двух психологических механизмов: когнитивного и аффективного. Когнитивный процесс включает оценку и интерпретацию материалистом личной финансовой ситуации как трудной, неблагоприятной с точки зрения ее значимости для материального благополучия, и, как следствие, для удовлетворенности жизни в целом (гипотеза 4). Аффективный механизм — эмоциональная реакция на оценку финансовой ситуации как стрессовой, неблагоприятной для субъективного благополучия человека, — редуцирует удовлетворенность жизнью в целом, то есть осуществляет «перенос» негативных переживаний тревоги, беспокойства за состояние финансовой сферы жизни на удовлетворенность жизни в целом (гипотеза 5). Другими словами, для материалиста характерно наличие состояния тревоги и беспокойства из-за недостаточности финансовых и материальных ресурсов для удовлетворения его текущего статуса или ожиданий и переживание угрозы экономическому благополучию, и как следствие — удовлетворенности жизни в целом. Отметим в этой связи, что материалистические ценности способствуют усилению уровня финансового стресса, негативного эмоционального напряжения из-за стремления к приобретению имущества и социальных сравнений. При этом эмоциональный аспект стресса углубляет негативное влияние материализма на общую удовлетворенность жизнью человека. Люди, которые высоко ценят материальные блага, могут испытывать повышенную тревожность и неудовлетворенность, когда не могут достигнуть желаемого уровня жизни.

Результаты исследования, связанные с гипотезами 1—5 в совокупности, согласуются с недавними исследованиями взаимосвязи между материализмом, финансовым стрессом и субъективным благополучием (Ismail, Zaki, 2019; Osman, Madzlan, Phang, 2018; Friedline, Chen, Morrow, 2020; Min Wen Loo et al., 2023). Эти результаты подчеркивают существенное влияние финансового стресса материалиста на его субъективное финансовое благополучие и удовлетворенность жизнью в целом. 

Проведенное исследование подтверждает выводы предыдущих работ: материализм усиливает значимость материального благополучия в детерминации удовлетворенности жизнью, которая возрастает из-за финансового стресса, чаще обнаруживаемого у материалистов. Негативные последствия материализма для субъективного благополучия в жизни возрастают не только потому, что материалисты тратят большую часть ресурсов на достижение материальных благ, в ущерб достижениям в других важных сферах жизни, таких как социальная, духовная, семейная жизнь и досуг (Kasser, Ryan, 1993; Sirgy, Wu, 2009), но и потому, что материализм часто порождает финансовой стресс, который усиливает чувство субъективного неблагополучия.

Заключение

Установленные в исследовании различия роли аффективной и когнитивной составляющих финансового стресса, а также их связь с отличиями в механизме влияния материализма на удовлетворенность жизнью, выступают одним из наиболее важных результатов. Вероятно, чувство ограниченности финансовых средств, характерное для материалистов, может проявляться как устойчивое состояние постоянной материальной обделенности, сопровождающееся эмоциональными реакциями, негативно влияющими на восприятие их жизни. В этом аспекте материализм личности проявляется не только в завышенных ожиданиях относительно материальной стороны жизни, но и сопровождается эмоционально нагруженными последствиями ощущаемой материальной депривации. Иными словами, материализм одновременно имеет когнитивный и аффективный контент. Материалист одновременно занижает оценку финансовой ситуации, т. е. использует завышенные стандарты оценивания (Sirgy et al., 2013), и переживает эмоционально окрашенные негативные последствия этой оценки, что помогает объяснить, почему аффективный компонент стресса напрямую отрицательно коррелирует с удовлетворенностью жизнью.

Ограничения. Дальнейшие изучение, во-первых, может помочь устранить некоторые ограничения данного исследования в понимании причин индивидуальных различий в воспринимаемой материальной обделенности. Во-вторых, данное исследование охватывает только один из двух аспектов финансового благополучия — финансовый стресс. Ожидается, что в будущих исследованиях финансовое благополучие будет изучено комплексно, включая аспекты текущего финансового стресса и будущей финансовой безопасности. Несомненна также необходимость понимания соотношения объективных и субъективных составляющих финансового стресса у материалистов, что потребует проведения дополнительных исследований.

Limitations. Further research, firstly, may help to address some of the limitations of this study in understanding the causes of individual differences in perceived material deprivation. Secondly, this study covers only one of two aspects of financial well-being — financial stress. Future studies are expected to examine financial well-being holistically, including aspects of current financial stress and future financial security. There is also a clear need to understand the relationship between objective and subjective components of financial stress among materialists, which will require additional research.

Литература

  1. Хащенко, В.А. (2012). Психология экономического благополучия. М.: Изд-во «Институт психологии РАН».
    Khashchenko, V.A. (2012). Psychology of economic well-being. Moscow: Institute of Psychology of the Russian Academy of Sciences Publ. (In Russ.).
  2. Хащенко, В.А., Баранова, А.В. (2002). Восприятие и оценка качества жизни. В: Экономическая психология: современные проблемы и перспективы развития. Материалы Ежегодной Всероссийской научно-практической конференции (c. 36—39). Санкт-Петербург: Санкт-Петербургский государственный университет экономики и финансов.
    Khashchenko, V.A., Baranova, A.V. (2002). Perception and assessment of the quality of life. In: Economic psychology: modern problems and development prospects. Collection of conference works (pp. 36—39). Saint Petersburg: Saint Petersburg State University of Economics and Finance Publ. (In Russ.).
  3. Хащенко, В.А., Шибанова, Е.С. (2005). Представления о богатстве и бедности в различных социально-экономических условиях жизни: региональный аспект. В: А.Л. Журавлев, А.Б. Купрейченко (Ред.), Проблемы экономической психологии (с. 476—512). М.: Институт психологии РАН.
    Khashchenko, V.A., Shibanova, E.S. (2005). Social representations about rich and poverty in different socio-economic conditions of life: regional dimension. In: A.L. Zhuravlev, A.B. Kupreychenko (Eds.), Problems of economic psychology (pp. 476—512). Moscow: Institute of Psychology of the Russian Academy of Sciences. (In Russ.).
  4. Хащенко, В.А., Хащенко, Н.Н. (2023). Опросник ценностного материализма: концептуализация и разработка. Экспериментальная психология, 16(4), 189—203. https://doi.org/10.17759/exppsy.2023160413
    Khashchenko, V.A., Khashchenko, N.N. (2023). The Questionnaire of Values Materialism (VM): Conceptualize and Scale Development. Experimental Psychology (Russia), 16(4), 189—203. https://doi.org/10.17759/exppsy.2023160413
  5. Ang, Ch.-S., Mansor, A.T. (2011). An Investigation of Materialism and Undergraduates’ Life Satisfaction. World Applied Sciences Journal, 15(8), 1127—1135.
  6. Baker, A.M., Moschis, G.P., Ong, F.S., Pattanapanyasat, R.-P. (2013). Materialism and Life Satisfaction: The Role of Stress and Religiosity. Journal of Consumer Affairs, Wiley Blackwell, 47(3), 548—563. http://hdl.handle.net/10.1111/joca.12013
  7. Berjot, S., Gillet, N. (2011). Stress and coping with discrimination and stigmatization. Front Psychol, 2(33). https://doi.org/10.3389/fpsyg.2011.00033
  8. Burroughs, J.E., Rindfleisch, A., Denton, F. (1997). Family structure, materialism, and compulsive consumption. Journal of Consumer Research, 23(4), 312—325. https://doi.org/10.1086/209486
  9. Burroughs, J.E., Rindfleisch, A. (2002). Materialism and well-being: A conflicting values perspective. Journal of Consumer Research, 29(3), 348—370. https://doi.org/10.1086/344429
  10. Delhey, J. (2010). From Materialist to Post-Materialist Happiness? National Affluence and Determinants of Life Satisfaction in Cross-National Perspective. Social Indicators Research, 97, 65—84. https://doi.org/10.1007/S11205-009-9558-Y
  11. Diener, E., Fujita, F. (1995). Resources, personal strivings, and subjective well-being: A nomothetic and idiographic approach. Journal of Personality and Social Psychology, 68(5), 926—935. https://doi.org/10.1037/0022-3514.68.5.926
  12. Dittmar, H., Bond, R., Hurst, M., Kasser, T. (2014). The relationship between materialism and personal well-being: A meta-analysis. Journal of Personality and Social Psychology, 107(5), 879—924. https://doi.org/10.1037/a0037409
  13. Gerdtham, U.-G, Johannesson, M. (2001). The relationship between happiness, health, and social economic factors: Results based on Swedish microdata. The Journal of Socio-Economics, 30(6), 553—557. https://doi.org/10.1016/S1053-5357(01)00118-4
  14. Friedline, T., Chen, Z., Morrow, S. (2020). Families’ Financial Stress & Well-Being: The Importance of the Economy and Economic Environments. Journal of Family and Economic Issues, 42(1), 34—51. https://doi.org/10.1007/s10834-020-09694-9
  15. Ismail, N., Zaki, N.D.A. (2019). Does Financial Literacy and Financial Stress Effect the Financial Wellness? International Journal of Modern Trends in Social Sciences, 2(8), 1—11. https://doi.org/10.35631/IJMTSS.28001
  16. Kasser, T., Ryan, R.M. (1993). A dark side of the American dream: Correlates of financial success as a central life aspiration. Journal of Personality and Social Psychology, 65(2), 410—422. https://doi.org/10.1037/0022-3514.65.2.410
  17. Kasser, T. (2016). Materialistic Values and Goals. Annual Review of Psychology, 67, 489—514. https://doi.org/10.1146/annurev-psych-122414-033344
  18. Kasser, T., Rosenblum, K.L., Sameroff, A.J., Deci, E.L., Ryan, R.M., et al. (2014). Changes in materialism, changes in psychological well-being: evidence from three longitudinal studies and an intervention experiment. Motivation and Emotion, 38, 1—22. https://doi.org/10.1007/s11031-013-9371-4
  19. Larsen, V., Sirgy, M.J., Wright, N.D. (1999). Materialism: The Construct, Measures, Antecedents, and Consequences. Academy of Marketing Studies Journal, 3(2), 75—107.
  20. Leavitt, C.E., Dew, J.P., Allsop, D.B., Runyan, S.D., Hill, E.J. (2019). Relational and Sexual Costs of Materialism in Couple Relationships: An Actor—Partner Longitudinal Study. Journal of Family and Economic Issues, Springer, 40, 438—454. https://doi.org/10.1007/s10834-019-09617-3
  21. Loo, M.W., Kuah, Y.C., Liew M. (2023). Factors Affecting Subjective Financial Well-Being of Emerging Adults in Malaysia. Advances in Economics, Business and Management Research. In: F. Chen, et al. (Eds.), Proceedings of the 10th International Conference on Business, Accounting, Finance and Economics, BAFE 2022, AEBMR 234 (pp. 132—148). https://doi.org/10.2991/978-2-494069-99-2_11
  22. Lutfi, L., Firdaus, D.G.R., Dwiyanti, E.A., Renta, Y.D. (2022). The effect of materialism and financial knowledge on Financial stress: the role of present fatalistic and marital Status. Journal Ekonomi Bisnis dan Kewirausahaan, 11(3), 276—291. https://doi.org/10.26418/jebik.v11i3.54726
  23. McLanahan, S., Booth, K. (1989). Mother-only families: Problems, prospects, and politics. Journal of Marriage and the Family, 51(3), 557—580. https://doi.org/10.2307/352157
  24. Manchiraju, S., Krizan, Z. (2015). What’s materialism? Testing two dominant perspectives on materialism in the marketing literature. Management & Marketing. Challenges for the Knowledge Society, 10(2), 90—103. https://doi.org/:10.1515/mmcks-2015-0008
  25. Matos, C., Vieira, V., Bonfanti, K., Mette, F.M.B. (2019). Antecedents of Indebtedness for Low-Income Consumers: The Mediating Role of Materialism. Journal of Consumer Marketing, 36(1), 92—101. https://doi.org/10.1108/JCM-09-2017-2352
  26. Moschis, G.P., Hosie, P., Vel, P. (2009). Effects of family structure and socialization on materialism: a life course study in Malaysia. Journal of Business and Behavioral Sciences, 21(1), 166—181.
  27. Netemeyer, R.G., Warmath, D., Fernandes, D., Lynch, J.G. (2018). How Am I Doing? Perceived Financial Well-Being, Its Potential Antecedents, and Its Relation to Overall Well-Being. Journal of Consumer Research, 45(1), 68—89. https://doi.org/10.1093/jcr/ucx109
  28. Osman, Z., Madzlan, E.M., Phang, I. (2018). In Pursuit of Financial Well-being: The Effects of Financial Literacy, Financial Behavior and Financial Stress on Employees in Labuan. International Journal of Service Management and Sustainability, 3(1), 55—94. https://doi.org/24191/ijsms.v3i1.8041
  29. Peiro, A. (2006). Happiness, satisfaction, and socio-economic conditions: Some international evidence. Journal of Socio-Economics, 35, 348—365.
  30. Ponchio, M.C., Cordeiro, R.A., Gonçalves, V.N. (2019). Personal Factors as Antecedents of Perceived Financial Well-Being: Evidence from Brazil. International Journal of Bank Marketing, 37(4), 1004—1024. https://doi.org/10.1108/IJBM-03-2018-0077
  31. Tsang, J.-A., Carpenter, T.P., Roberts, J.A., Frisch, M.B., Carlisle, R.D. (2014). Why are materialists less happy? The role of gratitude and need satisfaction in the relationship between materialism and life satisfaction. Personality and Individual Differences, 64, 62—66. https://doi.org/10.1016/j.paid.2014.02.009
  32. Shrum, L.J., Wong, N., Arif, F., Chugani, S.K., Gunz, A., Lowrey, T.M., Nairn, A., Pandelaere, M., Ross, S.M., Ruvio, A., Scott, K., Sundie, J. (2013). Reconceptualizing materialism as identity goal pursuits: functions, processes, and consequences. Journal of Business Research, 66(8), 1179—1185.
  33. Sirgy, M.J. (1998). Materialism and quality of life. Social Indicators Research, 43, 227—260.
  34. Sirgy, M.J, Gurel-Atay, E., Webb, D., Cicic, M., Husic-Mehmedovic, M., Ekici, A., Herrmann, A., Hegazy, I., Lee, D.-J., Johar, J.S. (2013). Is materialism all that bad? Effects on satisfaction with material life, life satisfaction, and economic motivation. Social Indicators Research, 110, 349—366. https://doi.org/10.1007/s11205-011-9934-2
  35. Sirgy, M.J., Wu, J. (2009). The pleasant life, the engaged life, and the meaningful life: What about the balanced life? Journal of Happiness Studies: An Interdisciplinary Forum on Subjective Well-Being, 10, 183—196. https://doi.org/10.1007/s10902-007-9074-1
  36. Sirgy, M.J., et al. (2021). The Dual Model of Materialism: Success Versus Happiness Materialism on Present and Future Life Satisfaction. Applied Research in Quality of Life, 16, 201—220. https://doi.org/10.1007/s11482-019-09763-8
  37. Witherspoon, D.R. (2017). The effects of financial strain on health, morale, and social functioning (Doctoral dissertation, Saginaw Valley State University, Central Michigan University).
  38. Yoo, I. Miyamoto, Y., Evers, U., Lee, J., Wong, N. (2020). Does Materialism Hinder Relational Well-Being? The Role of Culture and Social Motives. Journal of Happiness Studies, 22, 241—261. https://doi.org/10.1007/S10902-020-00227-7

Приложение

Приложение / Appendix

Приложение A. Таблица

Appendix A. Table

Таблица / Table 

Средние значения (Mean), стандартные отклонения (SD) и корреляции

переменных (N = 200)

Means, standard deviations (SD) and correlations of variables (N = 200)

 

Переменные

 

Mean

 

SD

 

Sal

 

M

 

Sol

 

Fh

 

Anx

Удовлетворенность жизнью (Sal)

30.9

5.81

 

 

 

 

 

 

Материализм (M)

12.8

4.68

-0.148*

 

 

 

Удовлетворенность уровнем жизни (Sol)

3.28

1.05

0.559***

-0.071

 

 

Финансовые затруднения (Fh)

5.89

1.28

0.518***

-0.219**

0.652***

 

Тревога, обеспокоенность (Anx)

8.68

2.24

-0.554***

0.218**

-0.400***

-0.437***

Примечание: «*» — p < .05; «**» — p < .01, «***» — p < .001.

Note: «*» — p < .05, «**» — p < .01, «***» — p < .001.

Приложение Б. Опросник ценностного материализма личности (краткая версия, пункты)

Appendix B. Questionnaire of personal value materialism (short version, items)

Оценивается степень согласия с суждениями о готовности поступиться или пренебречь важными аспектами жизни ради личной материальной выгоды. Оценка производится с помощью пятибалльной шкалы (1 = «совершенно не согласен», 5 = «полностью согласен»)

  1. Истинной дружбой, близкими друзьями.
  2. Доверием, честностью и порядочностью по отношению к людям.
  3. Эмоциональной и духовной близостью с близким человеком.
  4. Личным физическим и психическим здоровьем.
  5. Безопасностью других людей, ненанесением вреда людям.
  6. Здоровьем окружающих.
  7. Безопасностью семьи и близких людей.
  8. Сохранением природной среды.
  9. Защитой других людей.
  10. Социальной справедливостью — стремлением к равенству и защите прав человека.
  11. Благополучием и благосостоянием людей.
  12. Собственными убеждениями, личными принципами.
  13. Личными творческими устремлениями (реализацией творческих идей).
  14. Свободой и независимостью в суждениях и поступках.

Приложение В. Опросник финансового стресса

Appendix C. Financial Stress Questionnaire

  1. Оцените уровень личного (семейного) материального благосостояния в настоящее время (5-балльная шкала, где 1 = очень низкий, 5 = очень высокий).
  2. Оцените имеющиеся объективные финансовые возможности для повышения личных доходов (доходов семьи) (5-балльная шкала, где 1 = очень низкие, 5 = очень высокие).
  3. Укажите степень вашей тревоги, беспокойства за собственное материальное положение в будущем (6-балльная шкала, где 0 = не испытываю, 5 = испытываю в очень большой степени).
  4. Укажите, испытываете ли вы и в какой степени потребность в повышении своих доходов (6-балльная шкала, где 0 = не испытываю, 5 = испытываю в очень большой степени).

Пункты по каждому измерению суммировались и использовались в последующем анализе.

Информация об авторах

Валерий Александрович Хащенко, доктор психологических наук, главный научный сотрудник, лаборатория психологии труда, эргономики, инженерной психологии и организационной психологии, Институт психологии Российской академии наук (ФГБУН ИП РАН), Москва, Российская Федерация, ORCID: https://orcid.org/0000-0002-6257-7580, e-mail: Valery.Khashchenko@gmail.com

Надежда Николаевна Хащенко, кандидат психологических наук, научный сотрудник, Институт психологии Российской академии наук (ФГБУН ИП РАН), Москва, Российская Федерация, ORCID: https://orcid.org/0000-0002-7111-4166, e-mail: nadin-khash@yandex.ru

Вклад авторов

Хащенко В.А. — идеи исследования; написание и оформление рукописи; планирование исследования; сбор данных.

Хащенко Н.Н. — идеи исследования; написание и оформление рукописи; планирование исследования; анализ данных.

Оба автора приняли участие в обсуждении результатов и согласовали окончательный текст рукописи.

Конфликт интересов

Авторы заявляют об отсутствии конфликта интересов.

Метрики

 Просмотров web

За все время: 232
В прошлом месяце: 73
В текущем месяце: 49

 Скачиваний PDF

За все время: 63
В прошлом месяце: 24
В текущем месяце: 7

 Всего

За все время: 295
В прошлом месяце: 97
В текущем месяце: 56