Пересмотренная шкала «Измерение реакций гнева» (Dimensions of Anger Reactions — Revised, DAR-R): русскоязычная адаптация и валидизация

 
Аудио генерируется искусственным интеллектом
 32 мин. чтения

Резюме

Контекст и актуальность. Семипунктовая пересмотренная шкала «Измерение реакций гнева» (Dimensions of Anger Reactions — Revised, DAR-R) является одним из наиболее распространенных и психометрически обоснованных инструментов самоотчета выраженности гнева и выявления проблемного гнева. Целью настоящего исследования стала адаптация, оценка факторной структуры и психометрических свойств русскоязычной версии шкалы DAR-R. Гипотеза. Русскоязычная версия шкалы «Измерение реакций гнева» удовлетворяет предъявляемым требованиям к надежности и валидности, а также соответствует критериям стандартизованного психодиагностического инструмента. Методы и материалы. В исследовании приняли участие 584 респондента (345 женщин и 239 мужчин, почти половину которых составили пожарные-спасатели в возрасте от 18 до 78 лет: М = 27,76; SD = 10,24), в выборку ретеста вошли 106 человек (63 женщины и 43 мужчины в возрасте от 18 до 74 лет: М = 31,22, SD = 12,88). Для проверки конвергентной и дискриминантной валидности использовались: Опросник агрессивности Басса-Перри (BPAQ), Краткий опросник гнева Р. Новако (NAS) и Опросник выраженности гнева Ч. Спилбергера (STAXI). Результаты. Эксплораторный и конфирматорный факторный анализ выявил и подтвердил двухфакторную структуру, аналогичную оригинальной авторской DAR-R, сочетающую в себе субшкалы: «Реагирование гневом» (данный параметр характеризует частоту, интенсивность, продолжительность и враждебность гнева) и «Нарушения, вызванные гневом» (степень влияния на работоспособность, социальные отношения и здоровье). Методика продемонстрировала хорошие коэффициенты α Кронбаха, значения которых составили: 0,81 для субшкалы «Реагирование гневом», 0,74 для субшкалы «Нарушения, вызванные гневом» и 0,85 для шкалы «Общая реакция гнева». Женщины демонстрируют более высокие показатели реакции гнева, чем мужчины. Выводы. Исследование показало, что русскоязычная версия методики обладает всеми необходимыми психометрическими характеристиками, а значит, может быть рекомендована в качестве психодиагностического инструмента для измерения интенсивности реакций гнева в исследованиях и консультативном процессе.

Общая информация

Ключевые слова: DAR–R, гнев, гнев как динамическая проблема, гневная вспышка, измерение, оценка

Рубрика издания: Апробация и валидизация методик

Тип материала: научная статья

DOI: https://doi.org/10.17759/cpp.2025330207

Благодарности. Авторы выражают благодарность начальникам пожарно-спасательных частей, психологам Юлии Шойгу и Анне Суворовой за помощь в организации сбора данных, а также всем неравнодушным добровольцам, принявшим участие в нашем исследовании.

Поступила в редакцию 03.11.2024

Поступила после рецензирования 09.03.2025

Принята к публикации

Опубликована

Для цитаты: Шмарина, Т.А., Блинова, Л.Д. (2025). Пересмотренная шкала «Измерение реакций гнева» (Dimensions of Anger Reactions — Revised, DAR-R): русскоязычная адаптация и валидизация. Консультативная психология и психотерапия, 33(2), 147–170. https://doi.org/10.17759/cpp.2025330207

© Шмарина Т.А., Блинова Л.Д., 2025

Лицензия: CC BY-NC 4.0

Полный текст

Введение

«Гнев, богиня, воспой Ахиллеса, Пелеева сына» (Гомер, 2023). Учитывая, что Илиада — это старейшее дошедшее до нас литературное произведение, можно сказать, что с упоминания гнева начинается вся западная культура. Что же представляет собой гнев? Гнев — это сложная эмоция, характеризующаяся сильным недовольством, злостью, напряженностью. Гнев часто является результатом разочарования, несправедливости, реальной или воображаемой обиды на другого человека (Turgoose, Murphy, 2018). Гнев в поведении может проявляться решительными действиями, направленными на устранение объекта гнева, или исключительно выражением эмоций, например руганью. Гнев отличается от агрессии (причинения вреда), однако является ее важным активатором (Turgoose, Murphy, 2018). Но несмотря на взаимосвязь гнева и агрессии, гнев не является ни необходимым, ни достаточным условием для возникновения агрессии (Саидов, 2019).

Как и у всех поведенческих реакций, у эмоции гнева есть свои издержки и выгоды. С одной стороны, гнев способствует проявлению настойчивости в трудных ситуациях (Гуриева, Захарова, 2017; Novaco, 1994), а с другой стороны, из-за неразрывной связи с восприятием угрозы (Novaco, 1994) гнев может стать причиной агрессивности и ухудшения социального функционирования (Eckhardt et al., 1995). Так, нарушения в регуляции гнева у взрослых проявляются при самых разных расстройствах: депрессивных, тревожных, связанных с употреблением психоактивных веществ, посттравматическом стрессовом (ПТСР) и др. (Громыко и др., 2022; Novaco, 1994). Гнев был выявлен в разных группах населения, переживших потенциально травмирующие события, например у ветеранов боевых действий (Novaco et al., 2012), сотрудников служб экстренного реагирования (Anderson, Bushman, 2001), жертв домашнего насилия (Jarvis et al., 2005), жестокого обращения в детстве (Gardner, Moore, Dettore, 2014), а также сексуальных и несексуальных нападений (Feeny, Zoellner, Foa, 2000). В двух исследованиях сообщается, что гнев повышает риск развития ПТСР у участников боевых действий (Forbes et al., 2014a; Novaco, Chemtob, 2002) и полицейских (Bryant, 2022; Meffert et al., 2008).

В российской науке гнев измеряется с помощью довольно объемных методик: опросника выраженности гнева STAXI (State-Trait Anger Expression Inventory; STAXI) Ч. Спилбергера, включающего 44 пункта (Speilberger, 1988), и обновленной версии STAXI-2 — методики оценки проявлений гнева, состоящей из 57 утверждений (Шамшикова, Белашина, 2015; Speilberger, 1998). Главным ограничением STAXI и STAXI-2 является их защищенность авторским правом, т.е. они отсутствуют в открытом доступе, а их применение связано с финансовыми издержками. Другая методика — Шкала гнева Новако (the Novaco Anger Scale; NAS) (Novaco et al., 2012) — переведена на русский язык, но также отсутствует в открытом доступе: ее адаптация была выполнена в рамках дипломного проекта, результаты которого не были опубликованы. Таким образом, у российской аудитории существует потребность в доступном и кратком опроснике гнева.

За рубежом широко распространено применение различных модификаций шкалы «Измерение реакций гнева» (Dimension of Anger Reactions), самой новой из которых является ее пересмотренная версия «Dimension of Anger Reactions — revised» (DAR–R). Шкала DAR–R состоит из семи пунктов, оценивающих частоту, интенсивность, продолжительность и враждебность гнева (субшкала «Реагирование гневом»), а также степень влияния гнева на разные сферы жизни (субшкала «Нарушения, вызванные гневом») (Novaco, 1975). Различные версии опросника были переведены и адаптированы во множестве стран, например в Голландии (Nederlof et al., 2009), Франции (Ceschi et al., 2020), Испании (Kannis–Dymand, 2019), Южной Корее (Kim et al., 2023), Сирии (Ijaz et al., 2021), Бразилии (Gardner et al., 2014), Пакистане (Goulart et al., 2020). Они успешно используются в клинических исследованиях, а также в практике психологического консультирования.

Научный и практический потенциал оценки (в том числе скрининга) выраженности гнева, недоступность опросников NAS, STAXI и STAXI-2, а также отсутствие адаптированной на русский язык шкалы DAR или ее модификаций определяют актуальность настоящего исследования, целью которого стала адаптация, оценка психометрических свойств и факторной структуры русскоязычной версии шкалы DAR–R.

Материалы и методы

Участники и процедура. В исследовании приняли участие 584 человека в возрасте от 18 до 78 лет (М = 27,76, SD = 10,24), среди которых 239 мужчин (40,9%) и 345 женщин (59,1%). Почти половину мужской выборки составили пожарные-спасатели Москвы, Сургута и Нижневартовска (52,7%, 126 мужчин, M = 33,84, SD = 8,04). Выборку ретеста составили 106 человек: 59,4% женщин (n = 63) и 40,6% мужчин (n = 43) в возрасте от 18 до 74 лет (M = 31,22, SD = 12,88 лет).

Сбор данных осуществлялся в декабре 2022 — феврале 2023 гг. посредством заполнения бумажной или электронной анкет в «Google-формы». Участие было полностью добровольным; всем респондентам была представлена информация о цели исследования, каждый дал устное согласие на участие, а также был уведомлен о возможности в любой момент отказаться от тестирования. Участникам, запросившим расшифровку тестовых значений, предоставлялась персонализированная интерпретация данных.

Методики. Все участники заполняли одинаковый набор психодиагностических инструментов. В их числе — следующие.

  1. Пересмотренная шкала «Измерение реакций гнева» (DAR–R) (Novaco, 1975) — методика, адаптации которой посвящена публикация. Опросник включает семь тестовых пунктов, две субшкалы («Реагирование гневом» и «Нарушения, вызванные гневом»), объединенные суммарным показателем «Общая реакция гнева»; при подсчете показателей методики используется 5-балльная шкала Ликерта.
  2. Опросник агрессивности Басса–Перри (Buss–Perry Aggression Questionnaire, BPAQ) (Buss, Perry, 1992) в адаптации С.Н. Ениколопова и Н.П. Цибульского (Ениколопов, Цибульский, 2007), состоящий из 24 утверждений и трех шкал: «Физическая агрессия», «Гнев» и «Враждебность»; используется 5-балльная шкала Ликерта.
  3. 3. Краткая шкала гнева Р. Новако (NAS)(Novacoet al., 2012), адаптированная на русскоязычной выборке А. Юханаевой в выпускной квалификационной работе под научным руководством канд. психол. наук С.Н. Ениколопова. Опросник состоит из описания 25 ситуаций, потенциально способных спровоцировать гнев; для подсчета суммарного показателя по методике используется 5-балльная шкала Ликерта.
  4. Опросник выраженности гнева Ч.Д. Спилбергера(STAXI)(Speilberger, 1998), адаптированный американско-российской группой исследователей (Eckhardt et al., 1995) и состоящий из 44 утверждений, объединенных в четыре шкалы: «Гнев как сиюминутное состояние», «Гнев как черта личности», «Экспрессия гнева», «Контроль экспрессии гнева»; при подсчете результатов используется 4-балльная шкала Ликерта.

Анализ данных. Все расчеты производились в статистической программе Jamovi версии 2.3.21, а также в RStudio-версии 2024.09.0+375.

Анализ соответствия нормальному распределению полученных баллов по тестовым пунктам и шкалам проводился с учетом значений асимметрии и эксцесса. Для большинства психометрических целей в больших выборках значения асимметрии и эксцесса в пределах ±1 считаются отличными (George, Mallery, 2016).

Для предварительного определения факторной структуры русскоязычной версии DAR–R был проведен эксплораторный факторный анализ (ЭФА) методом максимального правдоподобия (Maximum likelihood) с последующим косоугольным вращением oblimin (Tabachnick, Fidell, Ullman, 2013). Результаты ЭФА считаются достоверными, если значение показателя Кайзера–Мейера–Олкина превышает 0,50, а показатель сферичности Бартлетта является статистически значимым (Tabachnick, Fidell, Ullman, 2013). Конфирматорный факторный анализ (КФА) применялся для проверки соответствия эмпирической структуры теоретической модели, критериями выступали: сравнительный критерий соответствия (Comparative Fit Index; CFI) ≥ 0,95; стандартизированное среднеквадратичное отклонение остатков (Standardized Root Mean Square Residual; SRMR) ≤ 0,08; квадратный корень среднеквадратической ошибки аппроксимации (Root Mean Square Error of Approximation; RMSEA) ≤ 0,06 (Brown, 2015).

Внутренняя надежность оценивалась с помощью α Кронбаха, где значения ≥ 0,7 указывают на приемлемую надежность, а значения ≥ 0,8 — на хорошую (Kline, 2000). Устойчивость результатов во времени проверялась через коэффициенты корреляции Пирсона.

Результаты

Перевод DAR–R на русский язык. Текст опросника был переведен на русский язык авторами данного исследования (см. Приложение). Перевод названия методики, инструкции, семи пунктов, наименования шкал и оценочных значений шкалы Ликерта был подвергнут экспертизе трех психологов-билингвов. Процесс согласования итоговых формулировок пунктов осуществлялся по методу Делфи (delphi) и проводился в три раунда до достижения полного экспертного консенсуса. Процедура обратного перевода осуществлялась также авторами исследования, а к экспертизе привлекались другие эксперты.

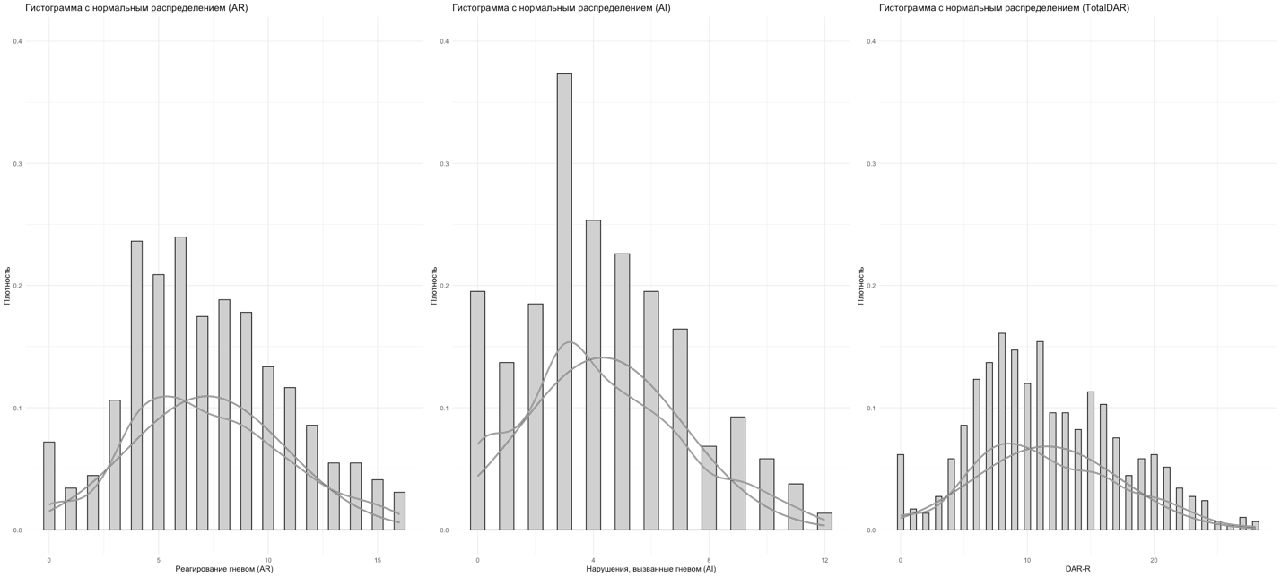
Описательная статистика. Значения асимметрии и эксцесса для пунктов опросника, его субшкал «Реагирование гневом», «Нарушения, вызванные гневом», а также шкалы «Общая реакция гнева» в целом не превысили единицы по модулю (табл. 1), что является признаком отличного соответствия нормальному распределению (George, Mallery, 2016). Однако при визуальном анализе гистограмм (рис. 1) наблюдается небольшая положительная асимметрия, указывающая на то, что баллы бо́льшей части респондентов находятся в диапазоне от ниже среднего до минимума. Следовательно, опросник DAR–R и две его субшкалы — «Реагирование гневом» и «Нарушения, вызванные гневом» — более чувствительны в верхней части шкалы Ликерта, тогда как в нижней ее части способность дифференцировать респондентов снижается. Незначительный отрицательный эксцесс свидетельствует об отсутствии выраженной куполообразной вершины, т.е. респонденты чаще набирают не средние баллы, а более равномерно распределенные по всему диапазону значений.

 

Таблица 1 / Table 1

Описательная статистика пунктов DAR–R и ее субшкал (n = 584)

Descriptive statistics of DAR–R points and its subscales (n = 584)

Пункт / Point

M

SD

Асимметрия / Skewness

Эксцесс / Kurtosis

1

Частота гнева / Frequency of anger

2,02

1,18

0,06

–0,88

2

Интенсивность гнева / The intensity of anger

1,86

1,14

0,30

–0,75

3

Продолжительность гнева / The duration of anger

2,05

1,12

–0,02

–0,81

4

Враждебность гнева / The hostility of anger

1,29

1,14

0,82

0,01

5

Ухудшение работоспособности / Deterioration of working capacity

1,48

1,14

0,54

–0,45

6

Ухудшение социальных отношений / Deterioration of social relations

1,27

1,15

0,85

–0,06

7

Ухудшение здоровья / Deterioration of health

1,57

1,19

0,50

–0,64

Субшкала «Реагирование гневом» (AR) / Anger Response (AR)

7,22

3,65

0,28

–0,36

Субшкала «Нарушения, вызванные гневом» (AI) / Anger Impairment (AI)

4,32

2,83

0,47

–0,33

Шкала «Общая реакция гнева» / Anger Reaction (DAR-R)

11,53

5,84

0,33

–0,35

Примечание: диапазон возможных значений по каждому пункту — от 0 до 4; AR (субшкала «Реагирование гневом») является суммой пунктов 1–4; AI (субшкала «Нарушения, вызванные гневом») — суммой пунктов 5–7; DAR–R (шкала «Общая реакция гнева») — суммой всех семи тестовых пунктов.

Note: the range of possible values for each point is from 0 to 4; AR (Anger Response) is the sum of points 1–4; AI (Anger Impairment) is the sum of points 5–7; DAR–R (Anger Reaction) is the sum of all seven test points.

Рис. 1

Реагирование гневом (AR), Нарушения, вызванные гневом (AI), DAR–R

Рис. 1. Распределение баллов по шкалам DAR–R

Примечание: Диапазон возможных значений по каждому пункту — от 0 до 4; AR (субшкала «Реагирование гневом») является суммой пунктов 1–4; AI (субшкала «Нарушения, вызванные гневом») — суммой пунктов 5–7; DAR–R (шкала «Общая реакция гнева») — суммой всех семи тестовых пунктов. Минимальное (min) количество баллов по каждой из шкал, а также по методике в целом = 0, максимальное (max) по шкале «AR» = 16, по «AI» = 12, по DAR–R = 28.

Fig. 1. Distribution of points on the DAR–R scales

Note: The range of possible values for each point is from 0 to 4; AR (Anger Response) is the sum of points 1–4; AI (Anger Impairment) is the sum of points 5–7; DAR–R (Anger Reaction) is the sum of all seven test points. The min number of points for each of the subscales, as well as for the method as a whole = 0, max — for AR = 16, for AI = 12, for DAR-R = 28.

Факторная структура и инвариантность по полу. В соответствии с теоретической моделью и композицией оригинальной версии DAR–R (Novaco, 1975) мы ожидали выделения двух факторов: «Реагирование гневом» и «Нарушения, вызванные гневом». Результаты ЭФА подтвердили гипотезу о наличии двух факторов (табл. 2), все тестовые пункты имеют нагрузку больше 0,5, причем максимальные нагрузки соответствуют основной шкале «Общая реакция гнева»; совокупный процент объясненной дисперсии составляет 52%. Таким образом, двухфакторная структура опросника хорошо согласуется с эмпирическими данными.

Таблица 2 / Table 2

Факторные нагрузки DAR–R

DAR–R factor loadings

Пункт / Point

Реагирование гневом / Anger response

Нарушения, вызванные гневом / Anger impairment

1

Частота гнева / Frequency of anger

0,62

0,16

2

Интенсивность гнева / The intensity of anger

0,86

–0,05

3

Продолжительность гнева / The duration of anger

0,50

0,27

4

Враждебность гнева / The hostility of anger

0,66

–0,06

5

Ухудшение работоспособности / Deterioration of working capacity

0,00

0,71

6

Ухудшение социальных отношений / Deterioration of social relations

0,00

0,75

7

Ухудшение здоровья / Deterioration of health

0,04

0,61

Примечание: жирным шрифтом выделены значения факторной нагрузки по пунктам, свидетельствующие в пользу двухфакторной структуры опросника.

Note: the values of the factor loadings by item are highlighted in bold, indicating in favor of the two-factor structure of the questionnaire.

Оценка факторной структуры DAR–R при помощи КФА подтвердила предположение о двух факторах. Модель 2, представляющая двухфакторное решение, продемонстрировала отличное соответствие данным (табл. 3), а однофакторное — приемлемое. В двухфакторной модели все тестовые пункты имеют факторную нагрузку на субшкалу, превышающую 0,60, что свидетельствует в пользу валидности русскоязычной версии DAR-R (рис. 2)

Таблица 3 / Table 3

Индексы соответствия конфирматорных факторных моделей DAR–R

Conformity indices of confirmatory factor models DAR–R

Модели / Models

χ2

df

RMSEA (90% CI)

CFI

SRMR

Модель 1: однофакторная / Model 1: single-factor

108

14

0,107 (0,089–0,127)

0,902

0,06

Модель 2: двухфакторная / Model 2: two-factor

16,49

8

0,043 (0,01–0,072)

0,985

0,02

Примечание: «*» — χ2 статистически значим на уровне p < 0,001.

Note: «*» — χ2 is statistically significant at the level of p < 0,001.

Рис. 2

Рис. 2. Конфирматорная факторная модель DAR–R

Fig. 2. The DAR–R confirmatory factor model

Двухфакторная модель DAR–R также была проверена на соответствие структуры опросника в мужской и женской подвыборках (табл. 4). Конфигурационная инвариантность имеет хорошее соответствие данным: χ2/df = 1,74, CFI = 0,984, RMSEA = 0,050, что подтверждает гипотезу об одинаковой структуре модели для обоих полов. Метрическая инвариантность также подтверждается, несмотря на некоторое снижение индексов, следовательно, нагрузки одинаковы для обеих групп. Скалярная инвариантность также поддерживается, а различия между ключевыми метриками (CFI, RMSEA) незначительны, что указывает на одинаковые интерсепты для мужчин и женщин. Строгая инвариантность не была подтверждена, CFI упал до значения 0,875, а RMSEA увеличился до 0,111 (все индексы соответствия представлены в табл. 4).

Таким образом, модель демонстрирует инвариантность по полу на конфигурационном, метрическом и скалярном уровнях, что свидетельствует о том, что различия в средних значениях по шкале «Общая реакция гнева» и субшкалам «Реагирование гневом» и «Нарушения, вызванные гневом» русскоязычной версии DAR–R отражают истинные различия, а не артефакты, ошибки или погрешность в измерении выраженности гнева между мужчинами и женщинами. Однако строгая инвариантность не поддерживается, что говорит о наличии различий в остатках модели.

 

Таблица 4 / Table 4

Индексы соответствия данным инвариантности модели по полу (nм = 239, nж = 345)

Indexes of compliance with the data of the invariance of the model by gender (nm = 239, nf = 345)

Инвариантность / Invariance

χ2 (df)

χ2/df

CFI

TLI

RMSEA

[90% ДИ / CI]

SRMR

Δ χ2

Δdf

p-level

of Δ

ΔCFI

ΔRMSEA

ΔSRMR

Конфигурационная инвариантность / Configuration invariance

45,303 (26)

1,74

0,984

0,975

0,050

[0,024; 0,074]

0,031

Метрическая инвариантность / Metric invariance

78,249 (31)

2,52

0,962

0,948

0,072

[0,052; 0,092]

0,063

32,946

5

< 0,001

–0,022

0,022

0,032

Скалярная инвариантност/ Scalar invariance

86,529 (36)

2,40

0,959

0,953

0,069

[0,051; 0,088]

0,065

8,280

5

0,1415

–0,003

–0,003

0,002

Строгая инвариантность / Strict invariance

198,619 (43)

4,62

0,875

0,878

0,111

[0,096; 0,127]

0,098

112,090

7

< 2,2e–16

–0,084

0,042

0,033

Примечание: χ² (df) — хи-квадрат с количеством степеней свободы; χ²/df — относительный хи-квадрат; CFI — сравнительный индекс соответствия; TLI — индекс Такера–Льюиса; RMSEA [90% ДИ] — корень среднеквадратичной ошибки аппроксимации с 90% доверительным интервалом; SRMR — стандартизованный корень среднеквадратичного остатка; Δχ² — разница хи-квадрат, вычисленная с помощью теста Satorra–Bentler.

Note: χ² (df) — is the chi-square with the number of degrees of freedom; χ2/df — is the relative chi-square; CFI is the comparative compliance index; TLI is the Tucker–Lewis index; RMSEA [90% CI] is the root of the RMS error of approximation with a 90% confidence interval; SRMR is the standardized root of the RMS remainder; Δχ² — chi-square difference calculated using the Satorra–Bentler test.

Внутренняя надежность. Показатель α Кронбаха составил 0,81 для субшкалы «Реагирование гневом», 0,74 для субшкалы «Нарушения, вызванные гневом» и 0,85 для шкалы «Общая реакция гнева», причем исключение любого тестового пункта привело бы к снижению α Кронбаха. Следовательно, адаптируемая методика демонстрирует хорошую внутреннюю надежность и согласованность пунктов.

Тест-ретестовая надежность. Устойчивость результатов во времени (3 недели) продемонстрировала хороший уровень и составила r = 0,80 (p < 0,001, n = 106) для субшкалы «Реагирование гневом», r = 0,69 (p < 0,001, n = 106) для субшкалы «Нарушения, вызванные гневом» и r = 0,78 (p < 0,001, n = 106) для суммарного показателя DAR–R «Общая реакция гнева».

Конструктная валидность. Субшкалы «Реагирование гневом», «Нарушения, вызванные гневом» и шкала «Общая реакция гнева» оказались слабо негативно связанными с контролем экспрессии гнева, по STAXI, и слабо позитивно с физической агрессией, по BPAQ, (табл. 5). Это подтверждает, во-первых, направленность DAR–R на измерение реакций гнева, а не на их контроль, а во-вторых, различие конструктов «гнев» и «агрессия», что обеспечивает конструктную дискриминантную валидность адаптируемого опросника DAR–R (Митина, 2013). Между шкалами адаптируемого DAR–R и остальными параметрами BPAQ, NAS и STAXI наблюдаются достаточно сильные позитивные корреляции (r > 0,5, p < 0,001) (табл. 5). Наиболее сильные связи были выявлены между корреспондирующими шкалами: Шкала гнева BPAQ — шкала «Общая реакция гнева» DAR–R (r = 0,73, p < 0,001), «Гнев как сиюминутное состояние» STAXI — субшкала «Реагирование гневом» DAR-R (r = 0,75, p < 0,001). Все это свидетельствует в пользу концептуального сходства конструктов, а также подтверждает конструктную конвергентную валидность DAR–R.

Таблица 5 / Table 5

Корреляционная матрица между показателями по DAR–R, STAXI и NAS

Correlation matrix between DAR–R, STAXI, and NAS indicators

Шкалы / Scales

Субшкала «Реагирование гневом» / Anger Response Scale

Субшкала «Нарушения, вызванные гневом» / Anger Impairment Scale

Шкала «Общая реакция гнева» / Anger Reaction Scale

Опросник агрессивности Басса–Перри (BPAQ) / Buss–Perry Aggression Questionnaire (BPAQ)

Шкала физической агрессии / The scale of physical aggression

0,41*

0,22*

0,36*

Шкала гнева / The anger scale

0,70*

0,61*

0,73*

Шкала враждебности / The hostility scale

0,56*

0,56*

0,62*

Общий балл / Total score

0,71*

0,59*

0,73*

Краткий опросник гнева Р. Новако (NAS) / Novaco Anger Scale

Общий балл / Total score

0,63*

0,53*

0,65*

Опросник выраженности гнева (STAXI) / State-Trait Anger Expression Inventory

Гнев как сиюминутное состояние / Anger as a momentary state

0,75*

0,58*

0,74*

Гнев как личностная черта / Anger as a personality trait

0,70*

0,58*

0,71*

Экспрессия гнева / Anger expression

0,70*

0,58*

0,72*

Контроль экспрессии гнева / Anger expression control

–0,20*

–0,22*

–0,23*

Примечание: «*» — p < 0,001.

Note: “*” — p < 0,001.

Точка отсечения. Определение точки отсечения (cut-off) проводилось по аналогии с оригинальной DAR–R (Hawthorne et al., 2006), STAXI (Spielberger, 1988) и STAXI-2 (Spielberger, 1998), где в качестве нормативного диапазона гнева рассматривается 25–75 перцентиль. Согласно идее рассмотрения гнева как черты личности, лица с баллами выше 75-го перцентиля могут быть подвержены межличностным проблемам, а также неблагоприятным физическим или психологическим состояниям (Spielberger, 1998). Для DAR–R 75-й перцентиль составил 16 баллов. Были получены значимые различия и большой размер эффекта (d > 0,80) в уровне выраженности гнева как личностной черты, общего балла NAS и общего балла агрессивности BPAQ у тех, кто набрал выше 75-го и ниже 25-го перцентиля по шкале DAR–R (табл. 6). То есть отсечение (сut-off) на уровне 16 для шкалы DAR–R оправдано и способно разграничивать людей с проблемным гневом и людей с нормативным уровнем.

Таблица 6 / Table 6

Значения по BPAQ, NAS и STAXI при низком и высоком DAR–R

Values for BPAQ, NAS, and STAXI at low and high DAR–R

Опросники / Questionnaires

Низкий DAR–R

(< 25 процентиля)

M (SD) / Low DAR–R (< 25th percentile) M (SD)

Высокий DAR–R

(> 75 процентиля)

M (SD) / High DAR–R

(> 75 percentile)

M (SD)

t

d

Опросник агрессивности Басса–Перри (BPAQ) / Buss–Perry Aggression Questionnaire 

53,81 (12,03)

73,37 (12,97)

14,85

1,60

Краткий опросник гнева Р. Новако (NAS) / Novaco Anger Scale

44,46 (19,49)

65,01 (15,62)

12,10

1,09

Опросник выраженности гнева (STAXI) Гнев как черта / State-Trait Anger Expression Inventory Trait Anger

17,52 (5,47)

26,35 (6,54)

15,95

1,75

Примечание: M — среднее значение, SD — стандартное отклонение, t — значение t–теста, d — размер эффекта Коэна (Cohen’s d effect sizes).

Note: M is the mean value, SD is the standard deviation, t is the value of the t–test, and d is the Cohen’s d effect sizes.

Стандартизация DAR–R. Для русскоязычной адаптации DAR–R были получены следующие тестовые нормы: 7,22 ± 3,65 (для субшкалы «Реагирование гневом»), 4,32 ± 2,83 (для субшкалы «Нарушения, вызванные гневом») и 11,53 ± 5,84 (для шкалы «Общая реакция гнева»). Данные показатели согласуются с популяционными нормами, обнаруженными в других исследованиях по стандартизации DAR–R, и могут быть использованы в научно-исследовательских или практических целях при психодиагностическом обследовании участников.

Также были получены статистически значимые различия при анализе социально-демографических показателей, а именно пола и профессиональной принадлежности. Так, женщины, по сравнению с мужчинами, демонстрировали значимо более высокие баллы по всем трем показателям DAR–R (t = –10,63 для субшкалы «Реагирование гневом», t = –8,86 для субшкалы «Нарушения, вызванные гневом» и t = –11,13 для шкалы «Общая реакция гнева»; p < 0,001) (табл. 7). По профессиональной принадлежности пожарные-спасатели МЧС России сообщали о статистически значимо более низких баллах по всем трем показателям DAR–R (t = 13,3 для субшкалы «Реагирование гневом», t = 10,5 для субшкалы «Нарушения, вызванные гневом» и t = –13,7 для шкалы «Общая реакция гнева»; p < 0,001) (табл. 7).

Таблица 7 / Table 7

Тестовые нормы по опроснику DAR–R

Test standards for the DAR–R questionnaire

 

Шкала / Scale

 

Тестовые нормы /

Standards

Субшкала «Реагирование гневом» / Anger Response Scale

М (SD)

Субшкала «Нарушения, вызванные гневом» / Anger Impairment Scale

М (SD)

Шкала «Общая реакция гнева» / Anger Reaction Scale

М (SD)

Общие нормы (n = 584) / General standards (n = 584)

7,22 ± 3,65

4,32 ± 2,83

11,53 ± 5,84

Нормы для мужчин (n = 239) / Norms for men (n = 239)

5,45 ± 3,20

3,15 ± 2,50

8,6 ± 5,21

Нормы для женщин (n = 345) / Norms for women (n = 345)

8,44 ± 3,37

5,13 ± 2,74

13,57 ± 5,37

Нормы для гражданского населения (n = 458) / Standards for civilians (n = 458)

8,14 ± 3,41

4,91 ± 2,80

13,05 ± 5,44

Нормы для пожарных-спасателей МЧС России (n = 126) / Standards for firefighters and rescuers of the EMERCOM of Russia (n = 126)

3,86 ± 2,25

2,17 ± 1,69

6,03 ± 3,43

Примечание: М (SD) — cреднее ± стандартное отклонение.

Note: М (SD) — mean ± standard deviation.

Обсуждение результатов

Результаты настоящего исследования позволяют сделать несколько выводов о психометрических свойствах русскоязычной версии шкалы «Измерение реакций гнева» (DAR–R). Прежде всего КФА подтвердил двухфакторную структуру DAR–R, включающую субшкалы «Реагирование гневом» и «Нарушения, вызванные гневом», объединенные в общем показателе «Общая реакция гнева», что полностью согласуется с концепций Раймонда Новако — автора оригинального DAR (Novaco, 1975) и с адаптациями DAR–R на другие языки. Кроме того, в пользу информативности двухфакторной модели свидетельствует характер корреляций двух шкал DAR–R с другими показателями гнева (табл. 5). Все это подтверждает факторную валидность русскоязычной версии опросника. Результаты КФА также позволили сделать вывод об инвариантности опросника по полу. Кроме того, все три показателя DAR–R оказались слабо негативно связанными с шкалой «Контроль экспрессии гнева» STAXI и слабо позитивно связанными с параметром «Физическая агрессия» BPAQ, что подтверждает конструктную дискриминантную валидность. В пользу конструктной конвергентной валидности DAR–R свидетельствуют достаточно сильные положительные корреляции между шкалами DAR–R и остальными параметрами BPAQ, NAS и STAXI. При адаптации удалось подтвердить внутреннюю согласованность методики и устойчивость результатов во времени (тест-ретест, 3 недели) для всех показателей DAR–R.

Методология нашего исследования имеет ряд ограничений и связанных с ними исследовательских перспектив. Одним из ограничений являются особенности привлеченной выборки: во-первых, участники исследования не являются репрезентативным отражением населения России — среди участников исследования преобладают женщины, а мужская часть выборки представлена в большей степени пожарными-спасателями МЧС России. Во-вторых, наша выборка была неклинической, а значит, полезность DAR–R для лиц с психическими расстройствами еще предстоит изучить. В-третьих, полученные данные носят корреляционный характер и для оценки прогностической валидности необходимо проведение лонгитюдного исследования. В свою очередь, прогностическая валидность может быть полезна для решения задач по прогнозированию деликвентного агрессивного поведения и склонности к психосоматическим заболеваниям. Четвертое замечание: необходимо дальнейшее изучение точки отсечения (cut-off) на клинической и судебно-медицинской выборках. И пятое, было бы полезно оценить, чувствительна ли двухфакторная модель DAR–R к изменениям, происходящим после тренинга навыков управления гневом или при получении аналогичного лечения.

Тем не менее, несмотря на перечисленные ограничения и названные перспективы психометрического анализа русскоязычной версии DAR–R, методика может быть признана валидным и надежным скрининговым инструментом для оценки реакции гнева во многих видах и отраслях психологической деятельности (например, в психодиагностике, психотерапии, психологии труда, экстремальной психологии) при условии, что респондент психически здоров и старше 18 лет.

Выводы

  1. Русскоязычная версия DAR–R обладает двухфакторной структурой, позволяющей оценить выраженность таких параметров, как «Реагирование гневом» и «Нарушения, вызванные гневом» (две субшкалы опросника), а также величину суммарного показателя выраженности гнева (шкала «Общая реакция гнева»).
  2. Двухфакторная структура русскоязычной версии DAR–R продемонстрировала инвариантность по полу респондентов.
  3. Надежность адаптированной на российской выборке DAR–R подтверждена с помощью коэффициентов α Кронбаха, значения которых составили 0,81 для субшкалы «Реагирование гневом», 0,74 для субшкалы «Нарушения, вызванные гневом» и 0,85 для шкалы «Общая реакция гнева».
  4. Русскоязычная версия DAR–R продемонстрировала хороший уровень устойчивости результатов во времени (3 недели), что подтверждает тест-ретестовую надежность: r = 0,80 для субшкалы «Реагирование гневом», r = 0,69 для субшкалы «Нарушения, вызванные гневом» и r = 0,78 для шкалы «Общая реакция гнева» (p < 0,001, n = 106).
  5. Показатели субшкал «Реагирование гневом», «Нарушения, вызванные гневом» и шкалы «Общая реакция гнева» оказались слабо негативно связанными с шкалой «Контроль экспрессии гнева» STAXI и позитивно с параметром «Физическая агрессия» BPAQ, что обеспечивает конструктную дискриминантную валидность адаптируемого на русский язык опросника DAR–
  6. Достаточно сильные положительные корреляционные связи между показателями DAR–R и другими параметрами BPAQ, NAS и STAXI подтверждают конструктную конвергентную валидность DAR–R на русском языке.
  7. Адаптация русскоязычной версии DAR–R проводилась на популяционной выборке, следовательно, требует осторожности при использовании опросника в клинической психодиагностике.

Литература

  1. Гомер. Илиада. Песнь I. Язва. Гнев. URL: https://rvb.ru/homerus/iliada/01text/01.htm (дата обращения: 28.10.2023). Homer. The Iliad. Canto I. The ulcer. Anger. (In Russ.). URL: https://rvb.ru/homerus/iliada/01text/01.htm (viewed: 28.10.2023).
  2. Гуриева, С.Д., Захарова, А.М. (2017). Контроль гнева как компонент межкультурной компетентности. В: Психология XXI века: системный подход и междисциплинарные исследования. Сборник научных трудов участников международной научной конференции молодых ученых: В 2 тт. Т. 2. (с. 306—311). СПб.: Скифия–принт. Gurieva, S.D., Zakharova, A.M. (2017). Anger control as a component of intercultural competence. In: Psychology of the XXI century: a systematic approach and interdisciplinary research. Collection of scientific papers of participants of the international scientific conference of young scientists (pp. 306—311). Saint–Petersburg: Skifia–print. (In Russ.).
  3. Ениколопов, С.Н., Цибульский, Н.П. (2007). Психометрический анализ русскоязычной версии Опросника диагностики агрессии А. Басса и М. Перри. Психологический журнал, 28(1), 115—124. Enikolopov, S.N., Tsibulsky, N.P. (2007). Psychometric analysis of the Russian–language version of the Questionnaire for the diagnosis of aggression by A. Bass and M. Perry. Psychological Journal, 28(1), 115—124. (In Russ.).
  4. Митина, О.В. (2013). Разработка и адаптация психологических опросников. М.: Смысл. Mitina, O.V. (2013). Development and adaptation of psychological questionnaires. Moscow: Smysl. (In Russ.).
  5. Саидов, А.А. (2019). Гнев и агрессивное поведение как результат неудовлетворенности жизнью. Проблемы современного педагогического образования, 62(2), 313—317. Saidov, A.A. (2019). Anger and aggressive behavior as a result of dissatisfaction with life. Problems of modern pedagogical education, 62(2), 313—317. (In Russ.).
  6. Шамшикова, О.А., Белашина, Т.В. (2015). Психометрический анализ опросника «Оценка проявлений гнева» (STAXI–2) Ч.Д. Спилбергера. Мир науки, культуры, образования, 55(6), 269—273. Shamshikova, O.A., Belashina, T.V. (2015). Psychometric analysis of the questionnaire “Assessment of anger manifestations” (STAXI–2) by Ch.D. Spielberger. The World of Science, Culture and Education, 55(6), 269—273. (In Russ.).
  7. Anderson, C.A., Bushman, B.J. (2001). Human aggression. Annual Review of Psychology, 53(1), 27—51. https://doi.org/10.1146/annurev.psych.53.100901.135231
  8. Brown, T. (2015). Confirmatory factor analysis for applied research. N.Y.: The Guilford Press.
  9. Bryant, R.A. (2022). The nature of posttraumatic stress disorder in treatment–seeking first responders. European Journal of Psychotraumatology, 13(1), 2011602. https://doi.org/10.1080/20008198.2021.2011602
  10. Buss, A.H., Perry, M. (1992). The Aggression Questionnaire. Journal of Personality and Social Psychology, 63(3), 452—459. https://doi.org/10.1037//0022-3514.63.3.452
  11. Ceschi, G., Selosse, G., Nixon, R.D.V., Metcalf, O., Forbes, D. (2020). Posttraumatic anger: a confirmatory factor analysis of the Dimensions of Anger Reactions Scale–5 (DAR–5) — French adaptation. European Journal of Psychotraumatology, 11(1). https://doi.org/10.1080/20008198.2020.1731127
  12. Eckhardt, C.I., Kassinove, H., Tsytsarev, S.V., Sukhodolsky, D. (1995). A Russian Version of the State–Trait Anger Expression Inventory: Preliminary Data. Journal of Personality Assessment, 64(3), 440—455. https://doi.org/10.1207/s15327752jpa6403_4
  13. Feeny, N.C., Zoellner, L.A., Foa, E.B. (2000). Anger, dissociation, and posttraumatic stress disorder among female assault victims. Journal of Traumatic Stress, 13(1), 89—100. https://doi.org/10.1023/A:1007725015225
  14. Forbes, D., Alkemade, N., Hopcraft, D., Hawthorne, G., O’Halloran, P., Elhai, J.D., McHugh, T., Bates, G., Novaco, R.W., Bryant, R., Lewis, V. (2014a). Evaluation of the Dimensions of Anger Reactions–5 (DAR–5) Scale in combat veterans with posttraumatic stress disorder. Journal of Anxiety Disorders, 28(8), 830—835. https://doi.org/10.1016/j.janxdis.2014.09.015
  15. Forbes, D., Alkemade, N., Mitchell, D., Elhai, J.D., McHugh, T., Bates, G., Novaco, R.W., Bryant, R., Lewis, V. (2014b). Utility of the dimensions of anger reactions–5 (DAR–5) scale as a brief anger measure. Depression and Anxiety, 31(2), 166—173. https://doi.org/10.1002/da.22148
  16. Gardner, F.L., Moore, Z.E., Dettore, M. (2014). The Relationship Between Anger, Childhood Maltreatment, and Emotion Regulation Difficulties in Intimate Partner and Non–Intimate Partner Violent Offenders. Behavior Modification, 38(6), 779—800. https://doi.org/10.1177/0145445514539346
  17. George, D., Mallery, P. (2016). IBM SPSS Statistics 23 Step by Step: A Simple Guide and Reference. N.Y.: Routledge.
  18. Goulart, A.C., Bismarchi, D., Rienzo, M., Syllos, D.H., Wang, Y.P. (2020). Dimensions of Anger Reactions (DAR–5): a useful screening tool for anger in the general population. International Journal of Psychiatry in Clinical Practice, 25(4), 421—429. https://doi.org/10.1080/13651501.2020.1821893
  19. Hawthorne, G., Mouthaan, J., Forbes, D., Novaco, R.W. (2006). Response categories and anger measurement: do fewer categories result in poorer measurement? Development of the DAR–5. Soc Psychiatry Epidemiol, 41(2), 164—172. https://doi.org/10.1007/s00127-005-0986-y
  20. Ijaz, D., Asad, D., Kanwal, S. (2021). Translation and validation of Dimensions of Anger Reactions — Revised. Harf-o-Sukhan, 5(4), 302—307.
  21. Jarvis, K.L., Gordon, E.E., Novaco, R.W. (2005). Psychological distress of children and mothers in domestic violence emergency shelters. Journal of Family Violence, 20(6), 389—402. https://doi.org/10.1007/s10896-005-7800-1
  22. Kannis-Dymand, L. (2019). Dimensions of Anger Reactions‐Revised (DAR–R): Validation ofa brief anger measure in Australia and Spain. Journal of clinical psychology, 75(7), 1233—1248. https://doi.org/10.1002/jclp.22757
  23. Kim, H.J., Lee, D.H., Kim, J.H. et al. (2023). Validation of the Dimensions of Anger Reactions Scale (the DAR–5) in non-clinical South Korean adults. BMC Psychology, 11(1). https://doi.org/10.1186/s40359-023-01084-8
  24. Kline, P. (2000). Handbook of psychological testing. London: Routledge.
  25. Meffert, S.M., Metzler, T.J., Henn–Haase, C., McCaslin, S., Inslicht, S., Chemtob, C., Neylan, T., Marmar, C.R. (2008). A prospective study of trait anger and PTSD symptoms in police. Journal of Traumatic Stress, 21(4), 410—416. https://doi.org/10.1002/jts.20350
  26. Nederlof, A.F., Hovens, J.E., Muris, P., Novaco, R.W. (2009). Psychometric evaluation of a Dutch version of the Dimensions of Anger Reactions. Psychological reports, 105(2), 585—592. https://doi.org/10.2466/PR0.105.2.585-592
  27. Novaco, R. (1994). Anger as a risk factor for violence among the mentally disordered. Violence and mental disorder: Developments in risk assessment (J. Monahan, H. Steadman, eds.). Chicago: University of Chicago Press.
  28. Novaco, R.W., Swanson, R.D., Gonzalez, O.I., Gahm, G.A., Reger, M.D. (2012). Anger and postcombat mental health: validation of a brief anger measure with US soldiers postdeployed from Iraq and Afghanistan. Psychological assessment, 24(3), 661—675. https://doi.org/10.1037/a0026636
  29. Novaco, R.W. (1975). Dimensions of anger reactions. Irvine, CA: University of California.
  30. Novaco, R.W., Chemtob, C.M. (2002). Anger and combat–related posttraumatic stress disorder. Journal of Traumatic Stress, 15(2), 123—132.
  31. Speilberger, C.D. (1998). State–trait anger expression inventory professional manual. Odessa (FL): Psychological Assessment Resources.
  32. Spielberger, C.D. (1988). State‐trait anger expression inventory: Professional manual. Wiley.
  33. Tabachnick, B., Fidell, L., Ullman, J. (2013). Using multivariate statistics. Boston, MA: Pearson.
  34. Turgoose, D., Murphy, D. (2018). Anger and aggression in UK treatment–seeking veterans with PTSD. Healthcare, 6(3), Article 86. https://doi.org/10.3390/healthcare6030086

Приложение

Приложение

Пересмотренная шкала «Измерение реакций гнева» (DAR–R)

Инструкция. Обведите вариант, который лучше всего описывает ваше состояние за последние 4 недели.

Утверждение

Категорически не согласен

Не согласен

Частично согласен

Согласен

Полностью согласен

Я часто замечаю, что злюсь на людей или ситуации

0

1

2

3

4

Когда я злюсь, я злюсь очень сильно

0

1

2

3

4

Когда я злюсь, я остаюсь злым еще какое-то время

0

1

2

3

4

Когда я злюсь на кого-то, мне хочется ударить этого человека

0

1

2

3

4

Мой гнев мешает мне выполнять работу или заниматься другими делами

0

1

2

3

4

Мой гнев мешает мне ладить с людьми так хорошо, как я хотел бы

0

1

2

3

4

Мой гнев негативно сказывается на моем здоровье

0

1

2

3

4

Интерпретация и ключи. Общий показатель гнева рассчитывается путем суммирования баллов по всем пунктам опросника. Чем выше общий балл, тем более характерно для респондента реагирование гневом.

Тестовые нормы.

  • Показатель «Общая реакция гнева»: низкому уровню соответствует сумма баллов от 0 до 3, уровню ниже среднего — от 4 до 7 баллов, среднему уровню — от 8 до 14 баллов, уровню выше среднего — от 15 до 20 баллов, и наконец, высокому уровню — от 21 до 28 баллов.
  • Субшкала «Реагирование гневом»: низкому уровню соответствует сумма баллов, находящаяся в диапазоне от 0 до 2, уровню ниже среднего — от 3 до 5 баллов, среднему уровню — от 6 до 8 баллов, уровню выше среднего — от 9 до 13 баллов, высокому уровню — от 14 до 16 баллов.
  • Субшкала «Нарушения, вызванные гневом»: низкому уровню соответствует сумма баллов, равная 0, уровню ниже среднего — сумма баллов от 1 до 2, среднему уровню — от 3 до 5 баллов, уровню выше среднего — от 6 до 9 баллов, высокому уровню — от 10 до 12 баллов.

Информация об авторах

Татьяна Александровна Шмарина, аспирантка департамента психологии факультета социальных наук, старший преподаватель и стажер-исследователь департамента психологии, Национальный исследовательский университет «Высшая школа экономики» (ФГАОУ ВО «НИУ ВШЭ»), Москва, Российская Федерация, ORCID: https://orcid.org/0000-0003-1585-3084, e-mail: tatyana_shmarina@mail.ru

Лилия Дмитриевна Блинова, , инженер по подготовке персонала Центра компетенций по культуре безопасности и надежности человеческого фактора, Техническая академия Росатома (АНО ДПО «Техническая академия Росатома»), Москва, Российская Федерация, ORCID: https://orcid.org/0000-0001-8896-678X, e-mail: blinova.lilia.psy@gmail.com

Вклад авторов

Шмарина Т.А. — идеи исследования; контроль за проведением исследования; аннотирование, применение статистических, математических или других методов для анализа данных, визуализация результатов исследования, написание и оформление рукописи.

Блинова Л.Д. — проведение эксперимента; сбор и анализ данных; применение статистических, математических или других методов для анализа данных, визуа- лизация результатов исследования.

Все авторы приняли участие в обсуждении результатов и согласовали окончательный текст рукописи

Конфликт интересов

Авторы заявляют об отсутствии конфликта интересов.

Метрики

 Просмотров web

За все время: 515
В прошлом месяце: 118
В текущем месяце: 64

 Скачиваний PDF

За все время: 165
В прошлом месяце: 32
В текущем месяце: 22

 Всего

За все время: 680
В прошлом месяце: 150
В текущем месяце: 86