Психологическое благополучие и успешность обучения обучающихся 5-11 классов: анализ латентных профилей

45

Резюме

Контекст и актуальность. Проблемы, с которыми индивид сталкивается в подростковом возрасте, могут иметь долговременные последствия не только для его школьной жизни, но и оказывать влияние на более поздние события: выбор профессии, семьи и благополучие во взрослом возрасте. Поэтому многие исследователи стремятся выделить факторы, связанные с возникновением трудностей и проблем в школьной жизни ребенка, чтобы выработать подходящие стратегии превенции или коррекции. Цель. Выделить и проанализировать латентные профили обучающихся 5–11 классов, с точки зрения академической успеваемости, психологического благополучия, когнитивного и физического состояния ребенка и оценить изменение латентных профилей от 5 к 11 классу. Методы и материалы. В исследовании участвовали 1387 обучающихся 5–11 классов в возрасте от 11 до 18 лет (51% девочек, средний возраст 13,68 лет. Исследованы показатели: индекс массы тела, индекс дневной сонливости, когнитивные показатели, академическая успешность, психологическое благополучие. Анализ данных проведён в программной среде R с использованием пакета mclust. Результаты. По итогам анализа наилучшими показателями обладает модель с 4 латентными профилями: латентный профиль 1 -  «Удовлетворительные ученики без трудностей» составил 11% (159 наблюдений), латентный профиль 2 «Успешные и довольные» - 28% (389 наблюдений), латентный профиль 3 «Перегруженные ученики» - 38% (525 наблюдений) и латентный профиль 4 «Слабо успевающие, но социально адаптированные» составляет 23% (313 наблюдений). Соотношение количества обучающихся каждого латентного профиля варьируется от 5 к 11 классу. Выводы. Выделенные латентные профили позволяют взглянуть на динамику психологического благополучия обучающихся от 5 к 11 классу с учетом большого количества параметров.

Общая информация

Ключевые слова: подростковый возраст, психологическое благополучие, успеваемость, когнитивные способности, латентные профили

Тип материала: научная статья

DOI: https://doi.org/10.17759/pse.2026000003

Поступила в редакцию 01.12.2025

Принята к публикации

Опубликована

Для цитаты: Малых, С.Б., Басюк, В.С., Рычкова, Л.В. (2025). Психологическое благополучие и успешность обучения обучающихся 5-11 классов: анализ латентных профилей. Психологическая наука и образование. Ранний доступ. https://doi.org/10.17759/pse.2026000003

Полный текст

Введение

Подростковый возраст является одним из наиболее критически важных периодов развития, когда множество когнитивных, психологических, физиологических и социальных изменений накладываются друг на друга, что создает особую социальную ситуацию развития. Многие психологи и педагоги фиксируют снижение интереса к образовательному процессу, возникновение новой системы отношений со взрослыми и сверстниками, развитие нового образа «Я» (Выготский, 1931; Эльконин, 1971). Этот период также часто характеризуется эмоциональной неустойчивостью ребенка, возникновением тревожных расстройств и всплеском проблемного поведения (Lin, Guo, 2024; Briggs, 2009; Подольский и др., 2011). Те проблемы, с которыми индивид сталкивается в подростковом возрасте, могут иметь долговременные последствия не только для его школьной жизни, но и оказывать влияние на более поздние события: выбор профессии, семьи и благополучие во взрослом возрасте (Sigurdson et al., 2015; Jonsson et al., 2011; Schlack et al., 2021). Именно поэтому многие исследователи стремятся выделить факторы, связанные с возникновением трудностей и проблем в школьной жизни ребенка, чтобы выработать подходящие стратегии превенции или коррекции.

Исследования психического развития ребенка показывают сложные взаимосвязи между когнитивными, эмоциональными, поведенческими и социальными факторами. Для того, чтобы учесть комплексный и разнообразный характер взаимосвязей этих характеристик, с одной стороны, и академической успеваемостью, с другой стороны, исследователи все чаще прибегают к исследовательскому подходу, ориентировaнному на личность (person-centered approach), в противовес подходу, центрированному на переменных (variable-centered approach). В то время как подход, центрированный на переменных, предполагает, что выборка или популяция может быть описана какими-то усредненными параметрами, личностно-ориентированный подход рассматривает индивида как единицу анализа, не стремясь сфокусироваться на какой-то одной стороне или характеристике, чтобы предоставлять исследователям и практикам более глубокое понимание социальной и психологической ситуации развития (Watt, Parker, 2020). Личностно-ориентированный подход предполагает, что выборка и / или генеральная совокупность неоднородны и могут состоять из нескольких подгрупп, каждая из которых обладает уникальным набором параметров, по-разному связанных друг с другом (Howard, Hoffman, 2017; Morin, Gagne, Bujacz, 2016).

Для выделения таких групп могут использоваться разные методы, наиболее популярным является анализ латентных профилей (Latent Profile Analysis, LPA) или латентных классов (Obersky, 2016). LPA основан на вероятностном моделировании, что делает его гибким инструментом для поиска скрытых гомогенных групп на основе ряда характеристик, интересующих исследователя (Howard, Hoffman, 2017). Кроме того, этот подход позволяет оценить степень неуверенности при выделении каждой группы. Алгоритм находит оптимальное количество групп и присваивает каждому наблюдению вероятность принадлежности к одной из них. В итоге получается набор латентных профилей (классов), каждый из которых имеет уникальный набор характеристик.

Предыдущие исследования психологических характеристик школьников с использованием анализа латентных профилей позволили увидеть неоднородность исследуемых популяций, с точки зрения выраженности различных характеристик и взаимосвязей между ними. Например, в исследовании обучающихся шестых классов в Бразилии на основе академических навыков, оценки проблемного поведения, социальных навыков было выделено 7 латентных профилей учеников, отличающиеся друг от друга по показателям адаптации, социальных навыков и успеваемости (Orpinas et al., 2014). При этом принадлежность к определенному профилю (слабо адаптированные и с низкой успеваемостью) являлась сильным предиктором исключения из школы. Другое исследование в США также показало неоднородность учеников с точки зрения социальной и психологической адаптации к школе, выделив три латентных профиля обучающихся («Хорошо адаптированные», «Низко адаптированные», «Средне адаптированные») (Mindrila, 2016). Интересно, что выделенные группы воспроизводились в нескольких возрастных когортах и были достаточно устойчивы во времени, хотя пропорция учеников в каждом латентном классе изменялась. Понимание специфики латентной группы обучающихся позволяет выработать более адресные воздействия по отношению к каждой группе.

Исследования, проведенные на российской выборке школьников, также показали перспективность такого подхода для более глубокого понимания процессов, происходящих в средней и старшей школе. В частности, исследование обучающихся 6–8 классов с точки зрения выраженности различных видов вовлеченности (поведенческой, когнитивной, эмоциональной и социальной) показало наличие нескольких латентных профилей обучающихся, которые стабильно воспроизводились в разных классах обучения (Моросанова, Потанина, 2024). При этом показано, что общее снижение вовлеченности при переходе из 6-го в 7-ой класс связано со снижением когнитивной вовлеченности, что может быть объяснено снижением общей познавательной активности.

В то же время надо отметить, что на российских данных нам удалось найти ограниченное количество исследований, в которых бы анализировались латентные профили обучающихся, с учетом как академической успеваемости, так и широкого набора психологических характеристик. Как правило, анализ психологического благополучия или школьной успеваемости проводится в рамках подхода, центрированного на переменных (например, анализ предикторов школьной успеваемости) (Тихомирова и др., 2015). Вместе с тем, личностно-ориентированный подход, позволяет составить более широкую картину происходящих процессов, учитывая возможную гетерогенность выборки.

Принимая во внимание вышесказанное, данное исследование имеет две цели:

1. Выделить и проанализировать латентные профили обучающихся 5–11 классов, с точки зрения академической успеваемости, психологического благополучия, когнитивных и физического состояния ребенка.

2. Оценить изменение наполненности латентных профилей от 5 к 11 классу.

Материалы и методы

В исследовании приняли участие 1387 обучающихся 5–11 классов в возрасте от 11 до 18 лет (51% девочек, средний возраст13.68 лет, ст. отклонение – 1.91) общеобразовательных учреждений Иркутской области. Для сбора данных использовались цифровые психодиагностические инструменты. Обучающиеся выполняли задания в компьютерных классах по единым протоколам под наблюдением члена исследовательской группы.

Распределение по классам представлено ниже в таблице 1.

Таблица 1 / Table 1

Распределение по классам

Distribution by classes

Класс / Class

Количество (%) / Quantity(%)

Средний возраст (станд. отклонение)/Averageage (st. deviation)

5

279 (20%)

11.28 (0.46)

6

232 (17%)

12.24 (0.47)

7

267 (19%)

13.32 (0.47)

8

201 (14%)

14.61 (0.71)

9

216 (16%)

15.27 (0.56)

10

125 (9%)

16.4 (0.49)

11

67 (5%)

17.33 (0.47)

Для выделения групп учеников использованы следующие показатели:

  1. Индекс массы тела (ИМТ). ИМТ рассчитан на основе показателей веса и роста и рассчитывается как соотношение веса (в кг) к квадрату роста (в метрах).

  2. Индекс дневной сонливости. Использована шкала сонливости (Pediatric Daytime Sleepiness Scale, Zakharov, I.M. et al., 2023). Более высокие показатели соответствуют большей выраженности дневной сонливости, участники, набравшие 16 баллов и более, относятся к группе, имеющей выраженную дневную сонливость. Всего в выборке 39 % обучающихся имеют показатели дневной сонливости выше нормы.

  3. Когнитивные показатели:

    1. Невербальный интеллект. Для измерения невербального интеллекта использован тест «Прогрессивные матрицы Равена» (Тест разделен на пять блоков, в каждом блоке 12 заданий, каждому правильно решенному заданию присваивается 1 балл. Таким образом, максимально возможная сумма баллов – 60.

    2. Пространственное мышление. Использован тест на пространственные способности и оценку технических способностей (Mechanical reasoning, Ecipenko E. et al., 2018). Тест включает в себя 16 тестовых заданий, за каждое правильно выполненное задание присваивается 1 балл, максимальный балл по тесту – 16.

    3. Словарный запас (Golovin, 2015). Тест измеряет объем словарного запаса, используется для экспресс-оценки вербального интеллекта (Масленникова Е.П. и др. 2017)Тест состоит из нескольких блоков. В данном случае использованы баллы, полученные по первому блоку. В этом блоке респонденту предъявляются поочередно слова, он должен отметить, знает или не знает он их значение. Для проверки также внедрены несуществующие слова. Максимальное количество баллов – 95 (число всех предъявленных слов минус число «фейковых» слов).

  4. Психологическое благополучие:

Для оценки эмоциональных и поведенческих проблем у детей и подростков был использован опросник сильных сторон и трудностей (The Strength and Difficulties Questionnaire- SDQ) (Goodman R., 2001,). В методике пять шкал по 5 пунктов в каждой: «Эмоциональные симптомы», «Проблемы с поведением», «Гиперактивность/невнимательность», «Проблемы со сверстниками» и «Просоциальное поведение». Валидизация и проверка психометрических характеристик SDQ на российской выборке была проведена В. Ручкиным с соавторами (Ruchkin V. et al. 2007). В данном исследовании использовалась русскоязычная версия опросника (Ruchkin V. et al. 2007). Для анализа использовались следующие шкалы опросника:

    1. Показатель эмоциональных проблем. Шкала эмоциональных проблем опросника SDQ позволяющая оценить наличие эмоциональных проблем и повышенной тревожности. Максимальное число баллов по этой шкале – 10.

    2. Показатель проблем со сверстниками. Шкала проблем со сверстниками опросника SDQ,позволяющая оценить наличие проблем в отношениях со сверстниками. Максимальное число баллов по этой шкале – 10.

Для оценки удовлетворенности жизнью была использована многомерная шкала удовлетворенности жизнью (Multidimensional StudentsLife Satisfaction Scale, MSLSS) (Huebner, 1994). Русскоязычная шкала включает в себя пять субшкал: удовлетворенность семьей; удовлетворенность школой; удовлетворенность учителем; удовлетворенность собой; удовлетворенность друзьями (Сычев и др., 2018; Tabueva A. et al., 2024). Для анализа использовались следующие шкалы опросника:

    1. Удовлетворенность семьей. Шкала удовлетворенности семьей методики MSLS показывает степень удовлетворенности своими отношениями с членами семьи. Максимальное число баллов по этой шкале – 30.

    2. Удовлетворенность школой. Шкала «Удовлетворенность школой» методики MSLS оценивает удовлетворенность детей школьной жизнью с точки зрения поддержки их интересов и общего отношения к школе и учебной деятельности. Максимальное число баллов по этой шкале – 30.

    3. Удовлетворенность собой. Шкала «Я сам» методики MSLS направлена на оценку уровня удовлетворенности самим собой и позитивного отношения к себе. Максимальное число баллов по этой шкале – 30.

5.Академическая успешность:

    1. Средние баллы (за 4 четверти) по математике (обучающиеся 5–6 классов), алгебре и геометрии (7–11 классы)

    2. Средние баллы (за 4 четверти) по русскому языку и литературе

Анализ данных.

Для выделения групп обучающихся на основе показателей их успеваемости, психологического благополучия и когнитивных характеристик использован метод анализа латентных профилей (Latent Profile Analysis, Muthen, 2001). Анализ латентных профилей относится к эксплораторным техникам, одним из типов моделирования латентными переменными. Однако латентные переменные в данном случае являются дискретными. Преимуществом дискретных латентных моделей является тот факт, что их распределение оценивается из данных вместо того, чтобы принимать допущение о нормальном распределении. Анализ латентных профилей подразумевает наличие «скрытых» подгрупп в общей выборке, что приводит к тому, что распределение переменных является смешением распределений в этих скрытых латентных группах.

Анализ латентных профилей использует вероятностное математическое моделирование на основе корреляций между переменными для выявления вероятных групп и распределения индивидов по ним. На первом этапе анализа алгоритм проверяет разные типы моделей с различным количеством латентных классов. Модели отличаются друг от друга не только числом латентных классов, но и разным типом ковариационных структур. В частности, модели могут различаться тем, насколько допускается различная дисперсия переменных внутри классов, допускается ли корреляция между переменными, может ли различаться объем кластеров.

На основе сопоставления нескольких статистических критериев выбирается модель, обладающая наилучшими показателями. К таким показателям относятся: максимальное правдоподобие (maximumlog-likelihood), Bayesian Information Criterion (BIC), Integrated Complete-data Likelihood (ICL) и показатель неопределенности модели. ICL рассчитывается на основе BIC, но при этом «штрафует» модели с высоким показателем неопределенности модели.

Перед включением в модель все переменные, за исключением когнитивных показателей, были стандартизированы относительно выборочного среднего (стандартизированные значения рассчитываются по формуле: («сырое» значение – среднее) / стандартное отклонение). Для того, чтобы учесть изменение когнитивных показателей от 5 к 11 классу, они были стандартизированы относительно среднего для соответствующего класса обучения («сырое» значение – среднее для класса) / стандартное отклонение для класса).

После выбора модели, обладающей лучшими показателями соответствия данным, мы сравнили полученные латентные профили по средним показателям выделенных переменных. Затем, была рассчитана пропорция каждого латентного профиля для обучающихся 5–11 классов, для каждого класса отдельно.

Анализ проведён в программной среде R с использованием пакета mclust.

Результаты

Распределение показателей переменных, включенных в анализ, показано в Таблице 2.

Таблица 2 / Table 2

Показатели переменных, включенных в анализ

Indicators of variables included in the analysis

Показатели / Indicators

Среднее/Average

Ст.отклонение / St. deviation

25-ый

Процентиль / 25th

percentile

75-ый процентиль / 75th

percentile

ИМТ/ IMT

20.47

4.11

17.66

22.13

Индекс дневной сонливости/ Daytime drowsiness index

13.75

6.40

9

18

Невербальный интеллект / Non –verbal intelligence

39.8

8.6

34

46

Пространственные способности /Spatialabilities

8.4

2.6

7

10

Словарный запас / Vocabulary

52.9

18.2

40

65

Эмоциональные проблемы / Emotional problems

3.15

2.63

1

5

Проблемы со сверстниками / Problems with peers

2.95

1.92

1

4

Удовлетворенность семьей/ Satisfaction with the family

18.8

4.98

20

28

Удовлетворенность школой / Satisfaction with the school

23.9

5.02

15

23

Удовлетворенность собой / Satisfaction with oneself

22.4

5.25

19

27

Средние баллы по математике / Average mathematics points

3.81

0.58

3.25

4.13

Средние баллы по русскому языку и литературе / Average points in the Russian language and literature

3.97

0.58

3.5

4.38

 

Далее были проверены корреляции Спирмена между выделенными показателями (Рис. 1).

Рис. 1

Рис. 1. Корреляции между переменными

Fig. 1. Correlations between variables

Анализ корреляций показывает, что ИМТ не имеет значимых корреляций с другими показателями, кроме слабой положительной корреляции со словарным запасом. Индекс дневной сонливости отрицательно связан с показателями удовлетворенности и положительно связан со шкалой эмоциональных проблем.

Показатели удовлетворенности сильно положительно коррелируют друг с другом и средне отрицательно с показателями проблем. Оценки по математике и русскому языку положительно связаны с показателями невербального интеллекта и удовлетворенностью школой.

Результаты анализа латентных профилей обучающихся.

По итогам анализа наилучшими показателями обладает модель с 4 латентными классами, при этом переменные внутри каждого латентного класса считаются некоррелированными, переменные также могут иметь разную дисперсию (diagonal, varying volume and shape). Показатели модели представлены в таблице ниже.

Таблица 3 / Table 3

Показатели модели по результатам анализа латентных профилей

Model indicators based on the results of the analysis of latent profiles

log-likelihood

 

BIC

 

df

ICL

Степень неопределенности / The degree of uncertainty

3625.9

6535.6

99

6422.97

 

0.03

 

Можно выделить основные характеристики каждого латентного профиля.

  1. Латентный профиль 1 (159 наблюдений, 11%)

«Удовлетворительные ученики без трудностей»

  • Значения когнитивных показателей близки к нулю, что указывает на средние показатели когнитивных способностей (относительно возрастных показателей).

  • Средняя удовлетворенность семьей и ниже среднего удовлетворенность школой (самая низкая из всех выделенных профилей).

  • Нет особой выраженности эмоциональных проблем или проблем в общении.

  • Оценки по математике и языку также близки к средним значениям или чуть ниже

Это группа удовлетворительно успевающих учеников без выраженных психологических трудностей, не очень удовлетворенных школой.

  1. Латентный профиль 2 (389 наблюдений, 28%)

«Успешные и довольные»

  • Высокие академические показатели и высокий уровень когнитивных способностей

  • Низкий уровень выраженности эмоциональных проблем и проблем в общении

  • Низкий уровень сонливости

  • Высокий уровень удовлетворенности семьей, школой и собой

Это группа учеников, которые в целом довольны своей жизнью, хорошо высыпаются, являются самыми успешными в учебе.

  1. Латентный профиль 3 (525 наблюдений, 38%).

«Перегруженные ученики»

  • Чуть выше среднего показатели ИМТ, высокий уровень сонливости, что может быть следствием перегруженности, стресса или нехватки сна

  • Очень низкие показатели удовлетворенности школой, семьей и собой

  • Высокие показатели эмоциональных проблем и проблем со сверстниками

  • Средняя успеваемость по математике и языку.

  • Показатели по когнитивным тестам чуть ниже средних для их возраста

Группа учеников, которые справляются с учебой, но испытывают высокий уровень стресса, усталости и недовольства своей социальной средой

  1. Латентный профиль 4 (313 наблюдений, 23%)

«Слабо успевающие, но социально адаптированные»

  • Уровень удовлетворенности семьей, школой и собой чуть выше среднего

  • Самые низкие академические результаты

  • Уровень эмоциональных проблем и проблем в общении со сверстниками ниже среднего

  • Уровень когнитивных способностей близок к среднему

  • Группа слабо успевающих учеников, не имеющие особых проблем с адаптацией и общением

Ниже на рисунке 2 представлены показатели переменных по четырем латентным профилям.

Рис. 2

Рис. 2. Показатели средних значений переменных для четырех латентных профилей

Fig. 2. Indicators of the average values of variables for four latent profiles

 

Далее мы проанализировали, как описанные латентные профили распределены по классам.

Рис. 3

Рис 3. Пропорция учеников каждого латентного профиля в классах

Fig. 3. The proportion of students of each latent profile in classes

Таким образом, можно увидеть, что пропорция учеников из каждого латентного профиля варьируется от класса к классу. В частности, пропорция «перегруженных учеников» (имеющих среднюю успеваемость, но низкую удовлетворенность и высокий уровень проблем) выше всего в 7 классе (53 %), а также в 10–11 классах (51 % и 49 % соответственно).

В свою очередь пропорция «успешных и довольных» учеников (высокие оценки и степень удовлетворенности) выше всего в 11 классе (43 %), а ниже всего в 9-м классе (15 %).

Слабо успевающие, но адаптированные ученики чаще встречаются в 6-м (37 %) и 9-м (34 %) классах. Надо также отметить, что в 7-м классе обучающиеся с таким латентным профилем не были выделены.

Обсуждение результатов

На основе показателей психологического благополучия, когнитивных характеристик, а также индекса сонливости и ИМТ выделены 4 латентных профиля обучающихся 5–11 классов. Наиболее многочисленным (38 % от выборки) является латентный профиль «Перегруженных учеников», которые в целом имеют удовлетворительные средние оценки по математике и русскому языку, но при этом указывают на наличие эмоциональных и социальных проблем, низкую удовлетворенность школой, семьей и собой, имеют высокую дневную сонливость. Половина учеников 7, 10 и 11 классов имеют такой профиль. Особенно высока доля «перегруженных учеников» в 7 классе.

Второй по представленности латентный профиль – «Успешные и довольные» (28 % наблюдений). Это ученики, которые имеют высокие оценки, высокие показатели когнитивных тестов, показатели удовлетворенности и низкий уровень проблем. Самая высокая пропорция таких учеников в 11 классе – 43 %. Самая низкая пропорция таких обучающихся, всего 15 %, в 9-м классе.

Также стоит обратить внимание на учеников с профилем «Слабо успевающие, но социально адаптированные» (23 % наблюдений). Такие ученики имеют самые низкие средние оценки по сравнению с другими профилями, но при этом не испытывают особых психологических проблем. Особенно велика доля таких учеников в 6-м (37 %) и 9-м (34 %) классах. Интересно, что в 7-м классе обучающиеся с таким профилем не обнаружены.

Наименее представленным (всего 11 % в выборке) оказался латентный профиль «Удовлетворительные ученики без трудностей». Ученики с этим профилем в целом имеют удовлетворительные показатели академической успеваемости и не имеют особенно выраженных проблем, однако имеют достаточно низкие показатели удовлетворенности школой.

Надо отметить, что в ходе анализа не выделена отдельная группа обучающихся, имеющих низкую успеваемость и низкие показатели психологического благополучия. Возможно, что доля таких школьников достаточно мала, чтобы выделиться в отдельный латентный профиль. С другой стороны, возможно, что эти дети не участвовали в исследовании в силу различных причин.

Выделенные латентные профили обучающихся позволяют взглянуть на динамику психологического и эмоционального благополучия от 5 к 11 классу с учетом большого количества параметров. Можно констатировать, что 5–6 классы являются относительно благополучными, с достаточно высокой пропорцией успешных и адаптированных учеников. В 6 классе возрастает доля слабо успевающих учеников, не имеющих выраженных психологических проблем. По всей вероятности, снижение успеваемости пока еще не отражается на психологическом благополучии в этом возрасте.

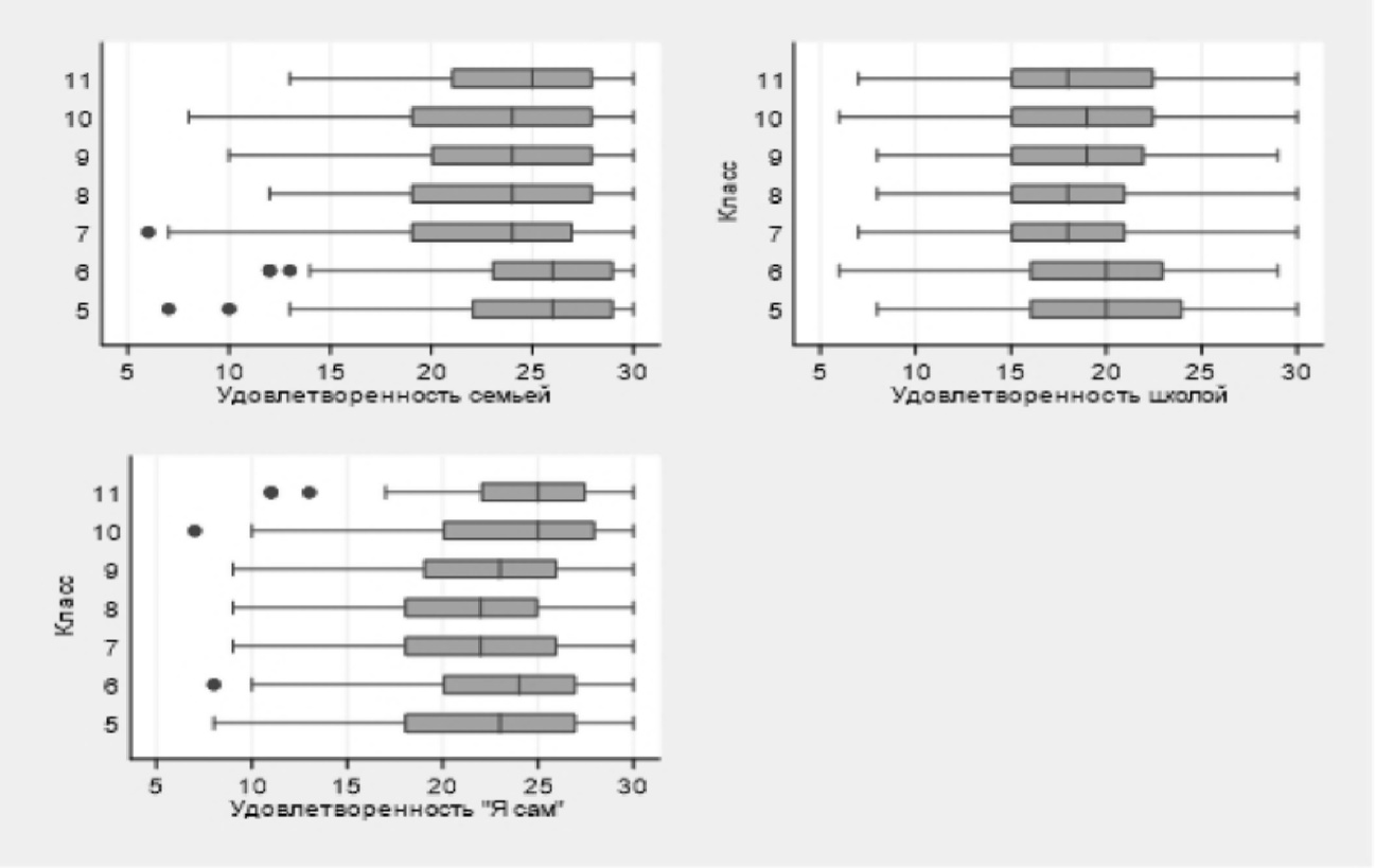
В 7-м классе картина меняется, по многим параметрам именно 7 класс является наиболее проблемным. С одной стороны, существенно возрастает доля «перегруженных» учеников, которые могут демонстрировать удовлетворительную успеваемость, но при этом испытывают проблемы как в отношениях со сверстниками, так и эмоциональные. Именно в этом классе обучающиеся демонстрируют наиболее низкий уровень удовлетворенности школой, семьей и собой (Рис. 4).

Рис. 4

Рис. 4. Распределение субшкал шкалы Удовлетворенности жизнью

Fig. 4. Distribution of a subscale on the scale of satisfaction with life

С другой стороны, в 7 классе не обнаружены ученики с профилем «Слабо успевающие, но адаптированные». Принимая во внимание резкое увеличение пропорции «перегруженных» школьников, возможно, что те обучающиеся, которые в 6 классе были в этом профиле, в 7 классе могут «переместиться» в менее благополучный профиль, с точки зрения психологического состояния. Конечно, имеющиеся данные не позволяют говорить о динамике с точки зрения индивидуальных траекторий перехода из одного латентного класса в другой, мы можем лишь предположить на основе данных о различиях между классами.

В 8 классе ситуация стабилизируется и соотношение учеников разных профилей становится примерно таким же, как в 6 классе.

В 9 классе ситуация опять меняется, поскольку по сравнению с предыдущими классами, увеличивается пропорция «средних учеников», но уменьшается доля «успешных учеников». Возможно, что это связано с усложнением школьной программы и необходимостью подготовки к Государственной итоговой аттестации.

Десятый и одиннадцатый классы имеют схожую картину с точки зрения представленности «перегруженных учеников». Среди обучающихся этих классов доля таких «перегруженных» очень высока и сравнима с ситуацией в 7 классе, хотя, возможно, причины такой ситуации могут быть другими. Например, анализ изменений показателей дневной сонливости выявил, что именно в 10 классе ученики имеют наивысшие средние показатели дневной сонливости (Рис. 5).

Рис. 5

Рис. 5. Распределение показателей шкалы дневной сонливости по классам

Fig. 5. Distribution of indicators of the scale of daily drowsiness by classes

 

С другой стороны, можно увидеть, что 10 и 11 классы отличаются друг от друга по наполненности «успешного» профиля, поскольку в 11 классе доля «успешных» учеников существенно выше, чем в 10-м классе. Надо, однако, отметить, что выборка обучающихся 11 классов мала, и ситуация может измениться, при увеличении выборки.

Заключение

По итогам анализа наилучшими показателями обладает модель с 4 латентными профилями: латентный профиль 1 - «Удовлетворительные ученики без трудностей» составил 11% (159 наблюдений), латентный профиль 2 «Успешные и благополучные» - 28% (389 наблюдений), латентный профиль 3 «Перегруженные ученики» - 38% (525 наблюдений) и латентный профиль 4 «Слабо успевающие, но социально адаптированные» составляет 23% (313 наблюдений). Соотношение количества обучающихся каждого латентного профиля варьируется от 5 к 11 классу.

С точки зрения выбора возможных мер коррекционной или превентивной работы, можно отметить, что обучающиеся в разных латентных профилях требуют разных подходов. Возможно, что с точки зрения учителей, наиболее проблемными выглядят ученики из профиля «Слабо успевающие, но адаптированные». Но с точки зрения долговременных последствий, профиль «перегруженных» учеников представляется более «рискованным».

Кроме того, стоит обратить внимание, что когнитивные показатели учеников в этом профиле немного ниже показателей школьников из «слабого» профиля, несмотря на более высокую академическую успеваемость. Можно предположить, что удержание успеваемости на сравнительно высоком уровне может быть достаточно затратным для многих учеников, с точки зрения психологического и физического благополучия. Возможно также, что небольшое снижение когнитивных показателей может быть связано с повышенным стрессом и усталостью, о чем свидетельствуют высокие показатели дневной сонливости.

Полученные результаты также свидетельствуют о том, что связи между показателями психологического благополучия, когнитивными и физическими характеристиками носят сложный характер, и могут меняться в различных подгруппах. Для более детального понимания необходимо как проведение детального анализа (например, моделирования структурными уравнениями) в отдельно выделенных латентных профилях, так и проведение лонгитюдных и качественных исследований.

Литература

  1. Выготский, Л.С. (1931). Педология подростка. Задания № 9—16.(с. 174—504). М.; Л.: Учпедгиз.
    Vygotsky, L.S. (1931). Pedology of a teenager. Tasks No. 9-16. (рр. 174-504). M.; L.: Uchpedgiz. (In Russ.).
  2. Головин, Г.В. (2015). Измерение пассивного словарного запаса русского языка. Социо- и психолингвистические исследования, 3, 148-159. 
    Golovin, G.V. (2015). Measurement of the passive vocabulary of the Russian language. Soci- and psycholinguistic research, 3, 148-159. (In Russ.).
  3. Масленникова, Е.П., Фекличева, И.В., Есипенко, Е.А., Шарафиева, К.Р., Исматуллина, В.И., Головин, Г.В., Миклашевский, А.А., Чипеева, Н.А., Солдатова, Е.Л. (2017). Словарный запас как показатель вербального интеллекта: применение экспресс-методики оценки словарного запаса. Вестник Южно-Уральского государственного университета. Серия: Психология, 10(3), 63-69. 
    Maslennikova, E.P., Fuklicheva, I.V., Esipenko, E.A., Sharafieva, K.R., Ismatullina, V.I., Golovin, G.V., Mikravsky, A.A., Chipeeva, N.A., Soldatova, E.L. (2017). The vocabulary as an indicator of verbal intelligence: the use of express vocabulary assessment of vocabulary. Bulletin of South Ural State University. Series: Psychology, 10 (3), 63-69. (In Russ.).
  4. Моросанова, В.И., Потанина, А.М. (2024). Индивидуально-типологические траектории школьной вовлеченности у подростков: лонгитюдное исследование. Психологическая наука и образование, 29(6), 178-191. https://doi.org/10.17759/pse.2024290612 
    Morosanova, V.I., Potanin, A.M. (2024). Individual-typological trajectories of school involvement in adolescents: longitudinal research. Psychological science and education, 29 (6), 178-191. https://doi.org/10.17759/pse.2024290612 (In Russ.).
  5. Подольский, А.И., Карабанова, О.А., Идобаева, О.А., Хейманс, П. (2011). Психоэмоциональное благополучие современных подростков: опыт международного исследования. Вестник Московского университета. Серия 14. Психология, 2, 9-20. 
    Podolsky, A.I., Karabanova, O.A., Idobaeva, O.A., Haimans, P. (2011). Psycho -emotional well -being of modern adolescents: the experience of international research. Bulletin of Moscow University. Series 14. Psychology, 2, 9-20. (In Russ.).
  6. Сычев О.А., Гордеева Т.О., Лункина М.В., Осин Е.Н., Сиднева А.Н. (2018) Многомерная шкала удовлетворенности жизнью школьников//Психологическая наука и образование, 23 (6), 5-15.
    Sychev O.A., Gordeeva T.O., Lunkina M.V., Osin E.N., Sidneva A.N. (2018) Multidimensional Students’ Life Satisfaction Scale. Psychological Science and Education, 23 (6), 5-15.doi: 10.17759/ pse.2018230601 (In Russ.).
  7. Тихомирова, Т.Н., Модяев, А.Д., Леонова, Н.М., Малых, C.Б. (2015). Факторы успешности в обучении на начальной ступени общего образования: половые различия. Психологический журнал, 36(5), 43-54. 
    Tikhomirova, T.N., Moddyaev, A.D., Leonova, N.M., Malykh, C.B. (2015). Factors of success in training at the primary level of general education: sexual differences. Psychological journal, 36 (5), 43-54. (In Russ.).
  8. Эльконин, Д.Б. (1989). К проблеме периодизации психического развития в детском возрасте. В: Избранные психологические труды. (60-77.). М.: Педагогика. 
    Elkonin, D.B. (1989). To the problem of periodization of mental development in childhood. V: Selected psychologists. (60-77.). M.: Pedagogy. (In Russ.).
  9. Briggs, S. (2009). Risks and opportunities in adolescence: Understanding adolescent mental health difficulties. Journal of Social Work Practice, 23(1), 49-64.
  10. Howard, M.C., Hoffman, M.E. (2018). Variable-centered, person-centered, and person-specific approaches: Where theory meets the method. Organizational Research Methods, 21(4), 846-876. https://doi.org/10.1177/1094428117744021.
  11. Huebner, E.S. (1994). Preliminary development and validation of a multidimensional life satisfaction scale for children. Psychological assessment, 6(2), 149.
  12. Jonsson, U., Bohman, H., Von Knorring, L., Olsson, G., Paaren, A., Von Knorring, A. L. (2011). Mental health outcome of long-term and episodic adolescent depression: 15-year follow-up of a community sample. Journal of affective disorders, 130(3), 395-404. https://doi.org/10.1016/j.jad.2010.10.046.
  13. Goodman, R. (2001). Psychometric properties of the strengths and difficulties questionnaire. Journal of the American Academy of Child & Adolescent Psychiatry, 40(11), 1337–1345. https://doi.org/10.1097/00004583-200111000-00015.
  14. Lin, J., Guo, W. (2024). The research on risk factors for adolescents’ mental health. Behavioral Sciences, 14(4), 263. https://doi.org/10.3390/bs14040263.
  15. Mindrila, D.L. (2016). A typology of child school behavior: Investigation using latent profile analysis and cluster analysis. Psychology in the Schools, 53(5), 471-487. DOI: 10.1002/pits.21917.
  16. Morin, A.J., Gagne, M., Bujacz, A. (2016). Feature topic: Person-centered methodologies in the organizational sciences. Organizational Research Methods, 19(1), 8-9. https://doi.org/10.1177/1094428115617592.
  17. Muthen, B.O. (2001). Latent variable hybrids: Overview of old and new models. In G.R. Hancock, K.M. Samuelsen (Ed.). Advances in latent variable mixture models. Charlotte, NC: Information Age, 1—24.
  18. Orpinas, P., Raczynski, K., Peters, J. W., Colman, L., Bandalos, D. (2015). Latent profile analysis of sixth graders based on teacher ratings: Association with school dropout. School Psychology Quarterly, 30(4), 577. https://doi.org/10.1037/spq0000107.
  19. Ruchkin, V., Koposov, R., Schwab Stone, M. (2007). The Strength and Difficulties Questionnaire: scale validation with Russian adolescents. Journal of Clinical Psychology, 63(9), 861–869. https://doi.org/10.1002/jclp.20401.
  20. Schlack, R., Peerenboom, N., Neuperdt, L., Junker, S., & Beyer, A. K. (2021). The effects of mental health problems in childhood and adolescence in young adults: Results of the KiGGS cohort. Journal of health monitoring, 6(4), 3.
  21. Sigurdson, J.F., Undheim, A.M., Wallander, J.L., Lydersen, S., Sund, A.M. (2015). The long-term effects of being bullied or a bully in adolescence on externalizing and internalizing mental health problems in adulthood. Child and adolescent psychiatry and mental health, 9, 1-13. https://doi.org/10.1186/s13034-015-0075-2.
  22. Zakharov, I.M., Ismatullina, V.I., Kolyasnikov, P.V., Marakshina, J.A., Malykh, A.S., Tabueva, A.O., Adamovich, T.V., Lobaskova, M.M., Malykh, S.B. (2023). An Independent Evaluation of the Psychometric Properties of the Russian Version of the Pediatric Daytime Sleepiness Scale (PDSS). Psychology in Russia: State of the Art, 16(3), 206–221. https://doi.org/10.11621/pir.2023.0314 
  23. Watt, H.M., Parker, P.D. (2020). Person-and variable-centred quantitative analyses in educational research: Insights concerning Australian students’ and teachers’ engagement and wellbeing. The Australian Educational Researcher, 47(3), 501-515. https://doi.org/10.1007/s13384-020-00390-z

Информация об авторах

Сергей Борисович Малых, доктор психологических наук, академик РАО, академик-секретарь Отделения психологии и возрастной физиологии, Российская академия образования (ФГБУ «РАО»), Москва, Российская Федерация, ORCID: https://orcid.org/0000-0002-3786-7447, e-mail: malykhsb@mail.ru

Виктор Стефанович Басюк, доктор психологических наук, академик РАО, вице-президент, Российская академия образования (ФГБУ «РАО»), Москва, Российская Федерация, ORCID: https://orcid.org/0000-0002-2448-0673, e-mail: basyuk.victor@raop.ru

Любовь Владимировна Рычкова, доктор медицинских наук, член-корреспондент РАН, Директор, Научный центр проблем здоровья семьи и репродукции человека (ФГБНУ НЦ ПЗСРЧ), Иркутск, Российская Федерация, ORCID: https://orcid.org/0000-0002-0117-2563, e-mail: rychkova.nc@gmail.com

Метрики

 Просмотров web

За все время: 106
В прошлом месяце: 17
В текущем месяце: 19

 Скачиваний PDF

За все время: 45
В прошлом месяце: 15
В текущем месяце: 3

 Всего

За все время: 151
В прошлом месяце: 32
В текущем месяце: 22