Адаптация версии Опросника стратегий поведения в значимых ситуациях (ОСПЗС) на китайском языке

 
Аудио генерируется искусственным интеллектом
 25 мин. чтения

Резюме

Контекст и актуальность. Изучению стратегий поведения посвящено немало научных работ, однако отмечается дефицит как психодиагностических методов, так и кросскультурных сравнительных исследований. Цель настоящего исследования состояла в адаптации русскоязычного Опросника стратегий поведения в значимых ситуациях (ОСПЗС) для китайского языка (часть 1 — стратегии поведения в трудных жизненных ситуациях). Опросник опирается на таксономическую решетку 6 типов и 30 видов стратегий поведения. Типы стратегий поведения выделяются в соответствии с разными уровнями и сферами бытия. Основная задача исследования заключалась в переводе опросника на китайский язык, выделении факторной структуры китайской версии опросника, определении ее валидности и надежности. Методы и материалы. Для решения этой задачи была проведена диагностика 490 китайских студентов вузов провинций Шаньси, Цзянси и Гуйчжоу последовательно по двум версиям адаптируемого опросника: 1) N = 273, M = 19,77 года, SD = 3,86; 69 мужчин, 204 женщины; 2) N = 217, M = 20,29 года, SD = 2,29; 89 мужчин, 128 женщин. Оценка конструктной валидности осуществлялась на основании анализа показателей двух групп китайских студентов: N = 459 и N = 183. Результаты. Адаптированный для китайского языка опросник состоит из 10 пунктов, входящих в два фактора: 1) стратегии поведения, ориентированные на внутренний мир; 2) стратегии поведения, ориентированные на внешний мир. Определена высокая ретестовая надежность и надежность по согласованности пунктов, дискриминантная, конвергентная и конструктная валидность. Вывод. Применение данной версии опросника позволяет выявить специфику стратегий совладания с жизненными трудностями у китайцев и может использоваться в кросскультурных исследованиях.

Общая информация

Ключевые слова: стратегии поведения, китайские студенты, адаптация опросников, психометрическое обоснование, факторная структура, культурная обусловленность

Рубрика издания: Психодиагностика

Тип материала: научная статья

DOI: https://doi.org/10.17759/exppsy.2025180209

Финансирование. Исследование выполнено за счет внутреннего гранта РГПУ им. А.И. Герцена (проект № 19ВГ).

Поступила в редакцию 12.11.2024

Поступила после рецензирования 17.02.2025

Принята к публикации

Опубликована

Для цитаты: Коржова, Е.Ю., Чжу, Ф., Веселова, Е.К. (2025). Адаптация версии Опросника стратегий поведения в значимых ситуациях (ОСПЗС) на китайском языке. Экспериментальная психология, 18(2), 154–168. https://doi.org/10.17759/exppsy.2025180209

© Коржова Е.Ю., Чжу Ф., Веселова Е.К., 2025

Лицензия: CC BY-NC 4.0

Подкаст

Полный текст

Введение

Психологи уделяют значительное внимание изучению вопроса эффективности поведения человека (Arunogiri, Sharp, Kulkarni, 2020; Fteiha, Awwad, 2020). Результаты многочисленных исследований в данной области свидетельствуют о том, что при встрече со стрессогенными событиями люди придерживаются определенных поведенческих стратегий с целью изменения как самой ситуации, так и своих эмоций и установок по отношению к ней (Сергиенко, Виленская, Ветрова, 2023; Chen, 2016). Отмечаются существенные различия в такого рода стратегиях у представителей различных народностей и культур. В последние годы значительно расширяется экономический и культурный обмен между Россией и Китаем, изучаются языки, традиции, обычаи и культурные особенности обеих стран, находятся новые пути взаимодействия. В связи с этим растет потребность в кросскультурных сравнительных исследованиях.

Китайскими психологами была проведена значительная работа как по адаптации и пересмотре зарубежных шкал, так и по разработке новых опросников, учитывающих особенности китайской культуры (Song, Buysse, Zhang, Lu, Zhao, Dewaele, 2022; Wu, Yu, Wu, Wan, Wang, Lu, 2020; Xu, Yang, 2023; Zhao, Chapman, Houghton, Lawrence, 2022). К таковым относится, например, «Краткий опросник способов совладания» (Xie, 1998), с помощью которого оцениваются негативные и позитивные стратегии поведения. Далее, «Шкала способов совладания для старшеклассников» (Chen, Zheng, Pan, Zheng, 2000) классифицирует способы совладания по семи типоам: фантазия, выражение эмоций, избегание, терпение, рациональное объяснение, поиск поддержки и решение проблемы. В большинстве же работ предпочтение отдается Опроснику копинг-стратегий (Coping Style Questionnaire), разработанному в 1993 году для изучения стратегий совладания (Roger, Jarvis, Najarian, 2009). На основе данного опросника в 1996 году была создана китайская версия, учитывающая особенности языка и культурного контекста страны и ориентированная на взрослых и подростков старше 14 лет (Xiao, Xu, 1996). Эта версия включает шесть факторов: избегание, фантазирование, самобичевание, поиск поддержки, рационализацию и решение проблем. Если «решение проблем» и «поиск поддержки» могут быть отнесены к зрелому типу защитных механизмов, отражающему стабильные личностные черты и способы поведения, то «избегание» и «самобичевание» соотносятся с незрелым типом стратегий совладания, подразумевающих эмоциональную и поведенческую нестабильность. Отсутствие возможности отнесения других факторов, таких, например, как «фантазирование» и «рационализация», к какой-либо известной категории приводит к выводу о необходимости разработки более адекватной системы классификации факторов.

Поведение китайцев определяется многовековыми культурными традициями, основанными на конфуцианских и даосистских этических принципах, согласно которым мудрый человек должен жить достойно, соблюдая правила и ритуалы, идти путем «золотой середины», быть уравновешенным, сдерживать проявление эмоций, знать свое место, не нарушать установленный порядок, не выставлять свои достоинства напоказ. Учет данных этических принципов (Руженцева, Чжан, 2016; Zhou, Li, 2022) является необходимым условием разработки диагностического инструментария.

Е.Ю. Коржовой была разработана таксономическая решетка стратегий поведения в значимых ситуациях. Каждый из шести типов стратегий поведения охватывает пять видов: соматически ориентированные; профессионально ориентированные; внепрофессионально ориентированные; социально ориентированные; ориентированные на внутренний мир как непосредственное реагирование на ситуацию на уровне восприятия и эмоций («внутренний мир — непосредственное реагирование») и ориентированные на внутренний мир как опосредованное реагирование на ситуацию («внутренний мир — опосредованное реагирование»). Опросник стратегий поведения в значимых ситуациях (ОСПЗС) включает два раздела: относящийся к трудным жизненным ситуациям и к жизненным ситуациям, приносящим удовлетворение (Коржова, 2002). Респонденту предлагается выбрать один из трех предлагаемых вариантов ответа: A — адаптивная стратегия (умеренная ее выраженность), B — дезадаптивная стратегия (чрезмерная ее выраженность) и C — отсутствие стратегии в поведенческом репертуаре респондента.

Целью настоящего исследования явилась адаптация версии Опросника стратегий поведения в значимых ситуациях для китайских пользователей и определение его структуры.

Решались следующие задачи: перевод опросника на китайский язык; анализ дискриминативности пунктов и опросника в целом; выделение факторной структуры китайской версии опросника; определение его валидности и надежности.

Материалы и методы

Оригинальная версия Опросника стратегий поведения в значимых ситуациях состоит из двух частей, рассматривающих стратегии поведения в трудных ситуациях и в ситуациях, приносящих удовлетворение, каждая из которых включает 30 пунктов (Коржова, 2002). Адаптации подверглась 1-я часть опросника, охватывающая стратегии поведения в трудных жизненных ситуациях. Как показано автором оригинальной версии, именно стратегии поведения в трудных жизненных ситуациях индивидуально специфичны и характеризуются существенными различиями (Коржова, 2002). Личностный потенциал наиболее ярко проявляется именно в ситуациях тех или иных затруднений, актуализирующих внутреннюю активность и личностный выбор. Стратегии поведения в трудных ситуациях нередко обозначаются как стратегии совладания — coping behavior, или coping (Lazarus, Folkman, 1984).

Для математического статистического анализа мы использовали программы SPSS 27.0 и AMOS 26.

Для проверки надежности опросника как согласованности пунктов был вычислен коэффициент α Кронбаха (приемлемое значение выше 0,7).

Для определения структуры китайской версии опросника мы применили эксплораторный и конфирматорный факторный анализ. В эксплораторном факторном анализе учитывались значения меры KMO и теста сферичности Бартлетта для оценки пригодности выборки для факторного анализа (приемлемое значение KMO выше 0,6; результаты теста сферичности Бартлетта должны достигать значимого уровня). Затем применялся метод главных компонент и вращение по методу Varimax для выявления общих факторов.

Для оценки конструктной валидности были использованы методики в адаптации на китайском языке: Опросник копинг-стратегий (Xiao, Xu, 1996) и Опросник жизненных ориентаций Е.Ю. Коржовой (Коржова, Цинь, Веселова, Дворецкая, 2023).

Выборка

Адаптация опросника проводилась с участием китайских студентов университетов провинций Шаньси, Цзянси и Гуйчжоу. Ниже представлено количество респондентов в каждой выборке и их возрастная характеристика (всего 490 респондентов) при опросе по разным вариантам китайской версии опросника. Первая версия: N = 273, M = 19,77 года, SD = 3,86; 69 мужчин, 204 женщины. Вторая версия: N = 217, M = 20,29 года, SD=2,29; 89 мужчин, 128 женщин. Для оценки конструктной валидности опрошены две выборки китайских студентов: N = 459, M = 22,53 года, SD = 3,59; 178 мужчин, 281 женщина; N = 183, M = 19,61 года, SD = 1,41; 31 мужчина и 152 женщины.

Результаты

На первом этапе работы оригинальный русскоязычный опросник был переведен на китайский язык с соблюдением требований к эквивалентному переводу (Бурлачук, 2008). Прямой перевод был выполнен двумя аспирантами — носителями китайского языка, для которых русский является первым иностранным языком. Один из переводчиков специализируется в русском языке, а другой — в психологии. Затем перевод был проверен методом обратного перевода автором оригинальной версии опросника с учетом смысловых и культурных особенностей. В результате переведенный на китайский язык опросник стратегий поведения в значимых ситуациях (1-я его часть) содержал такое же количество пунктов, что и оригинальный опросник.

Версия 1. Первая китайская версия опросника состоит из 30 пунктов и структурирована так же, как и оригинальная русская версия, в которой оценка осуществляется по трехбалльной шкале Лайкерта, где вариант A оценивается в 3 балла, вариант B — в 1 балл и вариант C — в 2 балла. После обработки данных опроса (N = 273) были получены промежуточные результаты, позволившие провести доработку первоначального китайского опросника.

Значение α Кронбаха превысило 0,7, то есть было приемлемым (Briggs, Cheek, 1986). Анализ α Кронбаха показал, что удаление любого пункта не оказывает значительного влияния на улучшение данного показателя, поэтому все пункты опросника были сохранены.

Далее были вычислены коэффициент Кайзера-Мейера-Олкина (KMO) и значение критерия Бартлетта. Поскольку KMO > 0,6 считается приемлемым, в наших данных KMO > 0,8 указывает на хорошее соответствие, а KMO > 0,9 — на отличное соответствие, было подтверждено, что полученное в нашем исследовании значение KMO = 0,851 является хорошим. Тест Бартлетта показал значение 2235,981 и уровень значимости меньше 0,05, что также свидетельствует о хорошем соответствии.

Значения общностей (communalities) больше 0,4 признаются удовлетворительными, показывая, какую часть дисперсии каждой из включенных в анализ переменных объясняет предлагаемая факторная модель. В то же время, если значение какого-либо пункта меньше 0,4, его следует удалить. Согласно полученным нами данным, значения всех пунктов превысили 0,4, что позволило нам провести эксплораторный факторный анализ.

Был проведен эксплораторный факторный анализ методом главных компонент с Varimax-вращением, в результате выделено 6 факторов (пункты 14, 13, 16, 15); (пункты 5, 4, 3, 1); (пункты 23, 22, 19, 20); (пункты 17, 21, 18, 10); На основании его результатов выявлено девять факторов, охватывающих следующие пункты (по убыванию нагруженности пунктов): фактор 1 (21, 24, 22, 25, 18, 28, 26, 16, 23); фактор 2 (20, 19); фактор 3 (15, 27, 7); фактор 4 (14, 13); фактор 5 (9, 8, 6); фактор 6 (29, 30, 11); фактор 7 (4, 3, 5); фактор 8 (1, 2); фактор 9 (17). Факторы, содержащие менее 3 пунктов, а также пункты 10 и 12, не относящиеся ни к одному из факторов, были удалены. Таким образом, согласно результатам эксплораторного факторного анализа, полученный при переводе на китайский язык опросник сократился до 21 пункта, распределенного по 5 факторам.

Рассмотрим результаты проведенного повторного эксплораторного факторного анализа. KMO и критерий Бартлетта вновь показали удовлетворительные значения. Тем не менее, в таблице общности значение пункта 6 оказалось ниже 0,4, а из таблицы «Повернутая матрица компонентов» следует, что он не относится ни к одному из факторов. Вследствие этого было принято решение удалить и этот пункт. Оставшиеся пункты соответствовали предъявляемым требованиям.

Вновь проведенный эксплораторный факторный анализ привел к выделению следующих пяти факторов с 20 пунктами: фактор 1 (25, 26, 18, 22, 16, 21, 24); фактор 2 (8, 9, 23, 11); фактор 3 (29, 30, 28); фактор 4 (15, 7, 27); фактор 5 (4, 3, 5).

Исключение пунктов, не соотнесенных ни с одним из факторов, позволило перейти к этапу конфирматорного факторного анализа, по итогам которого из-за низкой факторной нагрузки в факторах 2 и 5 пункты 4, 3, 5, 8, 9, 23, 11 были удалены.

После проведенного эксплораторного факторного анализа были получены 3 фактора: фактор 1 (15, 18, 22, 25, 26); фактор 2 (21, 24, 28, 29, 30); фактор 3 (7, 15, 27). Выполнив конфирматорный факторный анализ для полученных трех факторов, мы убедились, что факторная нагрузка по-прежнему слишком низкая для четырех пунктов. Вопреки этому другие показатели были достаточно хорошими, поэтому было решено внести небольшие изменения в формулировки вопросов с последующим анализом полученных данных.

Версия 2. Рассмотрев мнения участников опроса и привлеченных специалистов, мы внесли изменения в вопросы с низкой факторной нагрузкой в соответствии с лингвокультурологическими характеристиками китайцев. После этого мы распространили бланки опросника в двух вузах КНР (N = 217).

Значение α Кронбаха для собранных данных оказалось на приемлемом уровне, поскольку превысило 0,7. Более того, удаление пункта 7 увеличило надежность адаптированной нами версии опросника до 0,840.

Затем был применен тест KMO и критерий Бартлетта. Значение KMO составило 0,877, то есть оказалось приемлемым. В таблице общности значение для пункта 1 составило 0,397 (<0,4), что очень близко к стандартному значению, поэтому мы оставили его для факторного анализа.

В результате эксплораторного факторного анализа на этом этапе мы вновь выделили три фактора. При этом распределение пунктов было совсем иным: фактор 1 (26, 27, 28, 29, 30); фактор 2 (7, 15, 16, 18, 22); фактор 3 (21, 24, 25).

Проведенный после этого конфирматорный факторный анализ для выделенных трех факторов показал, что факторная нагрузка для пунктов 7 и 24 слишком низкая. С учетом низких значений данных показателей при эксплораторном факторном анализе было принято решение об их удалении.

После этого был проведен эксплораторный факторный анализ для оставшихся пунктов. Результаты показали, что значение для пункта 25 составило 0,246, что значительно ниже остальных показателей, поэтому он также был изъят из опросника.

Проведя повторный эксплораторный факторный анализ для оставшихся 10 пунктов, мы получили результаты, удовлетворяющие статистическим требованиям, и выделили 2 фактора: фактор 1 (26, 27, 28, 29, 30); фактор 2 (15, 16, 18, 21, 22).

В результате все показатели эксплораторного факторного анализа соответствовали статистическим требованиям: факторные нагрузки каждой латентной переменной больше 0,5 (табл. 1).

Таблица 1 / Table 1

Результаты факторного анализа: матрица факторов

Results of Factor Analysis: Factor Matrix

Пункты /

Items

Фактор 1 /

Factor 1

Фактор 2 /

Factor 2

27. Фантазирование / Fantasy

0,771

 

29. Регрессия / Regression

0,740

 

30. Изменение самооценки / Self-esteem change

0,733

 

28. Рационализация / Rationalization

0,589

 

26. Интроекция / Introjection

0,519

0,461

15. Природа / Nature

 

0,790

18. Проекция / Projection

 

0,708

21. Отрицание / Denial

 

0,563

16. Приспособление к другим / Adjustment to others

 

0,559

22. Тревога / Anxiety

 

0,504

Дисперсия / Variance: 51,445%

27,532 %

23,913 %

Примечание: нагрузки менее 0,4 не указаны.

Note: Loadings below 0.4 are not shown.

 

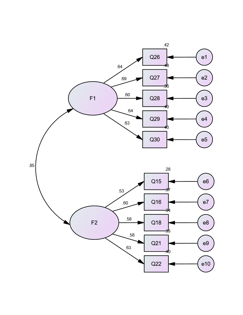
На следующем этапе применялся конфирматорный факторный анализ. Нами построена структурная модель стратегий поведения в значимых ситуациях (трудные жизненные ситуации) (рис.).

Рис.

Рис. Структурная модель стратегий поведения в жизненных ситуациях (трудные жизненные ситуации): китайская версия

Условные обозначения: F1, F2 — факторы стратегий поведения в окончательной китайской версии опросника; в прямоугольных контурах — явные переменные-индикаторы; в округлых контурах — латентные переменные; числа у направленных стрелок — стандартизованные коэффициенты регрессии; числа у стрелок — значения корреляции между переменными
Fig. Structural Model of Behavioral Strategies in Life Situations (Challenging Life Situations): Chinese Version

Symbols: F1, F2 — factors of behavior strategies in the final Chinese version of the questionnaire; in rectangular contours — explicit indicator variables; in rounded contours — latent variables; numbers for directional arrows — standardized regression coefficients; numbers for arrows — correlation values between variables

 

Индексы согласия структурной модели (табл. 2) показывают приемлемый результат.

 

Таблица 2 / Table 2

Индексы согласия структурной модели

Goodness-of-Fit Indices for the Structural Model

Индексы согласия / Agreement indices

X2/df

RMSEA

RMR

GFI

CFI

Значения / Values

1,483

0,047

0,016

0,962

0,974

Примечание: χ2 — критерий согласия; df — степени свободы; RMSEA — среднеквадратичная ошибка аппроксимации; RMR — среднеквадратичный остаток; GFI — сравнительный индекс согласия; CFI — сравнительный индекс соответствия.

Note: χ² — Chi-square goodness-of-fit test; df — degrees of freedom; RMSEA — Root Mean Square Error of Approximation; RMR — Root Mean Square Residual; GFI — Goodness-of-Fit Index; CFI — Comparative Fit Index.

 

Как видно из приведенной выше таблицы, значение X2/df равно 1,483, что меньше 3 и указывает на идеальное соответствие; RMSEA составляет 0,047, что меньше 0,08 и указывает на хорошее соответствие; RMR составляет 0,016, что меньше 0,05 и является  идеальным соответствием; GFI равно 0,962, что больше 0,9 и указывает на хорошее соответствие; CFI равно 0,974, что больше 0,9 и указывает на хорошее соответствие (Brown, 2006). На основании этих показателей был сделан вывод об устойчивости двухфакторной модели.

Учитывая содержание пунктов и их разделение на факторы, мы назвали два фактора, включающие 10 пунктов, следующим образом: F1 — стратегии поведения, ориентированные на внутренний мир; F2 — стратегии поведения, ориентированные на внешний мир.

Факторная нагрузка для каждого пункта, соответствующего выделяемым латентным переменным, превышает 0,5, что свидетельствует о высокой репрезентативности пунктов для каждой латентной переменной. Кроме того, средняя дисперсия AVE каждой латентной переменной близка к 0,4 или больше 0,4, что является приемлемым, и совокупная надежность CR больше 0,7, что указывает на хорошую конвергентную валидность (табл. 3).

 

Таблица 3 / Table 3

Конвергентная валидность китайской версии ОСПЗС

Convergent Validity of the Chinese Version of the BSSSQ

Переменные, входящие в факторы / Variables Included in Factors

 

 

 

Нагруженность / Factor Loading

AVE

CR

26

<---

F1

0,676

 

0,4398

 

0,7965

27

<---

F1

0,726

28

<---

F1

0,626

29

<---

F1

0,635

30

<---

F1

0,648

15

<---

F2

0,525

 

 

0,3426

 

 

0,722

16

<---

F2

0,598

18

<---

F2

0,578

21

<---

F2

0,597

22

<---

F2

0,624

 

Как видно из табл. 4, между двумя факторами существует значимая взаимосвязь. Наряду с этим, абсолютное значение корреляции меньше квадратного корня из соответствующего показателя AVE, что указывает на наличие корреляции между латентными переменными, а также на их хорошую дифференциацию. Последнее подтверждает хорошую дифференцирующую способность шкал.

Таблица 4 / Table 4

Дискриминантная валидность китайской версии ОСПЗС

Discriminant Validity of the Chinese Version of the BSSSQ

 

F1

F2

F1

0,4398

0,636**

F2

0,636**

0,3426

Квадратный корень AVE / Square Root of AVE

0,663

0,585

Примечание: ** — корреляция значима на уровне 0,01 (двухсторонняя).

Note: ** — correlation is significant at the 0.01 level (2-tailed).

 

Конструктная валидность. Результаты корреляционного анализа (N = 459) показали, что количество стратегий, ориентированных на внешний мир, положительно коррелирует со шкалой «поиск поддержки» и «планирование решения проблемы» Опросника копинг-стратегий (Xiao, 1996) (r = 0,306, p < 0,01; r = 0,530, p < 0,01), а количество  стратегий, ориентированных на внутренний мир, отрицательно коррелирует со шкалами  «избегание» и «самобичевание» (r = -0,282, p < 0,01; r = -0,138, p < 0,01). Результаты корреляционного анализа (N = 183) показали, что количество стратегий, ориентированных на внутренний мир, положительно коррелируют со шкалой «стремление к внутренней гармонии» китайской версии Опросника жизненных ориентаций (Коржова и др., 2023) (r = 0,253, p < 0,01; r = 0,285, p < 0,01), а количество стратегий, ориентированных на внешний мир, положительно коррелирует со шкалой «смелость бросить вызов трудностям» и «ясность цели в жизни» (r = 0,211, p < 0,01; r = 0,344, p < 0,01).

Надежность по согласованности пунктов (коэффициент α) для итогового показателя составил 0,776, для F1 α = 0,675, для F2 α = 0,631. Ретестовая надежность для итогового показателя имеет значение ρ = 0,766, для F1 ρ = 0,683, для F2 ρ = 0,627 при временном интервале 1 месяц (N = 183). Данные результаты указывают на высокую надежность и стабильность шкалы во времени.

Обсуждение результатов

Оригинальная версия опросника опирается на таксономическую решетку, разработанную Е.Ю. Коржовой, и применялся для выявления значимости тех или иных стратегий поведения. Каждый пункт опросника соотносился с одним из видов стратегий, что приемлемо в поведенческой диагностике. При сравнении выбора стратегий поведения в трудных жизненных ситуациях студенческой молодежью Китая и России с помощью данного опросника было обнаружено, что «китайские студенты чаще выбирают адаптивные, а не дезадаптивные, стратегии в рамках одного и того же типа, чем российские студенты, что можно объяснить стремлением избегать крайностей в жизни и в оценке ее проявлений. Также выявлено достоверно меньшее количество и адаптивных, и дезадаптивных стратегий соматического типа. Это может быть связано с тем, что в китайской культуре не принято фиксировать сознание на соматических проявлениях: китайцы предпочитают рассматривать телесную и духовную стороны человеческого бытия в их единстве»1.

Для повышения психометрической обоснованности опросника при его адаптации для китайского языка была проверена факторная структура. Китайская версия опросника включает 10 пунктов из первоначальных 30, которые можно считать наиболее значимыми для китайской выборки:

  1. Стратегии поведения, ориентированные на внутренний мир: пункт 26 (интроекция), 27 (фантазирование), 28 (рационализация), 29 (регрессия), 30 (изменение самооценки). В этот фактор вошли все пункты исходной версии опросника — виды стратегий поведения, относящиеся к типу «внутренний мир — опосредованное реагирование» (на уровне мышления и личности).
  2. Стратегии поведения, ориентированные на внешний мир: пункт 15 (природа), 16 (приспособление к другим), 18 (проекция), 21 (отрицание), 22 (тревога). В этот фактор вошли пункты исходного опросника, относящиеся к разным типам: природа — к внепрофессионально ориентированным стратегиям поведения; приспособление к другим и проекция — к социально ориентированным стратегиям; отрицание и тревога — к типу стратегий «внутренний мир — непосредственное реагирование» (на уровне восприятия и эмоций).

Китайская версия опросника обладает удовлетворительными валидностью (конвергентной, дискриминантной и конструктной) и надежностью (ретестовой и по согласованности пунктов).

В приложении приведен окончательный вариант китайской версии опросника.

В связи со значительными различиями в культуре и менталитете Китая и России можно полагать, что существуют различия и в стратегиях поведения. Поэтому представляется необходимым в дальнейшем сравнить как выборы стратегий поведения, так и их факторную структуру у китайцев и россиян.

Заключение

Адаптированная китайская версия Опросника стратегий поведения в значимых ситуациях (часть 1 — стратегии поведения в трудных ситуациях) состоит из 10 пунктов и двух факторов: F1 — стратегии, ориентированные на внутренний мир; F2 — стратегии, ориентированные на внешний мир. Китайская версия Опросника стратегий поведения в значимых ситуациях (трудные жизненные ситуации) соответствует китайским языковым особенностям и привычкам, обладает всеми необходимыми психометрическими характеристиками, что позволяет использовать ее при проведении:

а) сравнительных исследований стратегий совладания у китайцев и представителей других культур, включая Россию;

б) консультативной практики: выявления дезадаптивных паттернов поведения у студентов в условиях стресса;

в) в социокультурных исследованиях при анализе влияния культурно обусловленных ценностей на выбор стратегий преодоления трудностей.

Ограничения. Проведенное исследование имеет следующие ограничения, которые следует учитывать при интерпретации данных и дальнейшем использовании адаптированного опросника.

Ограничения выборки. Исследование проводилось среди студентов университетов провинций Шаньси, Цзянси и Гуйчжоу, однако выборка не была сбалансирована по половому признаку с преобладанием испытуемых женского пола.

Студенческая специфика. Участниками исследования были студенты, что ограничивает применимость выводов к другим социальным и возрастным группам. Например, работающие взрослые или лица с иным образовательным уровнем могут демонстрировать иные паттерны совладающего поведения.

Сокращение количества пунктов при адаптации. Сокращение оригинального опросника с 30 до 10 пунктов, хотя и обоснованное статистически, могло привести к упрощению модели стратегий поведения. Некоторые аспекты, имеющие существенное значение в русскоязычной версии, могли быть утрачены из-за культурной специфики или языковых нюансов.

Limitations. The present study has several limitations that should be considered when interpreting the data and further using the adapted questionnaire.

Sample limitations. The study was conducted among university students from the provinces of Shanxi, Jiangxi, and Guizhou. However, the sample was not gender-balanced, with a predominance of female participants.

Student-specific bias. Since the participants were university students, the generalizability of the findings to other social and age groups is limited. For example, working adults or individuals with different educational backgrounds may exhibit different coping behavior patterns.

Item reduction during adaptation. Although statistically justified, shortening the original questionnaire from 30 to 10 items might have oversimplified the behavioral strategies model. Some aspects that were significant in the Russian version may have been lost due to cultural differences or linguistic nuances.

 

1 Коржова, Е.Ю., Чжу, Ф., Дворецкая, М.Я., Туманова, Е.Н. (2024). Сравнительный анализ выбора стратегий поведения в трудных жизненных ситуациях китайскими и российскими студентами. Азимут научных исследований: педагогика и психология, 13, 3(48), 211—214.

Литература

  1. Бурлачук, Л.Ф. (2008). Словарь-справочник по психодиагностике: для практических психологов и психотерапевтов. 3-е изд, перераб. и доп. СПб. и др.: Питер.
    Burlachuk, L.F. (2008). Dictionary-handbook of psychodiagnostics. 3d ed. St. Petersburg: Piter Publ. (In Russ.).
  2. Коржова, Е.Ю. (2002). Психологическое познание судьбы человека. СПб.: Изд-во РГПУ им. А.И. Герцена; Союз.
    Korjova, E.Yu. (2002). Psychological knowledge of human destiny. St. Petersburg: Herzen University Press; Soiuz Publ. (In Russ.).
  3. Коржова, Е., Цинь, П., Веселова, Е., Дворецкая, М. (2023). Структура базовых жизненных ориентаций: этнокультурный аспект (на примере китайской версии Опросника субъект-объектных ориентаций). Вестник Санкт-Петербургского университета. Психология, 13(4), 493—508. https://doi.org/10.21638/spbu16.2023.404
    Korjova, E., Tsin, P., Veselova, E., Dvoretskaia, M. (2023). The structure of basic life orientations: Ethno-cultural aspect (using the example of the Chinese version of the Subject-Object Orientations Questionnaire). Vestnik Sankt-Peterburgskogo universiteta. Psikhologiia, 13(4), 493—508. https://doi.org/10.21638/spbu16.2023.404 (In Russ.).
  4. Коржова, Е.Ю., Чжу, Ф., Дворецкая, М.Я., Туманова, Е.Н. (2024). Сравнительный анализ выбора стратегий поведения в трудных жизненных ситуациях китайскими и российскими студентами. Азимут научных исследований: педагогика и психология, 13, 3(48), 211—214.
    Korzhova, E.Ju., Chzhu, F., Dvoreckaja, M.Ya., Tumanova, E.N. (2024). Comparative analysis of the choice of behavioral strategies in difficult life situations by Chinese and Russian students. Azimuth of Scientific Research: Pedagogy and Psychology, 13, 3(48), 211—214. (In Russ.).
  5. Руженцева, Н.Б., Чжан, И. (2016). Специфика коммуникативного поведения китайцев: восприятие носителями российской лингвокультуры. Педагогическое образование в России, 11, 89—95.
    Ruzhentseva, N.B., Zhang, I. (2016). The specifics of the communicative behavior of the Chinese: the perception of native speakers of the Russian linguistic culture. Pedagogicheskoe obrazovanie v Rossii, 11, 89—95. (In Russ.).
  6. Сергиенко, Е.А., Виленская, Г.А., Ветрова, И.И. (2023). Новый метод оценки психической регуляции — опросник «Контроль поведения». Экспериментальная психология, 16(1), 182—200. https://doi.org/10.17759/exppsy.2023160111
    Sergienko, E.A., Vilenskaja, G.A., Vetrova, I.I. (2023). A new method for assessing mental regulation — the questionnaire “Behavioral control”. Experimental Psychology (Russia), 16(1), 182—200. https://doi.org/10.17759/exppsy.2023160111 (In Russ.).
  7. Arunogiri, S., Sharp, G., Kulkarni, J. (2020). Coping styles and mental health in response to societal changes during the COVID-19 pandemic. International Journal of Social Psychiatry, 67, 540—549.
  8. Briggs, S.R., Cheek, J. (1986). The role of factor analysis in the development and evaluation of personality scales. J. Personality, 54, 106—148.
  9. Brown, T.A. (2006). Confirmatory factor analysis for applied research. New York: Guilford Press.
  10. Chen, C. (2016). The role of resilience and coping styles in subjective well-being among Chinese university students. The Asia-Pacific Education Researcher, 25, 377—387.
  11. Chen, S., Zheng, Q., Pan, J., Zheng, Sh. (2000). Preliminary development of the coping style scale for middle school students. Chinese Journal of Clinical Psychology, 8(4), 211—214. 陈树林,郑全全,潘健男,郑胜圣. (2000). 中学生应对方式量表的初步编制.中国临床心理学杂志, 8(4),211—214. (In Chinese).
  12. Fteiha, M., Awwad, N. (2020). Emotional intelligence and its relationship with stress coping style. Health psychology open, 7(2). https://doi.org/10.1177/2055102920970416
  13. Lazarus, R.S., Folkman, S. (1984). Stress, appraisal, and coping. New York: Springer publishing company.
  14. Roger, D., Jarvis, G., Najarian, B. (2009). Detachment and coping: The construction and validation of a new scale for measuring coping strategies. Personality and Individual differences, 15(6), 619—626.
  15. Song, C., Buysse, A., Zhang, W., Lu, C., Zhao, M., Dewaele, A. (2022). The Factor Structure and Population. Journal of Homosexuality, 71, 512—527.
  16. Wu, Y., Yu, W., Wu, X., Wan, H., Wang, Y., Lu, G. (2020). Psychological resilience and positive coping styles among Chinese undergraduate students: a cross-sectional study. BMC Psychology, 8, 79. https://doi.org/10.1186/s40359-020-00444-y
  17. Xiao, J., Xu, X. (1996). Validity and Reliability Study of the “Coping Style Questionnaire”. Chinese Journal of Mental Health, 4, 164—168. 肖计划,许秀峰. (1996). “应付方式问卷”效度与信度研究.中国心理卫生杂志, 4, 164—168. (In Chinese).
  18. Xie, Y. (1998). Preliminary Study on the Reliability and Validity of the Simplified Coping Style Questionnaire. Chinese Journal of Clinical Psychology, 2, 114—115.
  19. Xu, J., Yang, X. (2023). The influence of resilience on stress reaction of college students during COVID-19: the mediating role of coping style and positive adaptive response. Current Psychology, 43, 12120—12131. https://doi.org/10.1007/s12144-022-04214-4
  20. Zhao, J., Chapman, E., Houghton, S., Lawrence, D. (2022). Development and Validation of a Coping Strategies Scale for Use in Chinese Contexts. Frontiers in Psychology, 13:845769. https://doi.org/10.3389/fpsyg.2022.845769
  21. Zhou, S., Li, X. (2022). Zhongyong thinking style and resilience capacity in Chinese undergraduates: the chain mediating role of cognitive reappraisal and positive affect. Frontiers in Psychology, 13:814039. https://doi.org/10.3389/fpsyg.2022.814039

Приложение

Приложение / Appendix

Китайская версия Опросника стратегий поведения в значимых ситуациях

困境中行为策略问卷

 

亲爱的同学,您好!非常感谢您参与此次调查。我们希望通过本问卷了解您在困境中的行为策略,请从给出的三个答案中,选出您认为最符合您在处于困境中的行为模式的选项。请根据您的第一反应作出选择,并尽可能少地选择C选项。

 

如果我目前处于困境中,我会:

 

1.

A. 我陷入困境有自身的原因,也有其他原因。

В. 我陷入困境全是自己造成的。

C. 我会出现介于在选项A和B之间的某种行为,或者以上没有一个描述适合我。

 

2.

A. 短时间内想象如何解决困难。。

В. 长时间沉浸在解决困难的想象中。

C. 我会出现介于在选项A和B之间的某种行为,或者以上没有一个描述适合我。

 

3.

A. 我会辩证地看待眼前的困境

В. 给陷入困境找充足理由,认为这是无法避免的。

C. 我会出现介于在选项A和B之间的某种行为,或者以上没有一个描述适合我。

 

4.

A. 我会开始更多的关注自己,多交流,需要更多的关注。

В. 我会需要对自己的格外关注,需要他人的帮助,没有让人帮助无法走出困境。

C. 我会出现介于在选项A和B之间的某种行为,或者以上没有一个描述适合我。

 

5.

A. 在短时间内产生不自信的感觉。

В. 长时间不自信,妄自菲薄。

C. 我会出现介于在选项A和B之间的某种行为,或者以上没有一个描述适合我。

 

6.

A. 偶尔到户外活动放松身心。

В. 抛下工作和学习,长期从事户外活动。

C. 我会出现介于在选项A和B之间的某种行为,或者以上没有一个描述适合我。

 

7.

A. 在有条件的时候满足其他人的要求。

В. 过分关注其他人的要求,无条件满足这些要求。

C. 我会出现介于在选项A和B之间的某种行为,或者以上没有一个描述适合我。

 

8.

A. 我陷入困境中有其他人的责任,也有自己的责任。

В. 我陷入困境都怪其他人。

C. 我会出现介于在选项A和B之间的某种行为,或者以上没有一个描述适合我。

 

9.

A. 尽量避免关于当前困境的消极想法。

В. 认为当前自己并没有任何的不快,心情甚至比平时更好。

C. 我会出现介于在选项A和B之间的某种行为,或者以上没有一个描述适合我。

 

10.

A. 对不好的结果有心理准备。

В. 如果出现不好的结果,内心产生难以解释的负罪感

C. 我会出现介于在选项A和B之间的某种行为,或者以上没有一个描述适合我。

 

Ключ:

F1: Стратегии, ориентированные на внутренний мир [пункты 1, 2, 3, 4, 5]

F2: Стратегии, ориентированные на внешний мир [пункты 6, 7, 8, 9, 10]

A — 3 балла

B — 1 балл

С — 2 балла

 

Таблица

Описательные статистики китайской версии Опросника стратегий поведения в значимых ситуациях (часть 1 — стратегии поведения в трудных ситуациях)

Шкалы N Минимальное значение Максимальное значение Среднее значение Стандартное отклонение
F1 587 4 20 12,95 2,863
F2 587 4 20 15,46 2,397

 

Информация об авторах

Елена Юрьевна Коржова, доктор психологических наук, профессор, заведующая кафедрой общей и социальной психологии, Российский государственный педагогический университет им. А.И. Герцена (ФГБОУ ВО РГПУ им. А.И. Герцена), Санкт-Петербург, Российская Федерация, ORCID: https://orcid.org/0000-0002-1128-1421, e-mail: elenakorjova@gmail.com

Фанлу Чжу, аспирант кафедры общей и социальной психологии, Российский государственный педагогический университет имени А.И. Герцена (ФГБОУ ВО РГПУ им. А.И. Герцена), Санкт-Петербург, Российская Федерация, ORCID: https://orcid.org/0009-0007-2339-9084, e-mail: zhuflu1209@gmail.com

Елена Константиновна Веселова, доктор психологических наук, профессор кафедры общей и социальной психологии, Российский государственный педагогический университет имени А.И. Герцена (ФГБОУ ВО РГПУ им. А.И. Герцена), Санкт-Петербург, Российская Федерация, ORCID: https://orcid.org/0000-0002-5513-305X, e-mail: elkonves16@yandex.ru

Вклад авторов

Коржова Е.Ю. — идеи исследования; планирование исследования; контроль за проведением исследования.

Чжу Ф. — аннотирование, написание и оформление рукописи; проведение эксперимента; сбор и анализ данных.

Веселова Е.К. — применение статистических, математических и других методов для анализа данных; визуализация результатов исследования.

Все авторы приняли участие в обсуждении результатов и согласовали окончательный текст рукописи.

Конфликт интересов

Авторы заявляют об отсутствии конфликта интересов.

Метрики

 Просмотров web

За все время: 363
В прошлом месяце: 52
В текущем месяце: 43

 Скачиваний PDF

За все время: 95
В прошлом месяце: 20
В текущем месяце: 6

 Всего

За все время: 458
В прошлом месяце: 72
В текущем месяце: 49