Взаимосвязь выделяемых значимых событий и эмоционального статуса подростков в условиях нестабильной социальной ситуации развития

 
Аудио генерируется искусственным интеллектом
 36 мин. чтения

Резюме

Контекст и актуальность. Нестабильная и изменчивая социальная среда и события, происходящие в ней, могут оказывать значительное влияние на психическое развитие и психологическое благополучие подростков. Активно-деятельная позиция подростка в социальной ситуации развития создает условия для отражения его отношения к происходящему. Цель. изучение взаимосвязи значимых событий, выделяемых подростками, проживающими в условиях нестабильной социальной среды, с их эмоциональным состоянием. Выделены два исследовательских вопроса: 1) насколько значимые события последнего года определяются возрастно-психологической спецификой возраста или нестабильной ситуацией региона проживания; 2) связаны ли выделяемые подростками значимые сферы и их окраска с эмоциональным состоянием. Методы и материалы. Выборку составили 559 подростков из г. Севастополь от 15 до 17 лет (M = 15,7; SD = 1,01). Использованы 3 методики: авторская анкета, в которой надо указать три эмоционально значимых события последнего года; шкала депрессии, тревожности и стресса (DASS-21); шкала позитивного и негативного пережитого опыта (SPANE). Результаты. Выделены 10 категорий упоминаемых событий: учебная деятельность, саморазвитие, самостоятельные достижения, межличностные отношения со сверстниками, родительская семья, путешествия и развлечения, праздники, материальные приобретения, переезды, утрата/смерть близких людей, ситуации операции и опасных болезней. Частота встречаемости событий свидетельствует об их большей связанности с возрастно-психологической спецификой (задачами развития), чем с нестабильностью социальной среды. Обнаружены взаимосвязи между выделяемыми значимыми сферами событий, их окраской и эмоциональным состоянием подростков. У подростков с фокусированием на саморазвитии наблюдаются наименьшие признаки негативного эмоционального состояния. Сверстники с выраженным фокусированием на отношениях или на себе и негативных событиях демонстрируют большую выраженность тревожности, депрессии и стресса в совокупности с преобладанием негативных эмоций.

Общая информация

Ключевые слова: социальная ситуация развития, социальная среда, значимые события, статус, подростковый возраст

Рубрика издания: Возрастная психология

Тип материала: научная статья

DOI: https://doi.org/10.17759/chp.2025210205

Финансирование. Исследование выполнено при финансовой поддержке проекта Российской Федерацией в лице Минобрнауки России, проект № 075-15-2024-526..

Поступила в редакцию 22.04.2025

Принята к публикации

Опубликована

Для цитаты: Молчанов, С.В., Алмазова, О.В., Долгих, А.Г., Султанова, И.В. (2025). Взаимосвязь выделяемых значимых событий и эмоционального статуса подростков в условиях нестабильной социальной ситуации развития. Культурно-историческая психология, 21(2), 49–60. https://doi.org/10.17759/chp.2025210205

© Молчанов С.В., Алмазова О.В., Долгих А.Г., Султанова И.В., 2025

Лицензия: CC BY-NC 4.0

Подкаст

Полный текст

Введение

Многие авторы отмечают, что современный социальный мир характеризуется высокой степенью изменчивости и неопределенности будущего. В психологическом пространстве резкие неконтролируемые транзитивные социальные изменения, меняющие социальные условия и возможности жизни, рассматриваются как факторы риска психического развития человека (Martsinkovskaya, 2019). Современный мир связывается с идеей его множественности и разнообразия, где «вызовы современности» создают широкие возможности для самоопределения, одновременно предъявляя повышенные требования к личности человека в ситуации жизненных выборов (Асмолов, 2015). Разнообразие взаимодействий внутри социума порождает широкую вариативность индивидуальных траекторий развития достижения зрелости подростками, в том числе в условиях кризисных явлений (Larson, Wilson, 2014). Таким образом, можно говорить о том, что современный социальный мир представляет собой разнообразное пространство возможностей и ограничений, которые могут динамически неконтролируемо меняться, создавая зоны неопределенности будущего из-за трудностей логического обоснования и прогнозирования происходящих и потенциальных изменений.

Ключевым психологическим процессом подросткового возраста является самоопределение, где окружающий социальный мир выступает как база для самопознания. Возрастно-психологическая специфика самоопределения подростков обусловлена необходимостью решения задач развития (Р. Хевигхерст), которые среди прочих включают в себя: постановку и реализацию самоопределения в области образования и карьеры; приобретение навыков межличностного общения (в частности, отношений дружбы и любви) с представителями своего и противоположного пола в группе сверстников; становление новых отношений в семье на основе освобождения от родительской опеки, автономии и независимости. Также важным является становления такого психологического новообразования, как чувство взрослости (Д.Б. Эльконин) как формы самосознания, выражающейся в самостоятельности и действиях «как взрослого». (Молчанов, 2024). Стабильность окружающего мира, устойчивость и четкость социальных ориентиров, предсказуемость и прогностичность социальных структур становятся важными условиями успешной социализации и становления идентичности. В современном понимании содержание идентичности «…возникает из индивидуального повседневного опыта, мыслей, чувств, взаимодействий и поведения индивидов и относится к их усилиям по конструированию, поддержанию и уточнению своей идентичности» (Гришина, 2025, с. 17). Таким образом, выделяемые как значимые, события изменчивого и непредсказуемого окружающего мира и отношение к ним становятся важными условиями развития идентичности подростка.

Известно, что социальная ситуация развития как «…специфическое для данного возраста, исключительное, единственное и неповторимое отношение между ребенком и окружающей его действительностью, прежде всего социальной» (Выготский, 2000, с. 903), является важнейшим компонентом психического развития ребенка. Важным в понимании соотношения личности и социальной ситуации развития становится характер отношения подростка к социальной среде, в частности к происходящим событиям. Как писал Л.С. Выготский: «Ребенок на разных ступенях развития… по-разному осмысляет, представляет себе окружающую действительность, окружающую среду» (Выготский, 2001, с 77—78). Переживание как «…внутреннее отношение ребенка как человека к тому или иному моменту действительности» (Выготский, 2000, с. 994) реализует его активно-действенную позицию по отношению к миру (Карабанова, 2024). Можно предположить, что индивидуализированное выделение лично значимых событий, происходящих в окружающем мире, является проявлением активно-действенной позиции подростка в рамках социальной ситуации развития, что определяет вариативность влияния социальной среды на его психическое развитие и благополучие.

В подростковом возрасте отмечается повышенная чувствительность к воздействиям окружающего мира, которая может находить отражение в эмоциональном статусе, а также влиять на психическое развития (Sawyer, Patton, 2018). Характер переживаемых эмоциональных состояний имеет большое значение для субъективного благополучия подростков. В модели, предложенной Э. Динером, наличие позитивных и негативных аффективных состояний, наряду с удовлетворенностью жизнью составляет взаимосвязанное содержание субъективного благополучия человека (Diener, 1984). Большое количество исследований подтверждает роль позитивных эмоций в жизни человека (Walsh, Boehm, Lyubomirsky, 2018). Специфической особенностью подросткового возраста выступает высокая лабильность переживаемых эмоциональных состояний: интенсивность переживаний и скорость смены противоположных эмоциональных состояний могут быть очень высокими (Толстых, Прихожан, 2015). В этом ракурсе значимым в изучении эмоциональных состояний подростков как предикторов субъективного благополучия становится не только анализ баланса переживаемых позитивных и негативных аффектов, но и исследование устойчивых эмоциональных состояний клинической природы. Высокий уровень тревожности, выраженность депрессивной симптоматики, трудности в совладании со стрессом могут выступать индикаторами низкого уровня субъективного благополучия, оказывать влияние на характер взаимодействия подростка с окружающим миром и усложнять процесс решения задач развития возраста.

Существует большое количество психологических исследований детей и подростков, оказавшихся в районах проведения боевых действий. Однако большинство из них направлены на изучение психологических последствий изменений условий жизни подростков вследствие участия или близости военных событий. (Александрова, Дмитриева, 2024; Меньшова и др., 2024; Schiff et al., 2012). Это исследования психологических последствий прямого участия в вооруженных конфликтах, опыта вынужденной миграции из зон постоянных обстрелов и т. п. В них изучаются подростки, которые сталкиваются с опытом потерь: смертью людей, опытом потери материального имущества, рисками потенциальной угрозы своей жизни, жизни своих близких и знакомых, опытом жизни в новых социальных, часто неблагоприятных условиях. Отмечается, что такие подростки часто испытывают стресс из-за ограничений в доступности привычных форм социальной жизни: образования (например, переход на дистантную форму обучения), мест для прогулок, встреч, развлечений и т. п. (Betancourt, 2017). Выделяются многочисленные негативные психологические последствия опыта пересечения подростков с опытом боевых действий в эмоциональной, когнитивной и регулятивной сферах (Самохвалова и др., 2025). Например, на уровне базисных убеждений личности фиксируется восприятие мира как менее доброжелательного, меньшая вера в удачу и убежденность в контроле над своей жизнью и менее позитивный образ Я, выявленные у подростков из г. Мариуполь Донецкой Народной Республики, переживших боевые действия, по сравнению с их сверстниками без такого опыта (Долгих, Алмазова, Молчанов, 2025).

Социальные условия проживания в городе Севастополь в последние несколько лет характеризуются спецификой, связанной с повышенными рисками, обусловленными проведением специальной военной операции. Жители региона сталкиваются с регулярной работой средств противовоздушной обороны по защите региона от беспилотных летательных аппаратов, встречается эпизодический трагический опыт гибели людей и разрушения отдельных объектов города, есть внешние напоминания о близости боевых действий, связанные с различными временными ограничениями. Вопрос изучения психологических особенностей подростков, проживающих в подобных условиях, становится актуальным для определения рисков психического развития и путей их профилактики.

Цель исследования: изучить взаимосвязь выделяемых значимых событий и эмоционального статуса подростков, проживающих в условиях нестабильной социальной среды в г. Севастополь.

Цель исследования позволяет сформулировать гипотезу поискового характера: значимые события последнего года, выделяемые подростками, проживающими в условиях нестабильной социальной среды, связаны с их эмоциональным состоянием. Это позволило выделить два исследовательских вопроса.

  1. Выделяемые подростками значимые события последнего года в большей степени определяются возрастно-психологической спецификой (в частности задачами развития возраста) или нестабильной ситуацией в регионе?
  2. Связаны ли выделяемые значимые сферы и окраска событий с эмоциональным состоянием подростков?

Были выделены следующие задачи исследования.

  1. Анализ содержания значимых событий последнего года, переживаемых подростками.
  2. Особенности эмоциональной окраски значимых событий последнего года, переживаемых подростками.
  3. Анализ особенностей эмоционального статуса подростков, выделяющих различные значимые события последнего года.

Материалы и методы

В исследовании приняли участие 559 подростков из г. Севастополь от 15 до 17 лет (M = 15,7; SD = 1,01), обучающиеся в 9—11-х классах общеобразовательных школ. Из них 231 (41,3%) — юноши. Сбор данных осуществлялся в октябре 2024 г., в онлайн-форме на платформе Тестограф, в классах с раздельной рассадкой для соблюдения конфиденциальности ответов.

Методики исследования

  1. Авторская анкета, в которой предлагается указать три эмоционально значимых события, произошедших на протяжении последнего года. Предлагалось описать эмоционально значимые события последнего года в свободной форме.
  2. DASS-21 (Depression Anxiety Stress Scales-21). Оценка уровня психологического благополучия в эмоциональной сфере осуществлялась с помощью шкалы депрессии, тревожности и стресса (Lovibond, Lovibond, 1995; Золотарева, 2021). Используемая версия методики включает 21 пункт, оцениваемый по 4-балльной шкале Р. Ликерта.
  3. SPANE (The Scale of Positive and Negative Experience, SPANE). Методика направлена на оценку частоты переживания позитивного и негативного опыта на протяжении последних четырех недель и баланса между ними (Diener et al., 2010; Рассказова, Лебедева, 2020). Используется 5-балльная шкала Р. Ликерта.

Статистическая обработка данных проводилась в программе Jamovi 2.3.28.

Результаты

Первой эмпирической задачей исследования был анализ содержания значимых событий последнего года, переживаемых подростками. На основании анализа вариантов ответов респондентов о трех самых значимых событиях за последний год группой экспертов были выделены 10 основных категорий событий.

  1. Сфера учебной деятельности, включающая в себя описание оценок в школе, сдачи экзаменов, окончания учебного года, смены школы, вопросов профессионального самоопределения. Хотя бы одно событие, отнесенное к этой сфере, отмечают 43,3% подростков. Примерами выступают: «пошли 4 и 5 по конкретному предмету», «очень хорошо сдал экзамены», «отмена ОГЭ/поступление в 10 класс без экзаменов».
  2. Сфера саморазвития, сфокусированная на самопознании, развитии, взрослении, личностном самоопределении. Названа 5,9% участников исследования. Примеры описанных событий: «Осознание, что для меня — настоящее счастье», «Новый взгляд на жизнь».
  3. Сфера самостоятельных достижений в области соревнований, достигнутых личных целях, покупок на свои деньги. Характерно для 24,7% респондентов. Примеры этой группы: «Победа на соревнованиях в другом городе», «Выигрыш первенства города Севастополя по …».
  4. Сфера межличностных отношений со сверстниками в сфере дружбы и любви. Отмечается 42,0% подростков. Примерами являются: «Прекратила общение с лучшей подругой», «Вернул общение с давним другом», «Завел новых друзей», «Нашел любовь».
  5. Сфера родительской семьи, включающая семейные праздники (дни рождения родственников, совместные мероприятия, рождение членов семьи, изменения отношений с родителями). Названы 15,9% респондентов. Распространенные примеры: «у всех родственников все отлично», «рождение братика», «мои отношения с родителями стали еще лучше».
  6. Сфера путешествий и развлечений, включающая посещение других стран, городов, а также загородные мероприятия. Отмечается 39,7% участников. Типичные примеры высказываний: «Насыщенное лето с путешествиями», «Поездка на летний отдых с родными», «Поездка в Геленджик».
  7. Сфера «праздники», в которой выделяются два основных события: дни рождения и Новый год. Названы 17,7% подростков. Примеры высказываний: «Мой день рождения», «День рождения самого близкого человека».
  8. Сфера материальных приобретений и подарков в виде телефонов, ноутбуков, домашних питомцев, книг и пр. Встречается у 28,3% подростков. Примеры высказываний: «Купили новый телефон», «Завел собаку», «Покупка компьютера».
  9. Сфера переездов в связи со сменой места жительства. Названа 4,8% участников. Примерами высказываний описанных событий в этой сфере выступают: «Переезд в другой город», «Грядущий переезд».
  10. Сфера утраты/смерти близких людей, ситуации операции и опасных болезней. Упоминается 6,4% подростков. Примерами высказываний описанных событий в этой сфере выступают: «Бомбежка в мае», «Теракт на Учкуевке», «23 июня я работала в открытом кафе на Учкуевке» (дата теракта), «Смерть близкого человека», «Потеря близкого человека».

Для каждого участника исследования было посчитано число событий, относящихся к каждой из категорий. В табл. 1 приведены средние и стандартные отклонения частот каждой из категорий событий в целом по выборке и отдельно для юношей и девушек, сравнение этих частот (t-критерий Стъюдента для независимых выборок).

Таблица 1 / Table 1

Сравнение числа ответов разных категорий для всей выборки, для юношей и девушек (N = 559)

Comparison of answer’s quantity of different categories for all data, men and women (N = 559)

Категория / Cathegory

Все / All

(M ± SD)

Юноши / Men

(M ± SD)

Девушки / Women

(M ± SD)

Различия / Differences

t

p

Коэн d

Учеба / Education

0,5± 0,66

0,5 ± 0,66

0,5 ± 0,67

0,097

0,923

0,01

Саморазвитие / Self–development

0,1 ± 0,27

0,1 ± 0,31

0,1 ± 0,23

1,653

0,099

0,14

Достижения / Achievments

0,3 ± 0,59

0,4 ± 0,66

0,3 ± 0,54

2,457

0,014

0,21

Отношения со сверстниками / relations with peers

0,5 ± 0,71

0,4 ± 0,68

0,6 ± 0,72

–2,539

0,011

–0,22

Родительская семья / Parent’s family

0,2 ± 0,43

0,2 ± 0,42

0,2 ± 0,43

–0,504

0,614

–0,04

Путешествия, развлечения / Travel, entertainments

0,5 ± 0,68

0,4 ± 0,64

0,6 ± 0,70

–2,804

0,005

–0,24

Праздники / Holidays

0,2 ± 0,51

0,3 ± 0,57

0,2 ± 0,48

1,868

0,062

0,16

Материальная сфера / Material sphere

0,3 ± 0,61

0,4 ± 0,66

0,3 ± 0,57

1,083

0,279

0,09

Переезд / removal

0,1 ± 0,23

0,1 ± 0,20

0,1 ± 0,25

–1,737

0,083

–0,15

Утрата/смерть/болезни / Lose/death/illness

0,1 ± 0,26

0,1 ± 0,22

0,1 ± 0,28

–1,104

0,270

–0,09

 

Наиболее распространенными по частоте упоминаемости событиями являются события в сфере учебы, отношений со сверстниками и путешествия, развлечения. Реже всего называются события, связанные с переездами, утратой/смертью и саморазвитием.

Для дальнейшего анализа нами были выделены более крупные категории значимых событий последнего года. Выделенные изначально 10 категорий значимых событий последнего года были объединены в группы, каждая из которых получила свое название:

  • группа событий саморазвития (включает категории учебы, саморазвития и достижения);
  • группа событий в области межличностных отношений (состоит из категорий отношений со сверстниками и родительской семьей);
  • группа событий в области гедонизма (включает в себя сферы путешествия, развлечения и праздники);
  • группа стрессовых событий (состоит из сфер утраты/смерти/болезни и переездов).

Для исследования сфокусированности респондентов на различных группах событий для каждого респондента было посчитано число событий, относящихся к каждой из выделенных групп категорий. При помощи кластерного анализа (метод K-средних) на основании количества событий в четырех группах категорий было выделено пять кластеров участников исследования.

В табл. 2 приведены центры кластеров.

Таблица 2 / Table 2

Центры кластеров по количеству событий групп категорий (N = 559)

Cluster’s centers of quantity of events in groups of cathegories (N = 559)

 

1

2

3

4

5

Саморазвитие / Self-development

2

0

1

1

1

Межличностные отношения / Interpersonal relations

0

2

0

1

0

Гедонизм / Hedonism

0

0

2

1

0

Стрессовые события / Stress events

0

0

0

0

1

Число респондентов в кластере / Quantity of subjects in cluster

138

104

120

149

48

 

При помощи однофакторного дисперсионного анализа (ANOVA) было выявлено, что количество ответов по всем группам категорий в разных кластерах значимо различается (p  <  0,001), что позволяет нам говорить о разных кластерах как о типах. Таким образом, нами были выделены группы подростков с разным фокусом в определении эмоционально значимых событий последнего года.

Опишем эти типы/группы подробнее.

Первый тип описывает 24,7% выборки. Респонденты чаще отмечают события последнего года, связанные с саморазвитием (к указанной сфере относятся минимум 2 события из 3 названных). Описываются события, связанные с пространством учебной деятельности, саморазвитием и областью самостоятельных достижений. Обозначим этот тип как «фокус саморазвития».

Второй тип объединяет 18,6% подростков. Отмечается фокус на сфере межличностных отношений со сверстниками и с взрослыми (к указанной сфере относится минимум 2 события из 3 названных). В отношениях со сверстниками подростки активно указывают на события, связанные с дружбой и любовь, и на опыт прекращения отношений со значимыми другими. Описания событий с участием родителей связано в основном с упоминанием позитивных событий, укрепляющих эти отношения, а также с изменением отношений с родителями. Обозначим группу как «фокус отношений».

Третий тип характерен для 21,5% респондентов. Данная группа чаще упоминает события, связанные с проявлением гедонизма (в сильной степени) и в меньшей степени — с областью саморазвития. В описании преобладают события, связанные с развлечениями, путешествиями и проведением праздников, в меньшей степени — события, связанные с измененем себя. Данный тип назван как «фокус на себе».

Четвертый тип описывает 26,7% юношей и девушек. Респонденты этого смешанного типа отмечают события разных сфер: саморазвития, отношений и гедонизма. Выделяемые подростками события связаны с разными, во многом противоположными сферами — ориентировкой на себя и на других, интересом к получению доступных удовольствий и готовностью к самоизменению. Данная группа получила название «смешанный фокус».

Пятый тип характерен для 8,6% выборки. Данная группа сфокусирована на теме саморазвития и встречающихся стрессовых событиях. Называемые события связаны с опытом потерь, смерти, болезни и фокусом внимания на себя. Обозначим ее как «фокус на себе и негативных событиях».

Рассмотрим межполовые различия в фокусе на событиях различного типа. В табл. 3 приведено распределение юношей и девушек по разным типам значимых событий.

Таблица 3 / Table 3

Распределение юношей и девушек по типам значимых событий(N = 559)

Distribution of men and women for different types of significant events (N = 559)

 

1-й тип / 1 type

2-й тип / 2 type

3-й тип / 3 type

4-й тип / 4 type

5-й тип / 5 type

Юноши / Men

72 (31,2%)

37 (16,0%)

50 (21,6%)

55 (23,9%)

17 (7,4%)

Девушки / Women

66 (20,1%)

67 (20,4%)

70 (21,3%)

94 (28,7%)

31 (9,5%)

Примечание: 1-й тип — фокус саморазвития; 2-й тип — фокус отношений; 3-й тип — фокус на себе; 4=й тип — смешанный фокус; 5=й тип — фокус на себе и негативных событиях.

Note: 1 type - self-development focus; 2 type - interpersonal relations focus; 3 type – self focus; 4 type – mixed focus; 5 type – focus on self and negative events.

 

При помощи критерия χ² было выявлено, что пол и тип по значимым событиям связаны (χ² = 10,009; p = 0,040; Cramer’sV = 0,134). Как видно из приведенных данных, у юношей чаще, чем у девушек, встречается 1-й тип (фокус саморазвития), а у девушек — чаще, чем у юношей — 2-й (фокус отношений) и 4-й (смешанный фокус) типы.

Для определения особенностей эмоциональной окраски значимых событий последнего года, переживаемых подростками, каждому событию, помимо категории, была присвоена также оценка эмоциональной окраски события: –1 — негативное событие, 0 — нет эмоции или нейтральное, 1 — позитивное событие. После этого для каждого участника исследования был посчитан итоговый балл — сумма оценок эмоций всех трех событий.

В табл. 3 приведены средние и стандартные отклонения суммарных оценок эмоциональной окраски событий для участников исследования каждого типа и приведен результат сравнения этих оценок (однофакторный дисперсионный анализ ANOVA), а на рис. 1 — разброс оценок эмоциональной окраски в разных типах.

Таблица 4 / Table 4

Сравнение эмоциональной окраски событий в разных типах значимых событий (N = 559)

Comparison of emotional colour in different types of significant events (N = 559)

 

1-й тип /

1 type

(M  ±   SD)

2-й тип /

2 type

(M  ±  SD)

3-й тип /

3 type

(M  ±  SD)

4-й тип /

4 type

(M  ±  SD)

5-й тип /

5 type

(M  ±  SD)

 

Различия / Differences

F

p

η2

Эмоции / emotions

1,5 ± 0,93

1,8 ± 1,11

1,7 ± 0,90

1,7 ± 1,06

0,3 ± 1,11

21,356

 < 0,001

0,13

                   

Примечание: 1-й тип — фокус саморазвития; 2-й тип — фокус отношений; 3-й тип — фокус на себе; 4-й тип — смешанный фокус; 5-й тип — фокус на себе и негативных событиях.

Note: 1 type - self-development focus; 2 type - interpersonal relations focus; 3 type – self focus; 4 type – mixed focus; 5 type – focus on self and negative events.

Рис. 1

Рис. 1. Разброс оценок эмоциональной окраски значимых событий у подростков из разных типов (доверительный интервал — 95%) (N = 559)

Fig. 1. The spread of estimates of the emotional coloring of significant events in adolescents from different types (95% confidence interval) (N = 559)

При помощи теста Тьюки (post hoc) выявлено, что суммарная оценка эмоциональной составляющей значимых событий в 5-м типе (фокус на себе и негативных событиях) значимо ниже, чем в 1-м типе (фокус саморазвития) (MD = –1,201; p < 0,001), 2-м типе (фокус отношений) (MD = –1,487; p < 0,001), 3-м типе (фокус на себе) (MD = –1,408; p < 0,001) и 4-м типе (смешанный фокус) (MD = –1,383; p < 0,001). Таким образом, можно говорить о том, что для подростков, событийно ориентированных на пережитой опыт, тему саморазвития и встречающиеся стрессовые события, характерен менее выраженный позитивный эмоциональный фон по сравнению с другими сверстниками.

Проанализируем особенности эмоционального статуса подростков, выделяющих различные значимые события последнего года, в соответствии с выделенными разными типами по событиям. Особенности эмоционального состояния подростков выявлялись при помощи двух методик — SPANE и DASS-21.

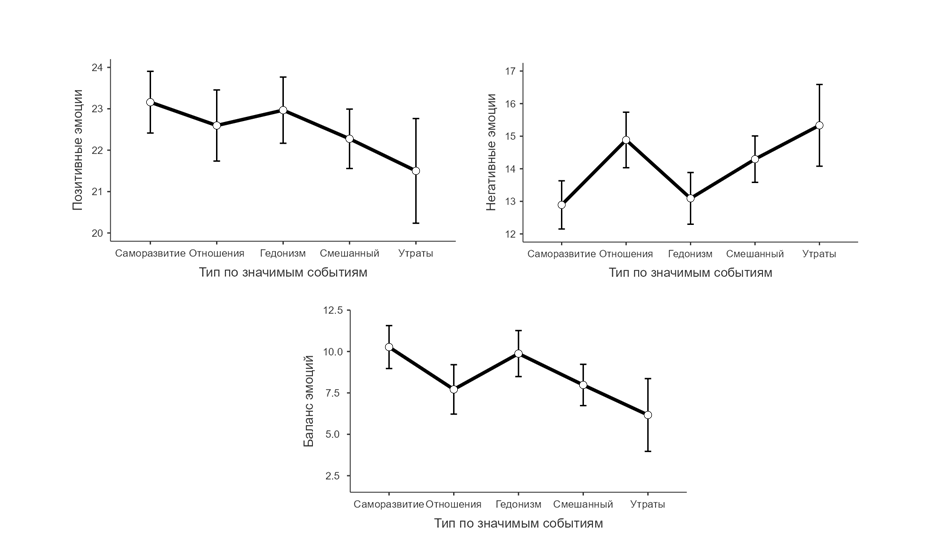
В табл. 5 приведены средние и стандартные отклонения оценок по шкалам этих методик у подростков из разных типов по значимым событиям, сравнение этих оценок (однофакторный дисперсионный анализ), а на рис. 2 и 3 — графическое представление разброса оценок в разных типах.

Таблица 5 / Table 5

Сравнение эмоционального состояния подростков в разных типах по значимым событиям (N = 559)

Comparison of emotional status of adolescents in different types of significant events (N = 559)

Эмоцио-нальные состояния / Emotional status

1-й тип /

1 type

(M  ±  SD)

2-й тип /

2 type

(M  ±  SD)

3-й тип /

3 type

(M  ±  SD)

4-й тип /

4 type

(M  ±  SD)

5-й тип /

5 type

(M  ±  SD)

Различия / Differences

F

p

η2

Шкалы опросника SPANE / Scales of questionnaire SPANE

Позитивные эмоции / Positive emotions

23,2 ± 4,04

22,6 ± 4,29

23,0 ± 4,39

22,3 ± 4,84

21,5 ± 4,90

1,666

0,157

0,01

Негативные эмоции / Negative emotions

12,9 ± 4,69

14,9 ± 4,35

13,1 ± 3,98

14,3 ± 4,46

15,3 ± 4,78

5,636

< 0,001

0,04

Баланс / Balance

10,3 ± 7,88

7,7 ± 7,54

9,9 ± 7,38

8,0 ± 7,99

6,2 ± 7,99

4,124

0,003

0,03

Шкалы опросника DASS / Scales of questionnaire DASS

Депрессия / Depression

3,3 ± 3,99

5,4 ± 5,43

4,4 ± 4,46

5,0 ± 4,79

5,9 ± 5,41

4,763

0,001

0,03

Тревожность / Anxiety

2,9 ± 4,12

5,1 ± 5,12

3,7 ± 4,27

4,3 ± 4,79

5,9 ± 5,52

5,637

< 0,001

0,04

Стресс / Stress

4,9 ± 4,66

7,1 ± 5,51

5,7 ± 4,52

6,4 ± 5,11

7,4 ± 5,39

4,139

0,003

0,03

Примечание: 1-й тип — фокус саморазвития; 2-й тип — фокус отношений; 3-й тип — фокус на себе; 4-й тип — смешанный фокус; 5-й тип — фокус на себе и негативных событиях.

Note: 1 type - self-development focus; 2 type - interpersonal relations focus; 3 type – self focus; 4 type – mixed focus; 5 type – focus on self and negative events.

Рис. 2

Рис. 2. Разброс оценок по шкалам методики SPANE у подростков из разных типов (доверительный интервал — 95%) (N = 559)

Fig. 2. The spread of ratings according to the scales of the SPANE technique in adolescents from different types (95% confidence interval) (N = 559)

 

Рис. 3

Рис. 3. Разброс оценок по шкалам методики DASS у подростков из разных типов (доверительный интервал — 95%) (N = 559)

Fig. 3. The spread of scores on the scales of the DASS methodology among adolescents from different types (95% confidence interval) (N = 559)

В ходе статистического анализа при помощи теста Тьюки (post hoc) выявлено следующее.

  1. Негативные эмоции:

а) оценки негативных эмоций у подростков из 2-го типа (фокус отношений) значимо выше, чем у подростков из 1-го типа (фокус саморазвития) (MD = 1,993; p = 0,005) и 3-го типа (фокус на себе) (MD = 1,793; p = 0,022);

б) оценки негативных эмоций у подростков из 5-го типа (фокус на себе и негативных событиях) значимо выше, чем у подростков из 1-го типа (фокус саморазвития) (MD = 2,442; p = 0,009) и 3-го типа (фокус на себе) (MD = 2,242; p = 0,026).

  1. Баланс эмоций: оценки баланса эмоций у юношей и девушек из 5-го типа (фокус на себе и негативных событиях) значимо ниже, чем у подростков из 1-го типа (фокус саморазвития) (MD = -4,101; p = 0,014) и 3-го типа (фокус на себе) (MD = –3,708; p = 0,042);
  2. Депрессия: оценки депрессии у участников исследования из 1-го типа (саморазвитие) значимо ниже, чем у подростков из 2-го (фокус отношений) (MD = –4,286; p = 0,005), 4-го (смешанный фокус) (MD = –3,501; p = 0,015) и 5-го (фокус на себе и негативных событиях) (MD = –5,212; p = 0,009) типов;
  3. Тревожность: оценки тревожности у респондентов из 1-го типа (саморазвитие) значимо ниже, чем у подростков из 2-го (фокус отношений) (MD = –4,448; p = 0,002) и 5-го (фокус на себе и негативных событиях) (MD = –5,984; p = 0,001) типов;
  4. Стресс: оценки стресса у юношей и девушек из 1го типа (саморазвитие) значимо ниже, чем у подростков из 2-го (фокус отношений) (MD = –4,361; p = 0,007) и 5-го (фокус на себе и негативных событиях) (MD = –4,880; p = 0,030) типов.

Рассмотрим полученные результаты. Группа, сфокусированная на саморазвитии, включающая в себя категории учебы, саморазвития и достижения, обладает более позитивным эмоциональным статусом по сравнению с группой, сфокусированной на отношениях, и группой, сфокусированной на себе и негативных событиях, которые значительно превосходят других в выраженности показателей депрессии, тревожности, стресса, а также в количестве негативных оценок своей жизни. Также отметим, что группа фокуса на себе демонстрирует более позитивный эмоциональный статус по сравнению с группой фокуса на отношениях и группой фокуса на себе и негативных события. Таким образом, полученные результаты демонстрируют, что эмоциональное состояние подростков, относящихся к разным группам по называемым значимым событиям, значимо различается.

Обсуждение результатов

В ходе исследования было проанализировано содержание значимых событий последнего года, переживаемых подростками города Севастополь. Первым результатом стало выделение категорий значимых событий, о которых респонденты писали в свободной форме. Эти категории включают сферы: учебной деятельности (43,3% выборки), межличностных отношений любви и дружбы со сверстниками (42,0%), путешествий и развлечений (39,7%), материальных приобретений (28,3%), самостоятельных достижений (24,7%), праздников (17,7%), отношений в родительской семье и с родственниками (15,9%), утраты/смерти близких людей, ситуаций опасностей (6,4%), саморазвития (5,9%) и переездов (4,8%). Как можно увидеть, потенциальные риски социальной среды подростков, обусловленные проведением специальной военной операции, для большинства респондентов не находят отражения в частоте выделяемых событий. Значимость событий, которые часто указываются (учебная деятельность, межличностные отношения дружбы и любви со сверстниками, путешествия и развлечения, материальные приобретения), во многом определяется устойчивой возрастно-психологической спецификой и актуальными возрастными задачами развития в подростковом возрасте в соответствии с моделями Р. Хевигхерста и Д.Б. Эльконина. Решение таких задач развития в подростковом возрасте, как учебная деятельность и профессиональное самоопределение, освоение ролевых моделей межличностного взаимодействия со сверстниками, становление самостоятельности в отношениях с родителями, находит отражение в предпочитаемых эмоционально значимых событиях собственной жизни. Похожие результаты были получены в исследовании на студенческой молодежи города Москвы после проведения частичной мобилизации в ходе специальной военной операции. Был также определен высокий уровень психологической устойчивости молодежи к событиям кризисной транзитивности. Студенческая молодежь была более ориентирована на события, связанные с решением задач развития периода вхождения во взрослость, чем на стресс, вызванный событиями специальной военной операции (Маркина, Молчанов, 2023). Отметим, что отсутствие фокусировки на боевых действиях и их последствиях также позволяет легче переживать стресс, возникающий в жизни человека (Неврюев, 2022). Однако необходимо выделить группу подростков (6,4% респондентов), которые отмечают события, связанные с утратой/смертью близких людей, ситуациями операции и опасных болезней. Можно допустить наличие рисков психологическому благополучию подростков, фокусирующихся на данной группе событий.

Анализ частоты упоминания категорий событий позволил выделить типы ориентации на события: «фокус саморазвития», «фокус отношений», «фокус на себе», «смешанный фокус», «фокус на себе и негативных событиях». Отметим достаточно равномерное распределение подростков по различным фокусам событий: процент находится в диапазоне от 18,6% до 26,7% для четырех из пяти типов, кроме самой малочисленной группы «фокус на себе и негативных событиях». Группы «фокус саморазвития» и «фокус на себе» находятся в некотором противопоставлении друг другу. Эти группы похожи на выделяемое в модели ценностных ориентаций С. Шварца «противоречие» ценностей самовозвышения (в частности, гедонизма) и ценностей самопреодоления (благосклонность и универсализм по отношению к другим). В этой модели ценности определяют конечное желаемое состояние (эмоциональное, когнитивное) или поведение человека, включая функцию управления выбором и оценки поведения (Шварц и др., 2012). Можно предположить, что ценности, переживаемые как значимые, влияют на ориентировку в мире событий и воспоминание важных эмоциональных событий последнего года.

Группа подростков, чаще вспоминающая о событиях, связанных с учебой, саморазвитием и достижениями, обладает более позитивным эмоциональным статусом по сравнению со сверстниками, ориентированными на события в области отношений, а также на себе и негативных событиях. Можно говорить о том, что упоминание событий учебной деятельности, саморазвития и стремления к достижениям, соответствующих задачам возраста, способствующих развитию, связано с позитивным эмоциональным статусом респондентов. В то же время фокусировка на событиях межличностной сферы, также являющаяся важной особенностью подросткового возраста, связана с более негативным эмоциональным статусом обследованной выборки и находится в зависимости от уровня удовлетворенности подростков своими достижениями в разных областях. Также возможной причиной может выступать большая чувствительность и вовлеченность в сфере межличностных отношений, что может приводить к большей критичности в оценке себя и событий своей жизни. Также этот феномен может объясняться половыми различиями. Данные предыдущих исследований свидетельствуют о том, что девушки указывают на симптомы депрессии, тревожности и стресса чаще, чем юноши (Shilko et al., 2021). При этом именно девушки чаще фокусируются на событиях сферы межличностных отношений. Таким образом, можно предположить, что большая фокусировка на негативных событиях связана с половыми различиями в рефлексии собственных негативных эмоциональных состояний. Отметим, что, несмотря на разное содержание называемых событий, эмоциональный статус групп, ориентированных на межличностные отношения или сфокусированных на себе и негативных событиях, оказывается близким — в этих группах проявляется выраженность тревожности, депрессии и стресса в совокупности с преобладанием негативных эмоций. Отметим, что фокусирока на себе и негативных событиях во многом связана со столкновением с опытом потери, смерти и болезней, что закономерно повышает негативный эмоциональный статус, в то время как выраженность негативного статуса в группе, ориентированной на межличностные отношения, вызывает обеспокоенность. Группы подростков, более ориентированные на межличностные отношения, а также сфокусированные на себе и негативных событиях, нуждаются в более внимательном изучении их эмоционального статуса, который оказывается похожим, несмотря на разное содержание называемых событий.

Заключение

Наше исследование было направлено на изучение значимых событий последнего года, выделяемых подростками, проживающими в условиях нестабильной социальной среды, определение связи этих событий с эмоциональным состоянием. На основании ответов респондентов были выделены основные категорий упоминаемых событий. Сформировавшиеся группы событий в своем большинстве оказались связаны с актуальными задачами развития в подростковом возрасте. Идея о большей роли возрастно-психологической специфики подросткового возраста при выделении значимых событий последнего года по сравнению с нестабильностью социальной среды получила подтверждение.

Были выявлены определенные взаимосвязи между выделяемыми значимыми сферами и окраской событий, с одной стороны, и эмоциональным состоянием подростков — с другой. Особого внимания заслуживает группа подростков, сфокусированных на событиях, связанных со сферой утраты/смерти близких людей, ситуациями операции и опасных болезней. Психологическое сопровождение данной группы поможет снизить риски, связанные с трудностями решения задач развития в подростковом возрасте, а также повысить общий уровень психологического благополучия у подростков, переживающих множественные кризисы и находящихся в ситуации высокой неопределенности.

Литература

  1. Александрова, Л.А., Дмитриева, С.О. (2024).Дети в условиях войны: обзор зарубежных исследований. Современная зарубежная психология, 13(1), 139—149. https://doi.org/17759/jmfp.2024130113
    Aleksandrova, L.A., Dmitrieva, S.O. (2024). Children in war conditions: the review of foreign investigations. Journal of Modern Foreign Psychology, 13(1), 139—149. (In Russ.). https://doi.org/10.17759/jmfp.2024130113.
  2. Асмолов, А.Г. (2015). Психология современности: вызовы неопределенности, сложности и разнообразия. Психологические исследования, 8(40), https://doi.org/10.54359/ps.v8i40.550
    Asmolov, A.G. (2015). Psychology of modernity: call for uncertainty, complexity and diversity. Psychological investigations, 8(40), 1. (In Russ.). https://doi.org/10.54359/ps.v8i40.550
  3. Выготский, Л.С. (2000). Проблема возраста. М.: Эксмо-Пресс.
    Vygotskii, L.S. (2000). The problem of age. : Eksmo-Press.(In Russ.).
  4. Выготский, Л.С. (2001). Лекции по педологии. Ижевск: Изд-во Удмуртского университета.
    Vygotskii, L.S. (2001). Lectures on pedology. Izhevsk: Izd-vo Udmurtskogo universiteta. (In Russ.).
  5. Гришина, Н.В. (2024). Идентичность как проявление целостности личности. Социальная психология и общество, 15(4), 12—24. https://doi.org/10.17759/sps.2024150402
    Grishina, N.V. (2024). Identity as the presentation of personal integration. Social Psychology and Society, 15(4), 12—24. (In Russ.). https://doi.org/10.17759/sps.2024150402
  6. Долгих, А.Г., Алмазова, О.В., Молчанов, С.В. (2025). Базисные убеждения подростков, проживающих в различных жизненных условиях и их связь с образом мира и восприятием отношений со значимыми другими. Российский психологический журнал. В печати.
    Dolgikh, A.G., Almazova, O.V., Molchanov, S.V. (2025). World assumptions of adolescents living in different life conditions and their connection with the world image and the perception of relationships with significant others. Russian Psychological Journal. In publishing. (In Russ.).
  7. Золотарева, А.А. (2021). Психометрическая оценка русскоязычной версии шкалы депрессии, тревоги и стресса (DASS-21). Психологический журнал, 42(5), 80—88. (In Russ.) https://doi.org/31857/S020595920017077-0
    Zolotareva A. (2021). Psychometric examination of the Russian version of the Depression, Anxiety, and Stress scales-21. Psikhologicheskii zhurnal, 42(5), 80—88 https://doi.org/ 10.31857/S020595920017077-0
  8. Карабанова, О.А. (2024). Переживание и«идеальная форма» в структуре социальной ситуации развития. Вестник Московского университета. Серия 14. Психология, 47(4), 69—86. https:// doi.org/10.11621/LPJ-24-40
    Karabanova, O.A. (2024). Experience and “ideal form” within the social situation of development. Lomonosov Psychology Journal, 47(4), 69—86. (In Russ.). https:// doi.org/10.11621/LPJ-24-40
  9. Маркина, О.С., Молчанов, С.В. (2023). Взаимосвязь восприятия эмоционально значимых событий своей жизни и базисных убеждений личности студенческой молодежью в период транзитивных изменений. Психолого-педагогические исследования, 15(2), 3—17. https://doi.org/17759/psyedu.2023150201
    Markina, O.S., Molchanov, S.V. (2023). The Relationship between the Perception of Emotionally Significant Events in one's Life and World Assumptions of the Student Youth during the Period of Transitive Changes. Psychological-Educational Studies, 15(2), 3—17. (In Russ.). https://doi.org/10.17759/psyedu.2023150201
  10. Мешкова, Н.В., Бочкова, М.Н., Дмитриева, Е.А., Ениколопов, С.Н., Мешков, И.А. (2024) Особенности антисоциальной креативности у подростков в разных социально-политических контекстах. Национальный психологический журнал, 19(4), 78—86. http://doi.org/10.11.621/npj.0405
    Meshkova, N.V., Bochkova, M.N., Dmitrieva, E.A., Enikolopov, S.N., Meshkov, I.A. (2024). Malevolent Creativity of Adolescents in Different Socio-political Contexts. National Psychological Journal, 19(4), 78—86. (In Russ.). http://doi.org/10.11.621/npj.0405
  11. Молчанов, С.В. (2024). Психология подросткового и юношеского возраста. М: Юрайт.
    Molchanov, S.V. (2024). Psychology of Adolescence and Youth. M: Izd-vo Urait. (In Russ.).
  12. Неврюев, А.Н., Сариева, И.Р.(2022). Как узнать, кто и почему (не)одобряет войну? Современные исследования отношения к войне. Современная зарубежная психология, 11(1), 80—93.  https://doi.org/17759/jmfp.2022110108
    Nevryuev, A.N., Sarieva, I.R. (2022). How do you know who (dis)approves of war and why? Modern Studies of Attitudes to War. Journal of Modern Foreign Psychology, 11(1), 80—93. (In Russ.). https://doi.org/17759/jmfp.2022110108
  13. Рассказова, Е.И., Лебедева, А.А. (2020). Скрининговая шкала позитивных и негативных переживаний Э. Динера: апробация русскоязычной версии. Психология. Журнал Высшей школы экономики, 17(2), 250—263. https://doi.org/10.17323/1813-8918-2020-2-250-263
    Rasskazova, E.I., Lebedeva, A.A. (2020). Screening Scale of Positive and Negative Experience (SPANE): Validation of the Russian Version. Journal of the Higher School of Economics, 17(2), 250—263. (In Russ.). https://doi.org/10.17323/1813-8918-2020-2-250-263
  14. Самохвалова, А.Г., Вишневская, О.Н., Тихомирова, Е.В., Шипова, Н.С. (2025). «Дети войны»: трудности социализации и особенности восприятия мира. Социальная психология и общество, 16(1), 105—123. https://doi.org/10.17759/sps.2025160106
    Samokhvalova, A.G., Vishnevskaya, O.N., Tikhomirova, E.V., Shipova, N.S. (2025). “Children of War”: Difficulties of Socialization and Peculiarities of Perception of the World. Social Psychology and Society, 16(1), 105—123. (In Russ.). https://doi.org/10.17759/sps.2025160106
  15. Толстых, Н.Н., Прихожан А.М., (2025). Психология подросткового возраста: Учебник и практикум для вузов. М.: Юрайт.
    Tolstykh, N. N., Prikhozhan, A.M. (2025). Psychology of Adolescence: Textbook and workshop for Universitie M.: Yurait. (In Russ.)
  16. Шварц, Ш., Бутенко, Т.П., Седова, Д.С., Липатова, А.С. (2012). Уточненная теория базовых индивидуальных ценностей: применение в России. Психология. Журнал Высшей школы экономики, 9(1), 43—70.
    Shvarts, Sh., Butenko, T.P., Sedova, D.S., Lipatova, A.S. (2012). A Refined Theory of Basic Personal Values: Validation in Russia. Journal of the Higher School of Economics, 9(1), 43—70.
  17. Betancourt, T.S., Zuilkowski, S., Coles, E., Collet, K., Jambai, M. (2018). Adolescents and Armed Conflict: War, Conflict, and Child Soldiers In: J.E. Lansford, P. Banati (Eds.), Handbook of Adolescent Development Research and its Impact on Global Policy (pp. 196—216). Oxford University Press.
  18. Diener, E. (1984). Subjective well-being. Psychological bulletin, 95(3), 542—575. https://doi.org/10.1037/0033-2909.95.3.542
  19. Diener, E., Wirtz, D., Tov, W., Kim-Prieto, C., Choi, D., Oishi, S., Bisqas-Diener R. (2010). New well-being measures: short scales to assess flourishing and positive and negative feelings. Social Indicators Research, 97, 143—156. https://doi.org/10.1007/s11205-009-9493-y
  20. Larson, R., Wilson, S. (2004). Globalization and the Changing Pathways to Adulthood. In: Lerner R.M., Steinberg (Eds.). Handbook of Adolescent Psychology (pp. 299—330). Wiley Press.
  21. Lovibond, P.F., Lovibond, S.H. (1995). The structure of negative emotional states: Comparison of the Depression Anxiety Stress Scales (DASS) with the Beck Depression and Anxiety Inventories. Behaviour Research and Therapy, 33(3), 335—343. https://doi.org/10.1016/0005-7967(94)00075-U
  22. Martsinkovskaya, T.D. (2019). The person in transitive and virtual space: new challenges of modality. Psychology in Russia: State of Art, 12(2), 165— DOI: 10.11621/pir.2019.021
  23. Sawyer, S.M., Patton, G.C. (2018). Health and Well-being in Adolescence: a Dynamic Profile. In: J.E. Lansford, P. Banati (Eds.). Handbook of Adolescent Development Research and its Impact on Global Policy (pp. 27—45). Oxford University Press.
  24. Shilko, R., Shaigerova, L., Dolgikh, A., Almazova, O., Rabeson, M. (2021). Gender differences in the subjective assessment of emotional state in Russians. European Psychiatry, 64(1), 601— https://doi.org/10.12192/j.eurpsy.2021.1604
  25. Schiff, M., Pat-Horenczyk, R., Benbenishty, R., Brom, D., Baum, N., Astor, R.A. (2012). High school students’ posttraumatic symptoms, substance abuse and involvement in violence in the aftermath of war. Social Science & Medicine, 75(7), 1321—1328, https://doi.org/10.1016/j.socscimed.2012.05.010
  26. Walsh, L.C., Boehm, J.K., Lyubomirsky, S. (2018). Does happiness promote career success? Revisiting the evidence. Journal of Career Assessment, 26(2), 199—219. https://doi.org/10.1177/1069072717751441

Информация об авторах

Сергей Владимирович Молчанов, кандидат психологических наук, доцент, старший научный сотрудник лаборатории психологии семьи и детско-родительских отношений, Федеральный научный центр психологических и междисциплинарных исследований (ФНЦ ПМИ), доцент кафедры возрастной психологии, факультет психологии, Московский государственный университет имени М.В. Ломоносова (ФГБОУ ВО МГУ), Москва, Российская Федерация, ORCID: https://orcid.org/0000-0001-5147-3551, e-mail: s-molch2001@mail.ru

Ольга Викторовна Алмазова, кандидат психологических наук, доцент, доцент кафедры возрастной психологии факультета психологии, Московский государственный университет им. М.В. Ломоносова (ФГБОУ ВО МГУ имени М.В. Ломоносова), Москва, Российская Федерация, ORCID: https://orcid.org/0000-0001-8852-4076, e-mail: almaz.arg@gmail.com

Александра Георгиевна Долгих, кандидат психологических наук, заведующая лабораторией психологии информационной безопасности подростков, ФГБНУ «Психологический институт Российской академии образования» (ФГБНУ ПИ РАО), Москва, Российская Федерация, ORCID: https://orcid.org/0000-0001-8845-1575, e-mail: Ag.dolgikh@mail.ru

Ирина Викторовна Султанова, кандидат психологических наук, доцент, заведующая кафедрой психологии, Севастопольский государственный университет (ФГАОУ ВО СевГУ), Севастополь, Российская Федерация, ORCID: https://orcid.org/0000-0002-8306-4290, e-mail: ivsultanova@sevsu.ru

Вклад авторов

Молчанов С.В. — идеи исследования; аннотирование, анализ и интерпретация полученных данных, написание и оформление рукописи;

Алмазова О.В. — идея исследования, применение статистических методов для анализа данных; визуализация результатов
исследования, анализ и интерпретация полученных данных, написание рукописи;

Долгих А.Г. — идеи исследования; планирование и организация исследования; контроль за проведением исследования, анализ и интерпретация полученных данных: написание рукописи;

Султанова И.В.. — планирование исследования; сбор и анализ данных, контроль за проведением исследования.

Все авторы приняли участие в обсуждении результатов и согласовали окончательный текст рукописи

Конфликт интересов

Авторы заявляют об отсутствии конфликта интересов.

Декларация об этике

Исследование было рассмотрено и одобрено Этическим комитетом ФГБНУ «Федеральный научный центр психологических и междисциплинарных исследований» (№ 1 от 23.04.2024 г.).

Метрики

 Просмотров web

За все время: 578
В прошлом месяце: 56
В текущем месяце: 45

 Скачиваний PDF

За все время: 195
В прошлом месяце: 14
В текущем месяце: 18

 Всего

За все время: 773
В прошлом месяце: 70
В текущем месяце: 63